拉普拉斯算子是二阶微分算子,在计算机视觉中核心用于提取图像边缘、量化图像清晰度,本质是衡量图像像素灰度的二阶变化率,清晰图像的边缘灰度变化剧烈,二阶变化率大,模糊图像的灰度变化平缓,二阶变化平缓,
一、数学原理,
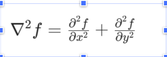
1.连续域的拉普拉斯公式
对二维函数 f(x,y)(对应图像的灰度分布),拉普拉斯算子的定义是 x、y 两个方向的二阶偏导数之和:

物理意义:描述像素点的灰度值与周围像素的差异程度
卷积核的计算方式

离散卷积核
图像的理算的像素矩阵,无法直接计算偏导数,因此用卷积核近似实现拉普拉斯算子,计算机视觉中最常用的3*3卷积核,
对于图像中某一个像素点,其拉普拉斯的计算方式为:
二、在图像清晰度评价中的应用
拉普拉斯算子用法:
- 完整计算流程(对应代码逻辑)
python
运行
import cv2
import numpy as np
# 1. 转灰度图(拉普拉斯对彩色图无意义,需单通道灰度)
gray = cv2.cvtColor(img, cv2.COLOR_BGR2GRAY)
# 2. 计算拉普拉斯卷积结果(精度必须用CV_64F,防止溢出)
laplacian = cv2.Laplacian(gray, cv2.CV_64F, ksize=3)
# 3. 计算卷积结果的方差 → 清晰度指标fm
fm = laplacian.var()
- 关键参数解析
●cv2.CV_64F:卷积结果的精度类型,必须用 64 位浮点型!原因:拉普拉斯计算会产生正负值(边缘两侧的灰度变化方向不同),且差值可能超过 8 位整型的范围(0-255);若用cv2.CV_8U,会导致负值被截断,方差计算完全失真。
●ksize=3:卷积核大小,默认是 3,必须为奇数;增大核(如 5)会增强边缘响应,但会降低对细微模糊的敏感度,清晰度评价时固定用 3 即可。 - 为什么用「方差」衡量清晰度?
拉普拉斯卷积结果 laplacian 是一个和原图同尺寸的矩阵,里面的数值有正有负,直接求和会相互抵消,无法量化清晰度。
方差(Variance) 的作用是衡量拉普拉斯值的「离散程度」:
●清晰图像:边缘多,拉普拉斯值的绝对值大 → 数据离散程度高 → 方差 fm 大;
●模糊图像:边缘被抹平,拉普拉斯值趋近于 0 → 数据离散程度低 → 方差 fm 小。
四、详细步骤:

●图像特征:中间一列是纯白(255),其余区域纯黑(0),形成垂直强边缘,模拟真实清晰图的边缘细节。卷积规则(和 OpenCV 完全一致):步长 = 1(核每次移动 1 个像素);
●无填充(padding=0,图像边缘无完整 3×3 邻域,不参与计算);
●计算方式:卷积核与图像邻域像素逐元素相乘,再求和,得到当前像素的拉普拉斯值;
●精度:用浮点型计算(对应cv2.CV_64F),保留正负值(二阶微分的核心特征)。
将二维数组伸展为一维,求均值,再求方差,
方差的意义:将二维的拉普拉斯矩阵转化为单一数值,量化边缘的整体强度 ------ 边缘越多、越明显,拉普拉斯值的离散程度越高,方差 fm 越大;
