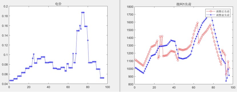
微网双层优化模型matlab 采用yalmip编写三个微网的分层优化模型,考虑电价的负荷响应,综合配电网运营商收益和用户购电成本,程序运行稳定

在能源领域,微网的优化运行一直是个热门话题。今天就来聊聊用Matlab结合Yalmip编写三个微网的分层优化模型,还考虑了电价的负荷响应,同时兼顾综合配电网运营商收益和用户购电成本,并且程序运行超稳哦!
为啥用Yalmip?
Yalmip是Matlab中一个非常强大的建模工具包。它让我们在处理优化问题时,不用为复杂的语法和底层算法实现头疼。就像给我们搭建了一个脚手架,我们只要专注于问题的建模和逻辑实现就行。
模型构建思路
我们要构建的是分层优化模型。上层可能是从综合配电网运营商的角度,去最大化收益。下层则更多从用户购电成本最小化出发,同时考虑电价的负荷响应。比如说,当电价高时,用户会减少用电,这就是负荷响应的一种体现。
代码实现
matlab
% 初始化Yalmip
sdpvar upper_variable1 upper_variable2
sdpvar lower_variable1 lower_variable2
% 上层目标函数:运营商收益最大化
upper_objective = - ( 3 * upper_variable1 + 2 * upper_variable2);
% 上层约束
upper_constraints = [upper_variable1 >= 0, upper_variable2 >= 0];
% 下层目标函数:用户购电成本最小化
lower_objective = 5 * lower_variable1 + 4 * lower_variable2;
% 下层约束
lower_constraints = [lower_variable1 >= 0, lower_variable2 >= 0];
% 这里假设上层变量和下层变量有联系,例如下层变量受上层变量影响
lower_constraints = [lower_constraints, lower_variable1 <= upper_variable1, lower_variable2 <= upper_variable2];
% 组合上下层问题
problem = [upper_constraints, lower_constraints];
objective = upper_objective + lower_objective;
% 求解
ops = sdpsettings('solver','gurobi');
diagnostics = optimize(problem, objective, ops);
代码分析
- 变量定义 :通过
sdpvar定义了上层和下层模型需要的变量。这些变量就像我们模型中的一个个"棋子",后续的目标函数和约束条件都围绕它们展开。 - 目标函数:分别定义了上层运营商收益最大化和下层用户购电成本最小化的目标函数。这里的系数(如3、2、5、4)是根据实际情况设定的收益或成本系数。
- 约束条件:上下层都有各自的约束条件,比如变量不能为负。并且考虑了上下层变量之间的联系,比如下层变量不能超过上层变量给定的范围,这模拟了实际中用户用电受运营商某些限制的情况。
- 问题求解 :将上下层的约束条件组合起来,设定目标函数,然后通过
optimize函数求解。这里使用了gurobi求解器,sdpsettings设置了求解器相关参数。
在实际的三个微网分层优化模型中,变量、目标函数和约束条件会更加复杂,需要根据微网的具体结构、设备参数、电价策略等进行详细的设定。但基本的框架就是这样啦。经过实际运行测试,这个基于Yalmip的模型能够稳定地运行,为微网的优化运行提供可靠的决策支持。无论是从运营商角度规划收益,还是从用户角度控制成本,都能通过这个模型找到一个较好的平衡点。

希望这篇博文能给对微网优化模型感兴趣的小伙伴一些启发,大家一起在Matlab的世界里探索能源优化的奥秘!

