TL;DR
- 场景:从机器学习视角系统理解线性回归(表示形式、目标函数、参数求解)
- 结论:线性回归=线性预测函数+SSE损失最小化;最小二乘可导出正规方程解
- 产出:得到从标量到矩阵的统一表达、SSE定义、最小二乘/多元求解推导路径

概述
在正式进入到回归分析的相关算法讨论之前,我们需要对监督学习算法中的回归问题进一步进行分析和理解。虽然回归问题同属于有监督的学习范畴,但实际上,回归问题要远比分类问题更加复杂。 首先关于输出结果的对比,分类模型最终输出结果为离散变量,而离散变量本身包含信息量较少,其本身并不具备代数运算性质,因此其评价指标体系也较为简单,最常用的就是混淆矩阵以及ROC 曲线。 而回归问题最终输出的是连续变量,其本身不仅能够代表运算,且还具有更精致的方法,希望对事物运行的更底层原理进行挖掘。即回归问题的模型更加全面、完善的描绘了事物客观规律,从而能够得到更加细粒度的结论。因此,回归问题的模型往往更加复杂,建模所需要数据所提供的信息量也越多,进而在建模过程中可能遇到的问题也越多。
线性回归与机器学习
线性回归问题是解决回归类问题最常用使用的算法模型,其算法思想和基本原理都是由多元统计分析发展而来,但在数据挖掘和机器学习领域中,也是不可多得的行之有效的算法模型。一方面,线性回归蕴藏的机器学习思想非常值得借鉴和学习,并且随着时间发展,在线性回归的基础上还诞生了许多强大的非线性模型。 因此,我们在进行机器学习算法学习过程中,仍然需要对线性回归这个统计分析算法进行系统深入的学习。但这需要说明的是,线性回归的建模思想有很多理解的角度,此处我们并不需要从统计学的角度上理解、掌握和应用线性回归算法,很多时候,利用机器学习的思维来理解线性回归,会是一种更好的理解方法,这也将是我们这部分内容讲解线性回归的切入角度。
线性回归的机器学习表示方法
核心逻辑
任何机器学习算法首先都有一个最底层的核心逻辑,当我们利用机器学习思维理解线性回归的时候,首先也是要探究其底层逻辑。值得庆幸的是,虽然线性回归源于统计分析,但其算法底层逻辑和机器学习算法高度契合。 在给定的 n 个属性描述的客观事物 X = (x1,x2,x3...)中,每个 xi 都用于描述某一次观测时事物在某个维度表现出来的数值属性值。 当我们建立机器学习模型捕捉事物运行的客观规律时,本质上是希望能够综合这些维度的属性来描述事物最终运行结果,而最简单的综合这些属性的方法就是对其进行加权求和汇总,这即是线性回归的方程式表达形式:
W 被统称为模型的参数,其中 W0 被称为截距(intercept),W1-Wn 被称为回归系数(regression conefficient),有时也是使用 β 或者 θ 来表示,其实就和我们小学时就无比熟悉的 y = ax + b 是同样的性质。其中 y 是我们的目标变量,也就是标签。Xi1 是样本 i 上的特征不同特征。 如果考虑我们有 m 个样本,则回归结果可以被写作:
其中 y 是包含了 m 个全部的样本回归结果的列向量(结构为(m,1),由于只有一列,以列的形式表示,所以叫做列向量)。注意,我们通常使用粗体的小写字母来表示向量,粗体的大写字母表示矩阵或者行列式。 我们可以使用矩阵来表示这个方程,其中 w 可以被看作是一个结构为(n+1,1)的列矩阵,X 是一个结构为(m,n+1)的特征矩阵,则有:
线性回归的任务,就是构造一个预测函数来映射输入的特征矩阵 X 和标签值 y 的线性关系,这个预测函数在不同的教材上写法不同,可能写作 f(x),y我(x),或者 h(x)等等形式,但无论如何,这个预测函数的本质就是我们需要构建的模型。
优化目标
对于线性回归而言,预测函数 y = Xw 就是我们的模型,在机器学习我们也称作"决策函数"。其中只有 w 是未知的,所以线性回归原理的核心就是找到模型的参数向量 w。但我们怎么才能求解呢?我们需要依赖一个概念叫:损失函数。
在之前的算法学习中,我们提到过两种模型表现:在训练集上的表现,和在测试集上的表现。我们建模,是追求模型在测试集上的表现最优,因此模型的评估指标往往是用来衡量模型在测试集上的表现的。然而,线性回归有着基于训练数据求解参数 w 的需求,并且希望训练出来模型尽可能的拟合训练数据,即模型在训练集上的预测准确率靠近 100% 越好。 因此,我们使用损失函数这个评估指标,来衡量系数为 w 的模型拟合训练集时产生的信息损失的大小,并以此衡量参数 w 的优劣。如果用一组参数建模后,模型在训练集上表现良好,那我们就说模型拟合过程中的损失很小,损失函数的值很小,这一组参数就优秀。相反,如果模型在训练集上表现糟糕,损失函数就会很大,模型就训练不足,效果较差,这一组参数也就比较差。 即使说,我们在求解参数 w 时,追求损失函数最小,让模型在训练数据上拟合效果最优,即预测准确率尽量靠近 100%。
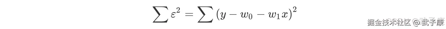
对于有监督的学习算法而言,建模都是依据有标签的数据集,回归类问题则是对客观事物的一个定量判别。这里以 yi 作为第 i 行数据的标签,且 yi 为连续变量,xi 为第 i 行特征所组成的向量,则线性回归建模优化方向就是希望模型判别的 yi^ 尽可能接近实际的 yi。而对于连续型变量而言,领近度度量方法可采用 SSE 来进行计算,SSE 称做【残差平方和】,也称做【误差平方和】或者【离差平方和】,因此我们优化目标可以用下述方程来表示:
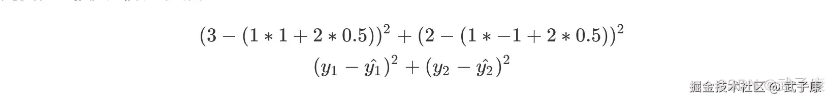
来看一个简单的例子,假设现在 w 为 [1,2] 这样的一个向量,求解出的模型:y = x1 + 2x2;
则我们的损失函数的值就是: 
最小二乘法
现在问题转换成了求解让 SSE 最小化的参数向量 w,这种通过最小化真实值和预测值之间的 SSE来求解参数的方法叫做最小二乘法。
回顾一元线性回归的求解过程:
对上述的数据进行拟合,可以得到:
假设该拟合直线为 y^ = w0 + w1x,现在我们的目标是使得该拟合直线的总的残差和达到最小,也就是最小化 SSE。 我们令该直线是以均值为核心的【均值回归】,即散点的 x 平均和 y 平均必然经过这条直线:
对于真实值 y 来说,我们可以得到:
这里 ε 为【残差】,对其进行变形,则残差平方和 SSE 为:
要求残差平方和最小值,我们通过微积分求偏导算其极值来解决。 这里我们计算残差最小对应的参数 w1:

多元线性回归求解参数
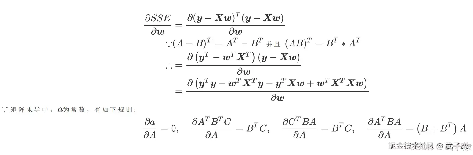
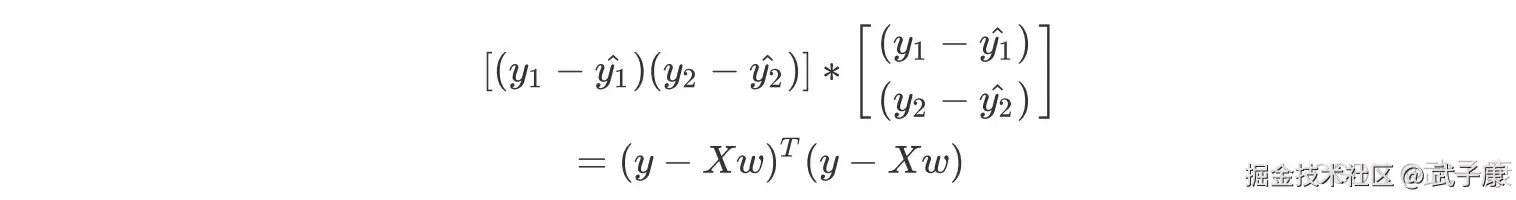
更一般情况,如果我们在刚才的例子中有两列特征属性,则损失函数为:
这样的形式如果矩阵来表达,可以写成:
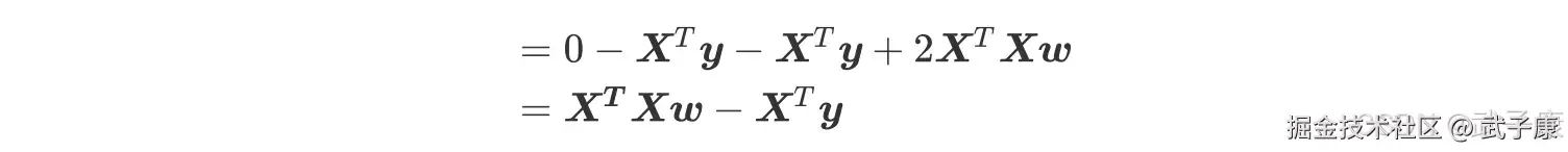
矩阵相乘是对应未知元素相乘相加,就会得到和上面的式子一模一样的结果。 我们同时对 w 求偏导: 
最后得到: 
求导后的一阶导数为 0:
到了这里,我们希望能够将w 留在等式的左边,其他与特征矩阵有关的部分都放到等式的右边,如此就可以求出 W 的最优解了。
错误速查
| 症状 | 根因 | 定位 | 修复 |
|---|---|---|---|
| 维度对不上:Xw 乘不出来 / 广播错误 | 未把截距并入特征(缺少全 1 列);样本/特征维度定义不一致 | 明确 X∈ R^{m×(n+1)}、w∈ R^{(n+1)×1}、y∈ R^{m×1} | 给 X 增加 bias 列;统一符号与维度约定 |
| 解正规方程报错/不可逆:(X^TX)^{-1} 不存在 | 多重共线性、特征冗余、样本不足导致 X^TX 奇异或病态 | 看秩/条件数;检查高度相关特征;看是否 m 远小于 n | 用伪逆 pinv;做特征筛选/降维;改用岭回归(L2)稳定求解 |
| 系数巨大、符号反常、对噪声极敏感 | 特征尺度差异大;病态矩阵;异常值拉偏 | 查看特征量纲与分布;检查条件数、异常点 | 标准化/归一化;稳健回归;正则化(Ridge/Lasso) |
| 训练集拟合很好但泛化差 | 追求训练 SSE 极小导致过拟合;特征过多 | 对比训练/测试误差;交叉验证 | 降低模型复杂度;正则化;增加数据;合理划分验证集 |
| 损失数值"很大/很小"难解释 | SSE 随样本量与尺度增长;与 MSE/RMSE不可直接对比 | 看是否使用 SSE 而非 MSE/RMSE;样本量变化 | 报告 MSE/RMSE/MAE;对比时统一指标与数据尺度 |
| 推导步骤正确但实现结果不一致 | 推导假设与实现不一致:是否中心化、是否包含截距、是否用矩阵形式一次性求解 | 对齐:是否加 bias、是否做中心化/标准化、损失定义是否一致 | 固化实现约定:bias/标准化/损失;用同一公式链路复现 |
其他系列
🚀 AI篇持续更新中(长期更新)
AI炼丹日志-29 - 字节跳动 DeerFlow 深度研究框斜体样式架 私有部署 测试上手 架构研究 ,持续打造实用AI工具指南! AI研究-132 Java 生态前沿 2025:Spring、Quarkus、GraalVM、CRaC 与云原生落地
💻 Java篇持续更新中(长期更新)
Java-218 RocketMQ Java API 实战:同步/异步 Producer 与 Pull/Push Consumer MyBatis 已完结,Spring 已完结,Nginx已完结,Tomcat已完结,分布式服务已完结,Dubbo已完结,MySQL已完结,MongoDB已完结,Neo4j已完结,FastDFS 已完结,OSS已完结,GuavaCache已完结,EVCache已完结,RabbitMQ已完结,RocketMQ正在更新... 深入浅出助你打牢基础!
📊 大数据板块已完成多项干货更新(300篇):
包括 Hadoop、Hive、Kafka、Flink、ClickHouse、Elasticsearch 等二十余项核心组件,覆盖离线+实时数仓全栈! 大数据-278 Spark MLib - 基础介绍 机器学习算法 梯度提升树 GBDT案例 详解