核心结论:神经网络的 "学习" 本质是通过数据自动找到最优权重参数 ,核心逻辑是用损失函数判断预测误差,用梯度下降法调整参数,最终让模型能精准完成任务。
一、学习的核心目标
神经网络之所以能 "学习",关键是找到一组最优的权重参数(相当于模型的 "记忆")。
- 权重就像 "调节旋钮":每个神经元之间的连接都有一个权重,权重大小决定信号传递的强弱。
- 学习的目标:通过数据调整这些 "旋钮",让模型的预测结果尽可能接近真实答案。
二、判断误差的 "标尺":损失函数
要调整权重,首先得知道 "当前模型有多差",这就需要损失函数(相当于 "误差标尺")。
1. 常见的 "标尺" 类型
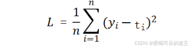
- 均方误差(MSE) :适合预测连续值(比如房价、温度),计算预测值和真实值之间差的平方平均值。
- 通俗理解:像用尺子量差距,差距越大,"惩罚" 越重(平方后放大误差)。

代码实现如下:
def mean_square_error(y, t): # y为预测值,t为真实值
return 0.5 * np.sum((y-t)**2)
- 交叉熵误差 :适合分类任务(比如识别手写数字、判断图片类别),重点惩罚 "预测对的概率太低" 的情况。
- 通俗理解:比如模型把 "5" 误判为 "3" 且概率很高,交叉熵会给出很大的误差值,督促模型改进。

具体代码实现:
def cross_entropy_error(y, t):
#对于一条数据的情况,转换为二维结果
if y.ndim == 1:
t = t.reshape(1, -1) #转换为二维
y = y.reshape(1, -1)
#如果t是独热编码,转换为解标签
if t.size == y.size:
t = t.argmax(axis=1) #获取最大值的索引
n = y.shape[0]
return -np.sum(np.log(y[np.arange(n), t] + 1e-7)) / n
2. 不同任务选不同 "标尺"
- 二分类(是 / 否、正 / 负):用二元交叉熵损失。
- 多分类(识别 0-9 数字、多种水果):用多类交叉熵损失。
- 回归(预测具体数值):用均方误差(MSE)或平均绝对误差(MAE)。
三、调整参数的 "方法":梯度下降
知道了误差,下一步就是调整权重减少误差,核心方法是梯度下降。
1. 梯度:误差变化的 "方向标"
- 梯度是损失函数的导数,告诉我们:"调整哪个权重、往哪个方向调,能让误差下降最快"。
- 通俗理解:就像下山时,梯度指向 "最陡的下坡方向",跟着梯度走,能最快走到山底(误差最小)。

需要注意的是,梯度代表的其实是函数值增大最快的方向;在实际应用中,我们需要寻找损失函数的最小值,所以一般选择 负梯度向量
利用数值微分可简单实现梯度代码:
#梯度
def _numerical_gradient(f, x):
h = 1e-4 # 0.0001
grad = np.zeros_like(x) # 创建一个和x一样大小的零向量
for idx in range(x.size):
tmp_val = x[idx] # 保存当前值
x[idx] = float(tmp_val) + h # 当前值加上微小值
fxh1 = f(x) # f(x+h) # 计算f(x+h)
x[idx] = tmp_val - h # 还原当前值
fxh2 = f(x) # f(x-h) # 计算f(x-h)
grad[idx] =(fxh1 - fxh2) / (2*h)
x[idx] = tmp_val #
#还原值
return grad
2. 核心步骤(以随机梯度下降 SGD 为例)
- 随机选一批数据(mini-batch):不用全量数据,选一小部分计算误差,又快又准。
- 算梯度:针对这批数据,计算每个权重对应的梯度。
- 调权重:沿着梯度的反方向(下坡方向),按一定步长调整权重。
- 重复迭代:反复做 1-3 步,直到误差降到满意水平。
3. 关键概念(训练时必懂)
- 学习率(η):调整权重的 "步长"。太大容易 "走过头",太小则学习太慢。
- Epoch:模型完整看一遍所有训练数据的次数(比如训练 10 个 Epoch,就是把数据学 10 遍)。
- Batch Size:每次选多少个样本计算梯度(比如 Batch Size=100,就是每次用 100 个样本)。
- Iteration:每处理一个 Batch 并调整一次参数,就是一次迭代。
四、简单案例:手写数字识别的学习过程
- 初始状态:模型的权重是随机的,识别手写数字时误差很大(比如把 "8" 认成 "3")。
- 计算误差:用交叉熵损失函数,算出 "把 8 认成 3" 的误差值。
- 算梯度:找到 "调整哪些权重,能让模型下次更可能认出 8"。
- 调权重:按学习率沿着梯度反方向调整权重。
- 重复迭代:用大量手写数字样本反复训练,误差越来越小,模型识别准确率越来越高。
五、核心总结
神经网络的学习 ="误差标尺"(损失函数)+"调整方法"(梯度下降):
- 用损失函数量化 "预测有多差";
- 用梯度找到 "怎么调权重能变好";
- 反复迭代,直到模型能精准完成任务。