TL;DR
在使用最小二乘法求解线性回归时,多重共线性会影响模型稳定性,导致系数估计不可靠。解决方法包括使用正则化技术(如岭回归、Lasso回归)。通过引入正则化项,可以有效避免矩阵不可逆问题,稳定回归结果。

版本矩阵
| 功能 | scikit-learn 版本 | 说明 |
|---|---|---|
| 线性回归 | 0.24+ | 支持标准的线性回归模型训练与评估 |
| 多重共线性处理 | 0.24+ | 通过岭回归、Lasso回归等方法解决共线性问题 |
| MSE计算 | 0.24+ | 使用 mean_squared_error 计算模型误差 |
| R²计算 | 0.24+ | 使用 r2_score 评估模型拟合度 |
代码实现
使用 scikit-learn 算法库实现线性回归算法,并计算相应评价指标。回顾前文介绍的相关知识进行下述计算。
python
from sklearn.linear_model import LinearRegression
reg = LinearRegression()
reg.fit(data.iloc[:,:-1].values,data.iloc[:,-1].values)
reg.coef_ # 查看方程系数
reg.intercept_ # 查看系数
对比手动计算的 ws,其结果高度一致。 然后计算模型 MSE 和判别系数:
python
from sklearn.metrics import mean_squared_error,r2_score
yhat = reg.predict(data.iloc[:,:-1])
mean_squared_error(y,yhat)
r2_score(y,yhat)
多重共线性
虽然在线性回归求解过程中,通过借助最小二乘法能够迅速找到全域最优解,但最小二乘法本身的使用条件较为苛刻。这种方法要求设计矩阵X必须满足严格的条件才能保证解的稳定性和唯一性。
具体来说,最小二乘法的应用必须满足以下关键条件:
- 矩阵X^TX必须是满秩矩阵(即行列式不为零)
- 矩阵X^TX必须可逆或存在广义逆矩阵
在实际应用中,经常会遇到以下导致最小二乘法失效的情况:
- 当样本量n小于特征数p时(n<p),矩阵X^TX必然是奇异矩阵
- 当X的各列存在严格或近似的线性相关关系时(即多重共线性问题)
- 当数据中存在高度相关的特征变量时
特别是当遇到多重共线性问题时,最小二乘法的求解会面临以下挑战:
- 参数估计值变得极不稳定,小的数据扰动可能导致估计值发生巨大变化
- 参数估计的方差会异常增大
- 解可能不唯一,存在无穷多解的情况
例如,在经济学数据分析中,当使用GDP、居民收入和消费支出等多个高度相关的指标作为预测变量时,就很容易出现上述问题。此时传统的OLS(普通最小二乘)估计将无法给出可靠的结果。
针对这些问题,统计学家们发展出了多种改进方法,包括:
- 岭回归(Ridge Regression)
- Lasso回归
- 主成分回归(PCR)
- 偏最小二乘回归(PLSR)
这些方法通过引入正则化项或降维技术,可以有效处理矩阵不可逆和多重共线性问题,从而获得更稳定可靠的回归结果。
这里需要注意是,在进行数据采集的过程中,数据集各列是对同一个客观事物进行客观描述,很难避免多重共线性的存在,因此存在共线性是很多数据集的一般情况。当然更为极端的情况则是数据集的列比行多,此时最小二乘法无法对其进行求解。因此,寻找性回归算法的优化方案势在必行。 首先我们来了解多重共性,在第二节中我们曾推导了多元线性回归使用最小二乘法的求解原理,我们对多元线性回归的损失函数求导,并得出求解系数 w 得式子和过程:
在最后一步中我们需要左乘 XTX 的逆矩阵,而矩阵存在得充分必要条件是特征不存在多重共线性。
矩阵存在的充分必要条件
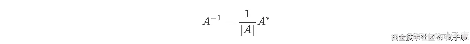
首先,我们需要先理解逆矩阵存在与否的意义和影响,一个矩阵什么情况下会有逆矩阵? 根据逆矩阵的定理,若 |A| != 0,则矩阵A 可逆,且:

其中 A* 是矩阵 A 的伴随矩阵,任何矩阵都可以有伴随矩阵,因此这一部分不影响逆矩阵的存在性,而分母上行列式|A|就不同了,位于分母变量不能为 0,一旦为 0 则无法计算出逆矩阵。因此逆矩阵存在的充分必要条件是:矩阵的行列式不能为 0,对于线性回归而言,即是说|XTX|不能为 0,这是使用最小二乘法求解线性回归的核心条件之一。
行列式不为 0 的充分必要条件
那行列式不为 0,需要满足什么条件?在这里,我们复习一下线性代数中的基本知识,假设我们的特征矩阵 X结构为(m,n),则 XTX 就是结构为(n,m)的矩阵,从而得到结果为(n,n)的矩阵。
因此以下所有的例子都将以方矩阵进行举例,方便大家理解,首先区别一下矩阵和行列式: 
任何矩阵都可以有行列式,以一个 3*3 的行列式为例,我们来看看行列式如何计算的?
这个式子乍一看非常混乱,其实并非如此,我们把行列式按照下面的方式排列一下,很容易就看出这个式子实际上怎么回事了:
三个特征的特征矩阵的行列式就有六个交互项,在现实中我们特征矩阵不可能是如此低维度数据,因此使用这样的方式计算就变得异常困难。在线性代数中,我们可以通过行列式的计算将一个行列式整合成一个梯形的行列式:
梯形的行列式表现为,所有的数字都被整合到对角线的上方或下方(通常是上方),虽然具体的数字发生了变化(比如由 x11 变成了 a11),但是行列式的大小在初等行变换的过程中是不变的,对于梯形行列式,行列式的计算要容易的多:
不难发现,由于梯形行列式下半部分为 0,整个矩阵的行列式其实就是梯形行列式对角线上的元素相乘。并且此时时刻,只要对角线上的任意元素为 0,整个行列式都会为 0,那只要对角线上没有一个元素为 0,行列式就不会为 0。在这里我们映入一个重要的概念:满秩矩阵。
矩阵满秩的充分必要条件
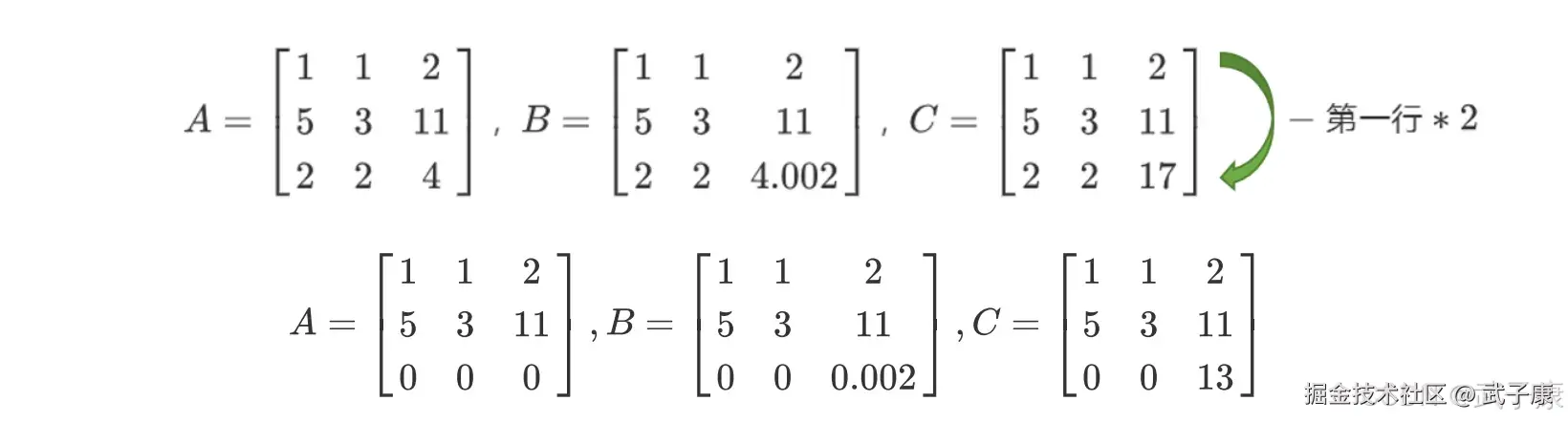
一个矩阵要满秩,则转换为梯形矩阵后的对角线上没有 0,那什么样的矩阵在对角线上没有 0?来看下面的三个矩阵:
我们可以对矩阵做初等行变换和列变换,包括交换行/列顺序,将一列/一行乘以用一个常数后加减到另一个一列/一行上,来将矩阵化为梯形矩阵,对于上面的两个矩阵我们可以有如下变换:
继续进行变换:
如此就转换成了梯形矩阵,我们可以看到,矩阵 A 明显不是满秩的,它有全零行所以行列式会为 0,而矩阵 B 和 C 没有全零行所以满秩。 而矩阵 A 和矩阵 B 的区别在于,A 中存在完全具有线性关系的两行(1,1,2 和 2,2,4),而 B 和 C 中则没有这样的两行。 而矩阵 B 虽然对角线上每个元素都不为 0,但具有非常接近于 0 的元素 0.02,而矩阵 C 的对角线上没有任何元素特别接近于 0。
矩阵 A 中第一行和第三行的关系,被称为:精确相关关系,即完全相关,一行可使另一行为 0,在这种精确相关关系下,矩阵 A 的行列式为 0,则矩阵 A 的逆不可能存在。在我们的最小二乘法中,如果矩阵 XTX 中存在这种精确相关关系,则逆不存在,最小二乘法完全无法使用,线性回归会无法求出结果。
矩阵 B 中第一行和第三行的关系不太一样,他们之间非常接近于精确相关关系,但又不是完全相关,一行不能使领一行为 0,这种关系被称为 高度相关关系。这种高度相关关系下,矩阵的行列式不为 0,但是一个非常接近 0 数,矩阵 A 的逆存在,不过接近于无限大。在这种情况下,最小二乘法可以使用,不过得到的逆会很大,直接影响我们对参数向量 w 的求解:
这样求解出来的参数向量 w 会很大,因此会影响建模的结果,造成模型有偏差或者不可用。精确相关关系和高度相关关系并称为多重共线性。在多重共线性下,模型无法建立,或者模型不可用。 相对的,矩阵 C 的行之间结果相互独立,梯形矩阵看起来非常正常,它的对角线上没有任何元素特别接近于 0,因此其行列式也就不会接近0 或者为 0,因此矩阵 C 得出的参数向量 w 就不会有太大的偏差,对于我们拟合而言是比较理想的。
从上面的所有过程我们可以看得出来,一个矩阵如果要满秩,则要求矩阵中每个向量之间不能存在多重共线性,这也构成了线性回归算法对于特征矩阵的要求。

错误速查
| 症状 | 根因 | 定位 | 修复 |
|---|---|---|---|
| 模型参数估计不稳定 | 数据中存在多重共线性,导致设计矩阵 X^T X 不可逆 | 检查特征变量之间是否存在线性相关关系 | 使用岭回归、Lasso回归等正则化方法来稳定解 |
| 模型方差过大 | 矩阵 X^T X 近似奇异或共线性问题 | 查看矩阵的行列式,确认是否接近零 | 引入正则化项,如岭回归,来减少参数方差 |
| 预测结果误差较大 | 多重共线性导致解的不唯一性 | 确认特征变量是否高度相关,尤其是输入数据集 | 使用主成分回归(PCR)或偏最小二乘回归(PLSR) |
| 解不唯一 | 矩阵 X^T X 为奇异矩阵,无法求逆 | 检查输入数据集的特征数是否大于样本数(n<p) | 减少特征数,或使用正则化方法来规避该问题 |
其他系列
🚀 AI篇持续更新中(长期更新)
AI炼丹日志-29 - 字节跳动 DeerFlow 深度研究框斜体样式架 私有部署 测试上手 架构研究 ,持续打造实用AI工具指南! AI研究-132 Java 生态前沿 2025:Spring、Quarkus、GraalVM、CRaC 与云原生落地
💻 Java篇持续更新中(长期更新)
Java-218 RocketMQ Java API 实战:同步/异步 Producer 与 Pull/Push Consumer MyBatis 已完结,Spring 已完结,Nginx已完结,Tomcat已完结,分布式服务已完结,Dubbo已完结,MySQL已完结,MongoDB已完结,Neo4j已完结,FastDFS 已完结,OSS已完结,GuavaCache已完结,EVCache已完结,RabbitMQ已完结,RocketMQ正在更新... 深入浅出助你打牢基础!
📊 大数据板块已完成多项干货更新(300篇):
包括 Hadoop、Hive、Kafka、Flink、ClickHouse、Elasticsearch 等二十余项核心组件,覆盖离线+实时数仓全栈! 大数据-278 Spark MLib - 基础介绍 机器学习算法 梯度提升树 GBDT案例 详解