已怯战。😭😭
A 宙天
思路:
x 的范围是 0~100, 所以直接枚举就可以了,也可以自己写个数组毕竟就 2,6,12,20,30,42,56,72,90 这几个数。
代码:
cpp
void solve()
{
int x;
cin>>x;
for(int i=1;i<10;i++)
{
if(i*(i+1)==x){
cout<<"YES";
return;
}
}
cout<<"NO";
}
B Random
思路:
暴力过了,对于每个 a[i],去枚举和后面每个数的 gcd。不过其实循环并没有这么大,大约 200 多次就停了。
代码:
cpp
void solve()
{
int n;
cin>>n;
for(int i=0;i<n;i++)
{
cin>>a[i];
}
for(int i=0;i<n;i++)
{
for(int j=i+1;j<n;j++)
{
if(gcd(a[i],a[j])>1){
cout<<a[i]<<" "<<a[j]<<endl;
return;
}
}
}
cout<<"-1"<<endl;
}
G スピカの天秤
思路:
相等时拿一个就可以,不相等时对数组排序从大的开始拿,直到变换情况。贪心
代码:
cpp
#include<bits/stdc++.h>
using namespace std;
#define IOS ios::sync_with_stdio(0),cin.tie(0),cout.tie(0);
#define endl '\n'
#define int long long
const int N=2e5+5;
int a[N];
int b[N];
void solve()
{
int n,m;
cin>>n>>m;
int suml=0,sumr=0;
for(int i=0;i<n;i++)
{
cin>>a[i];
suml+=a[i];
}
for(int i=0;i<m;i++)
{
cin>>b[i];
sumr+=b[i];
}
sort(a,a+n);
sort(b,b+m);
if(suml==sumr)
{
cout<<"1"<<endl;
return;
}
if(suml>sumr){
int d=suml-sumr;
int cnt=0;
for(int i=n-1;i>=0&&d>0;i--)
{
d-=a[i];
cnt++;
}
cout<<cnt<<endl;
return;
}
else {
int d=sumr-suml;
int cnt=0;
for(int i=m-1;i>=0&&d>0;i--)
{
d-=b[i];
cnt++;
}
cout<<cnt<<endl;
return;
}
}
signed main()
{
IOS
int t;
cin>>t;
while(t--)
{
solve();
}
}
J Branch of Faith
思路:
这个题又恶补了下数据结构的知识,一个完全二叉树的深度计算公式为 ⌊log2(n)⌋+1\lfloor log_2(n) \rfloor+1⌊log2(n)⌋+1,除最后一层外的第 i 层节点数计算公式为 2i−12^{i-1}2i−1,假如当前是在第 H 层那前 H-1 层的节点数为 2H−1+12^{H-1}+12H−1+1。
还是位运算的知识,乘 2k2^k2k 相当于二进制左移 k 位。
这里没有使用 log 函数而是使用 __builtin_clzll(n),log 可能存在精度问题。
也可以像下面这样算,用位运算求高度。
cpp
int h=0;
while((1LL<<h)<=n)h++;
代码:
cpp
void solve()
{
int n,q;
cin>>n>>q;
int h=64-__builtin_clzll(n);
//int h=log2(n)+1;
while(q--)
{
int x;
cin>>x;
int hh=64-__builtin_clzll(x);
//int hh=log2(x)+1;
if(hh<h){
cout<<(1LL<<(hh-1));
}else cout<<(n-(1LL<<(h-1))+1);
cout<<endl;
}
}
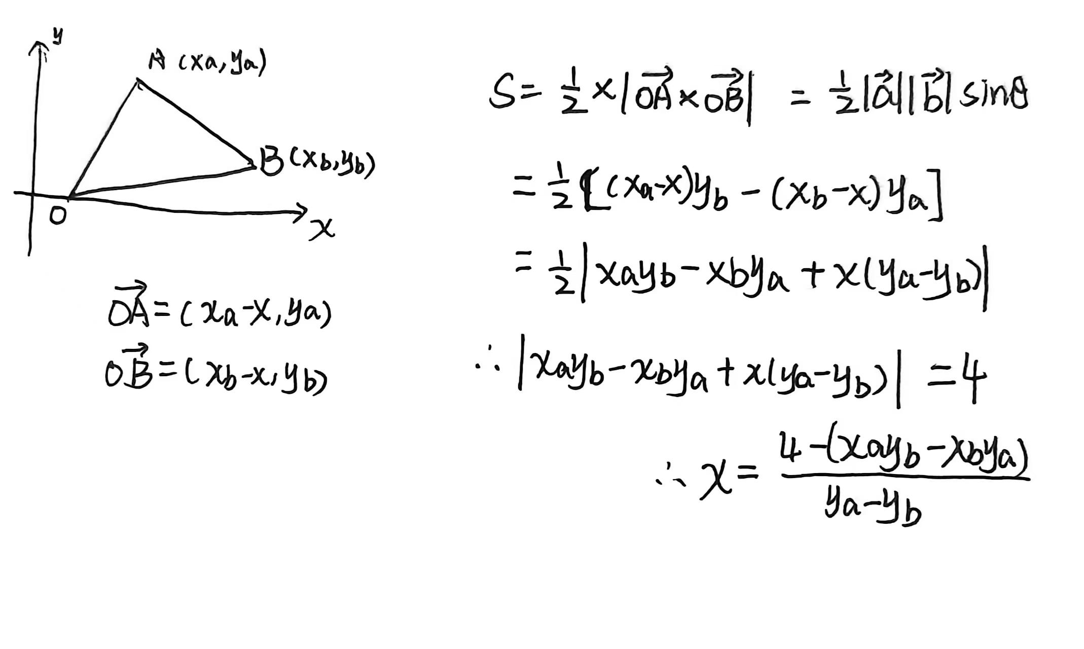
H Tic Tac DREAMIN'
思路:
随便画三个点,然后计算一下面积公式。

当纵坐标相等时,需要纵坐标为 4。
代码:
cpp
void solve()
{
int x1,x2,y1,y2;
cin>>x1>>y1>>x2>>y2;
int m=x1*y2-x2*y1;
if(y1==y2){
if(abs(m)==4)cout<<fixed<<setprecision(15)<<1.0<<endl;
else cout<<"no answer"<<endl;
}else{
cout<<fixed<<setprecision(15)<<1.0*(4-m)/(y1-y2);
}
}
F Energy Synergy Matrix
思路:
额外的步数来自上下换行。
可以根据下面的表格找规律,每五列一个换行。
| 1,1 | 紫 | 红 | 紫 | 红 | |||||||||||||||
|---|---|---|---|---|---|---|---|---|---|---|---|---|---|---|---|---|---|---|---|
| 红 | 紫 | 红 | 紫 |
代码:
cpp
void solve()
{
int n;
cin>>n;
cout<<n-1+n/5<<endl;
}
C Inverted World
思路:
最终结果只能是 01010101010101... 或者 101010101010... 。
分别计算变成这两种目标串所需的操作次数,取最小。
第一种偶数位为 0,奇数位为 1。第二种偶数位为 1,奇数位为 0。
统计错位数,如果之前有一个相反类型的错误,一次操作可以同时修掉这两个。
遍历结束后,剩余未配对的错误只能单独修复,其数量即为最少操作数。
代码:
cpp
void solve()
{
int n;
cin>>n;
string s;
cin>>s;
int c0=0,c1=0,c2=0,c3=0;
for(int i=0;i<n;i++)
{
if(i%2){
if(s[i]!='1'){if(c1)c1--;c0++;}//如果存在前一个1->0错误,则将二者配对,用一次操作同时修复,当前这个0->1错误需要被记录
else{if(c2)c2--;c3++;}
}else{
if(s[i]!='0'){if(c0)c0--;c1++;}
else{if(c3)c3--;c2++;}
}
}
int ans=min(c0+c1,c2+c3);
cout<<ans<<endl;
}