再来一遍!
在,

中,
和
之间的1个单位,被平分成
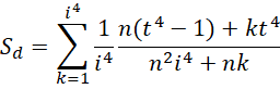
份,如果周期是
,但这个平分的每一份都取边界值的倒数为结果。而在,

过程中,每一个单位被平分成
份,周期是
,但是这平分的每一份则取对应数值的倒数为结果。所以,对于积分形式,

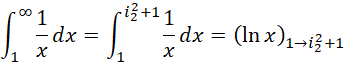
来说,整个区间被分成,

份,每一份的单位是
。

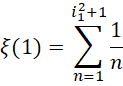
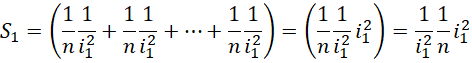
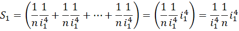
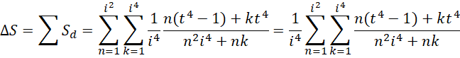
而对于求和形式,

来说,整个区间被分成,

份,每一份的单位都是1。相比较而言,积分形式的对应的求和份数更多,细节更细,


在每个
到
的区间,积分形式为,

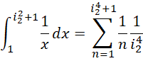
将内部精度提升到

求和形式为,

将
的每个部分都提升精度到

以最高精度计算面积的差值是,

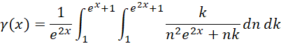
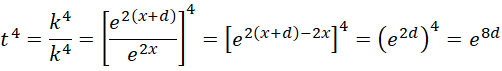
在此处给出比例关系,



这里出现了,
,由于虚数单位自身的可变性,
和
可能完全不相等,正如,

但是作为实际的数值,

两者相差
的相位,或者说,不在同一个周期,所以,令,

代入每一个微小面积,


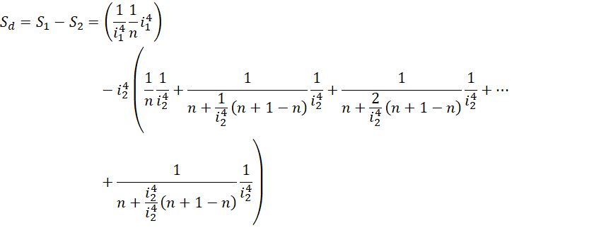
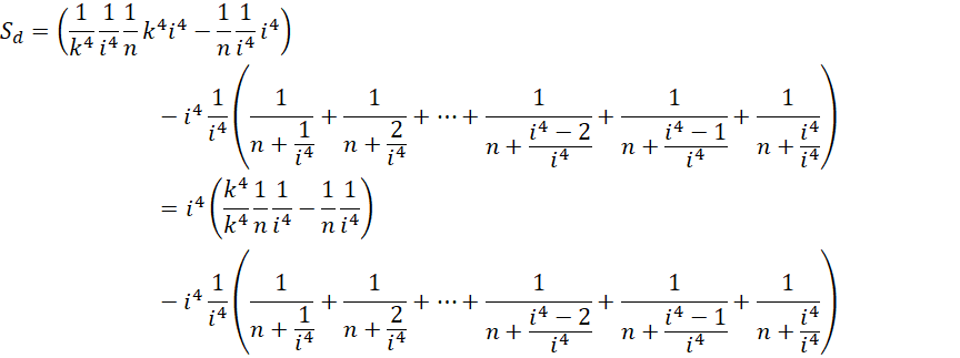
以最高精度计算的总面积差为,

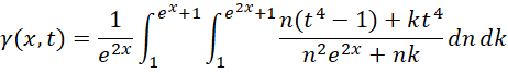
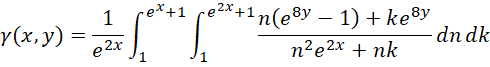
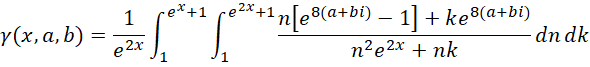
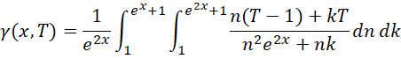
原来的求和公式,

导出积分公式,

现在的求和公式,


根据的
取值,判断,


方程变为,

可见
为实数,
为复数。整数系统和实数系统的单位的关系可以由,


表示。其中
确定大致的比例关系,
用于调整和确定关系的精度。有黎曼泽塔函数可以直到,整数系统的最大值(周期)由其中所有的质数决定,而实数系统则是完全连续的,所以这里用于调整精度的
就对应了整数系统中的质数分布。这也是黎曼泽塔函数体现质数分布的原因。

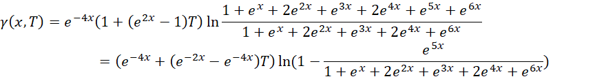
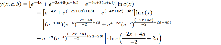
从先前的分析可以看出,如果没有

的参与,函数的极值达不到伽马的数值,而且经常是倾斜的,极值最高点并不落在0点上,有微小但难于计算的偏移,所以引入复数
来纠正这种旋转是必须的。但是作为初步极限,我们还是保留
在最后再考虑y
的调整。
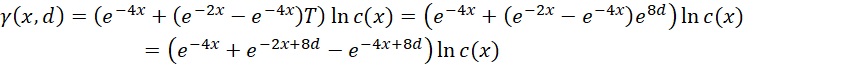
设,

原函数变成,

计算,








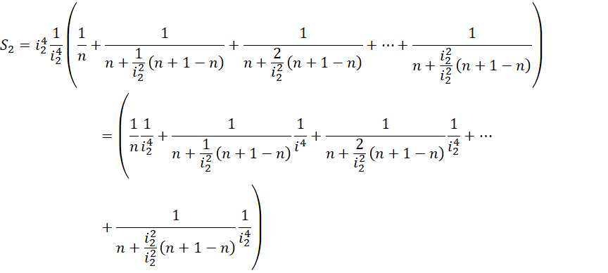
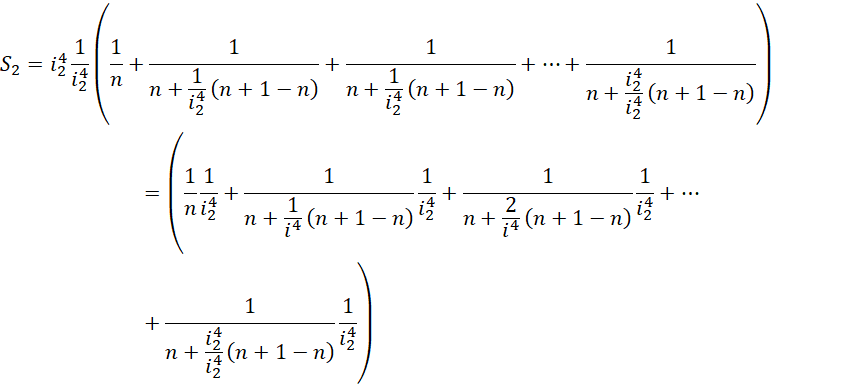
这说明,如果用这种算法,
必须分成两个部分,一部分被包含在
里面,另一部被包含在
里面。为了避免这种情况,我们对内外两层循环都做完整周期的累积。