一、Lorenz系统原理与数学模型
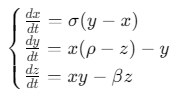
Lorenz系统是描述大气对流运动的非线性动力系统,其微分方程为:

其中:
-
σσσ(普朗特数):控制对流强度,典型值σ=10σ=10σ=10
-
ρρρ(瑞利数):控制系统混沌行为,临界值ρ=24.74ρ=24.74ρ=24.74,典型值ρ=28ρ=28ρ=28
-
βββ(几何比):控制垂直方向收缩,典型值β=8/3β=8/3β=8/3
当ρ>24.74ρ>24.74ρ>24.74时,系统呈现混沌行为,形成著名的Lorenz吸引子,表现为对初始条件的极端敏感(蝴蝶效应)。
二、MATLAB仿真实现步骤
1. 定义Lorenz方程函数
创建lorenz.m文件,描述微分方程:
matlab
function dydt = lorenz(t, state, sigma, rho, beta)
x = state(1); y = state(2); z = state(3);
dxdt = sigma * (y - x);
dydt = x * (rho - z) - y;
dzdt = x * y - beta * z;
dydt = [dxdt; dydt; dzdt];
end
2. 设置仿真参数与初始条件
matlab
% 参数设置
sigma = 10; % 普朗特数
rho = 28; % 瑞利数(混沌临界值)
beta = 8/3; % 几何比
% 初始条件(可调整)
initial_state = [1; 1; 1]; % 初始点 (x0, y0, z0)
% 时间范围与ODE45配置
tspan = [0, 50]; % 仿真时间 [0, 50]秒
options = odeset('RelTol', 1e-5, 'AbsTol', 1e-6); % 精度控制
3. 调用ODE45求解方程
matlab
[t, Y] = ode45(@(t, state) lorenz(t, state, sigma, rho, beta), tspan, initial_state);
4. 可视化结果
matlab
% 三维轨迹图
figure;
plot3(Y(:,1), Y(:,2), Y(:,3), 'LineWidth', 0.5);
xlabel('X'); ylabel('Y'); zlabel('Z');
title('Lorenz Attractor (σ=10, ρ=28, β=8/3)');
grid on; view(3);
% 投影到不同平面
figure;
subplot(2,2,1); plot(Y(:,1), Y(:,3)); title('X-Z Projection');
subplot(2,2,2); plot(Y(:,2), Y(:,3)); title('Y-Z Projection');
subplot(2,2,3); plot(Y(:,1), Y(:,2)); title('X-Y Projection');
subplot(2,2,4); plot3(Y(:,1), Y(:,2), Y(:,3)); title('3D View');
三、关键结果分析
1. 混沌吸引子特征
-
三维轨迹:呈现"蝴蝶形"非周期运动
-
敏感依赖性:初始条件微小变化(如y0从1变为1.01)导致轨迹发
2. 参数敏感性分析
| 参数 | 临界值 | 行为变化 |
|---|---|---|
| ρρρ | 24.74 | 从周期运动进入混沌状态 |
| σσσ | 10 | 低于10时系统趋于稳定平衡点 |
| βββ | 8/3 | 改变收缩速率,影响吸引子形状 |
四、扩展实验设计
1. 初始条件敏感性验证
matlab
% 不同初始条件对比
initial1 = [1; 1; 1];
initial2 = [1; 1.01; 1];
[t1, Y1] = ode45(@(t,state) lorenz(t,state,sigma,rho,beta), tspan, initial1);
[t2, Y2] = ode45(@(t,state) lorenz(t,state,sigma,rho,beta), tspan, initial2);
% 绘制X-Z平面对比
figure;
plot(Y1(:,1), Y1(:,3), 'r', Y2(:,1), Y2(:,3), 'b');
legend('Initial (1,1,1)', 'Initial (1,1.01,1)');
title('混沌敏感性:初始条件差异0.01');
2. 参数动态调整仿真
matlab
% 实时调整ρ值观察分岔现象
rho_values = [10, 15, 20, 25, 30];
figure;
hold on;
for i = 1:length(rho_values)
[~, Y] = ode45(@(t,state) lorenz(t,state,sigma,rho_values(i),beta), [0,50], initial_state);
plot3(Y(:,1), Y(:,2), Y(:,3), 'DisplayName', ['ρ=',num2str(rho_values(i))]);
end
hold off;
legend;
title('参数ρ对Lorenz系统的影响');
参考代码 用ODE45算法仿真Lorenz动力系统 www.youwenfan.com/contentcsr/99685.html
五、优化与注意事项
-
计算效率:
-
使用
ode45的Jacobian选项提供雅可比矩阵,加速求解:matlabfunction J = lorenz_jacobian(t, state, sigma, rho, beta) x = state(1); y = state(2); z = state(3); J = [ -sigma, sigma, 0; rho-z, -1, -x; y, x, -beta ]; end options = odeset('Jacobian', @lorenz_jacobian);
-
-
硬件加速:
-
启用并行计算(需Parallel Computing Toolbox):
matlaboptions = odeset('UseParallel', true);
-
-
可视化增强:
-
添加动画展示轨迹演化:
matlabfigure; plot3(Y(:,1), Y(:,2), Y(:,3), 'LineWidth', 0.5); for i = 1:size(Y,1) plot3(Y(1:i,1), Y(1:i,2), Y(1:i,3), 'LineWidth', 0.5); drawnow; pause(0.01); end
-
六、结论
通过ODE45算法成功仿真了Lorenz系统的混沌行为,验证了其对参数和初始条件的敏感性。此方法可扩展应用于其他非线性动力系统(如Rossler系统、Chua电路)的研究。