K-means聚类基本概念
K-means是一种基于距离的划分聚类方法,通过迭代将数据划分为K个簇。核心思想是使簇内样本的平方误差最小化。算法流程包括初始化聚类中心、分配样本到最近中心、重新计算中心位置,直到收敛。
聚类簇数 K
K 是 K-means 算法中唯一需要提前指定的超参数,代表着我们希望将数据集划分成的簇的数量。例如,在客户分群场景中,如果我们认为客户可以分为高价值、中价值、低价值三类,那么 K 就可以设为 3。这个参数的选择直接决定了聚类结果的结构,选得过大可能导致簇的过度细分(如将高价值客户再拆分为多个相似簇),选得过小则可能无法捕捉数据的真实分布(如将高、中价值客户合并为一个簇)
通俗的说,就是需要分成几类,聚成几个簇,k的值就是几
距离度量方式
K-means 一般采用欧氏距离
常见的距离度量方式还有曼哈顿距离
曼哈顿距离:也叫城市街区距离,计算的是样本点在各个维度上的绝对差值之和,公式为

欧式距离:这是最常用的距离度量,适用于连续型数据,计算两个样本点\(x(x_1,y_1)\)和\(x(x_2,y_2)\)之间的直线距离,公式为

质心
质心是 K-means 算法中簇的核心代表,指的是一个簇内所有样本向量在各个维度上的均值。例如,一个包含三个二维样本 (1,2)、(3,4)、(5,6) 的簇,其质心坐标为
注意:质心并非数据集中的实际样本点,而是算法动态计算出的虚拟点,它的位置会随着迭代过程不断更新,最终稳定在簇的中心位置。
简单来说就是各向量的均值
优化目标
K-means 的优化目标非常明确:最小化所有样本到其所属簇质心的平方距离之和,公式如下:

其中ci表示第 i 个簇的质心,x表示簇内的样本点,
表示样本到质心的距离(通常为欧氏距离)。这个目标函数也被称为 "惯性"(Inertia),它衡量了簇内样本的紧凑程度,惯性越小,说明簇内样本越集中,聚类效果越好。
K-means 算法步骤拆解
K-means 算法的逻辑非常简洁,核心围绕 "初始化质心→分配样本→更新质心" 三个步骤迭代进行,直到满足停止条件。具体流程如下:
步骤 1:初始化 K 个质心
这是算法的起始步骤,需要从数据集中随机选择 K 个样本点作为初始质心。这里的 "随机" 并非完全无规则,若初始质心选择不当(如过于集中在数据的某个局部区域),可能导致算法收敛到局部最优解,而非全局最优。为了避免这种情况,实际应用中常采用 "K-means++" 初始化方法:首先随机选择一个样本作为第一个质心,之后每个新质心的选择都优先考虑与已选质心距离较远的样本,从而保证初始质心的分散性,提升算法收敛效率和聚类质量。
步骤 2:分配样本到最近簇
对于数据集中的每个样本,计算它与 K 个质心的距离(默认欧氏距离),并将该样本分配到距离最近的质心所在的簇中。这一步完成后,所有样本都被划分到了 K 个簇中的某一个,形成了初始的聚类结果。
步骤 3:更新各簇质心
针对每个簇,重新计算其质心 ------ 即簇内所有样本在每个特征维度上的均值。
步骤 4:判断是否收敛
收敛的判断条件通常有两个:一是质心的位置变化小于预设的阈值(如质心在各维度上的移动距离之和小于 1e-5),二是优化目标函数(惯性)的值不再明显下降。如果满足收敛条件,则算法停止,输出最终的聚类结果;否则,返回步骤 2,重新进行样本分配和质心更新,直到收敛。
聚类效果评价方式:轮廓系数
聚类算法不同于监督学习,没有明确的 "标签" 作为判断依据,因此需要通过特定的评价指标来衡量聚类结果的合理性。轮廓系数(Silhouette Coefficient)是最常用的聚类评价指标之一,其核心思想是综合考虑簇内凝聚度和簇间分离度。公式如下:

a(i):对于第 i 个元素 x_i,计算 x_i 与其同一个簇内所有其他元素距离的平均值,表示了簇内的凝聚程度。
a(i)越小,说明该样本与簇内其他样本越相似,簇的凝聚性越好。
b(i):选取 x_i 外的一个簇,计算 x_i 与该簇内所有点距离的平均距离,遍历其他所有簇,取所有平均值中最小的一个,表示簇间的分离度。
b(i)越大,说明该样本与其他簇的分离程度越高。
计算所有 x 的轮廓系数,求出平均值即为当前聚类的整体轮廓系数。
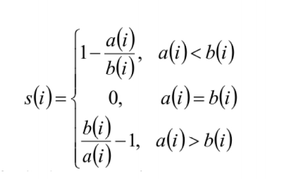
计算轮廓系数
轮廓系数的公式可分为三种情况:

-
轮廓系数范围在 [-1, 1] 之间。该值越大,越合理。
-
s(i) 接近 1,则说明样本 i 聚类合理;
-
s(i) 接近 -1,则说明样本 i 更应该分类到另外的簇;
-
若 s(i) 近似为 0,则说明样本 i 在两个簇的边界上
典型应用场景
K-means 的应用场景覆盖多个行业,核心是利用无监督学习发现数据的自然分组,常见场景包括:
-
客户分群:根据用户的消费金额、购买频率、浏览行为等特征,将客户划分为高价值客户、忠诚客户、潜在客户等,为精准营销提供依据;
-
图像分割:将图像像素按照颜色、亮度等特征聚类,实现前景与背景的分离,或提取图像中的关键物体;
-
文本聚类:对新闻文章、用户评论等文本数据进行聚类,自动划分主题(如科技、娱乐、财经);
-
异常检测:通过聚类识别偏离主要簇的异常样本,例如信用卡欺诈交易、设备故障数据等;
-
数据预处理:在监督学习任务中,将聚类结果作为特征加入模型,提升模型的泛化能力
案例
python
import pandas as pd
from sklearn.cluster import KMeans
from sklearn import metrics
#读取文件
beer = pd.read_table("data.txt", sep=' ', encoding='utf8', engine='python')
#传入变量(列名)
X = beer[["calories","sodium","alcohol","cost"]]
"""
根据分成不同的簇,自动计算轮廓系数得分
"""
scores = []
for k in range(2,10):#寻找合适的K值
labels = KMeans(n_clusters=k).fit(X).labels_#从左到右依次进行计算
score = metrics.silhouette_score(X, labels)#轮廓系数
scores.append(score)
print(scores)
#绘制得分结果
import matplotlib.pyplot as plt
plt.plot(list(range(2,10)), scores)
plt.xlabel("Number of Clusters Initialized")
plt.ylabel("Sihouette Score")
plt.show()
#聚类
km = KMeans(n_clusters=2).fit(X) #K值为2【分为2类】
beer['cluster'] = km.labels_
#对聚类结果进行评分
"""
采用轮廓系数评分
X:数据集 scaled_cluster:聚类结果
score:非标准化聚类结果的轮廓系数
"""
score = metrics.silhouette_score(X,beer.cluster)
print(score)
运行结果:

K-means的API参数
class sklearn.cluster.KMeans (n_clusters=8 , init='k-means++' , n_init=10 , max_iter=300 , tol=0.0001 , precompute_distances='auto' , verbose=0 , random_state=None , copy_x=True , n_jobs=None , algorithm='auto' )[source]
【参数 : 】
n_clusters: 类中心的个数,就是要聚成几类。【默认是8个】
init : 参初始化的方法,默认为'k-means++'
(1)'k-means++': 用一种特殊的方法选定初始质心从而能加速迭代过程的收敛.
(2) 'random': 随机从训练数据中选取初始质心。
(3) 如果传递的是一个ndarray,则应该形如 (n_clusters, n_features) 并给出初始质心。
n_init: 整形,缺省值=10
用不同的质心初始化值运行算法的次数,最终解是在inertia意义下选出的最优结果。
max_iter :
执行一次k-means算法所进行的最大迭代数。
Tol: 与inertia结合来确定收敛条件。
precompute_distances :三个可选值,'auto',True 或者 False。
预计算距离,计算速度更快但占用更多内存。
(1)'auto':如果 样本数乘以聚类数大于 12million 的话则不预计算距离。
(2)True:总是预先计算距离。
(3)False:永远不预先计算距离。
verbose :整形,默认值=0
random_state : 随机状态
copy_x: 布尔型,默认值=True
当我们precomputing distances时,将数据中心化会得到更准确的结果。如果把此参数值设为True,则原始数据不会被改变。如果是False,则会直接在原始数据 上做修改并在函数返回值时将其还原。但是在计算过程中由于有对数据均值的加减运算,所以数据返回后,原始数据和计算前可能会有细小差别。
algorithm: 'auto','full' or 'elkan'.默认为'auto'
full:采用经典的EM算法
elkan:通过使用三角不等式从而更有效,但不支持稀疏数据
auto:数据稀疏选择full模式,数据稠密选择elkan模式
【属性】
cluster_centers_: 一个n-clusters*n_features的矩阵,表示聚类中心的坐标
Labels_:
每个点的分类标签。
inertia_: float形
每个点到其簇的质心的距离之和。
n_iter_ : int
迭代次数。