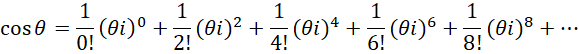
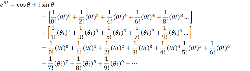
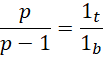
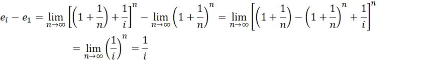
为了看懂三角函数的本质,我们把它缺少的虚数单位的幂次回填到函数上,



也就是说,
收集了所有
的偶数次幂,
收集了所有
的奇数次幂。


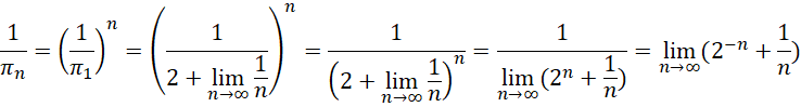
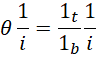
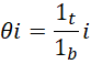
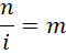
可见2倍的系数会传导到公式中的所有层次中,也就是说,角度
是关于2的某一种比率,比如2的一半或者相等或者两倍。其中每一个层次都是更深层次的

倍,因为
随着层次的加深而增长,它的倒数就越来越小,于是可以认为,每一个层次都是更深层次的2倍,一直到无限深的层次。每个层次上都占据那个层次的比例都为
。如果我们从最深的层次反向向上推演,比如最深的层次为,
,次深的层次就是

从下到上,最高的层次为,


这里的
表达了无穷层次,但最终决定比例的仍然是
,而这个
就不是和2之间的比例关系,而是和1之间的比例关系,而最深一层和
相乘的2表示的是次深一层是最深一层的2倍。由此来说,

也就是顶层和底层之间的单位1的比例关系(具体层次由n决定),而

表达的就是这两种单位的比关系,在无限细分前提下体现出来的效果。所以总的来说,
仍然是顶层和底层之间单位1的比关系,而不是这个比例关系的两倍。这就是角度的意义。由于虚数单位的四次幂的周期性(每增加4次幂回归到单位1),算法,

相当于把从小到无穷小的周期到大到单位1的周期都压缩在同一个维数上。而这就是2或者1获得膨胀效果的原因。
另外考虑单位之间的比例,比如质数减去一作为单位的时候,使用计算圆周率的算法得到质数的结果,这个结果实际上和此处说的情况是一样的,

也就是说,如果顶层的单位是
底层的单位是
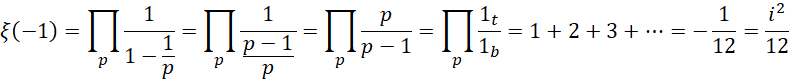
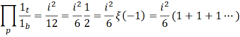
,它们两个的比就是质数和质数减去1的比。这意味着底层的不是质数但却是底层的单位(周期,等于0),而顶层的是质数,是顶层的单位。回到泽塔函数,

也就是说,
给出了所有质数作为顶层单位的乘积和它们减去一作为底层单位(1或者偶数,都是有效的单位或者周期)的乘积的比值。而这个比值如果开质数个数
次方根,就得到平均每个质数造成的顶层单位和底层单位的比值。从方程,

可以看出,顶层单位为
倍的基本单位1,底层单位为2和3倍的基本单位1。或者顶层具有
和
相对于底层单位1的两个基本单位。
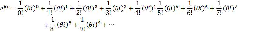
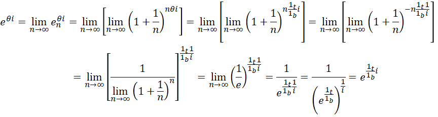
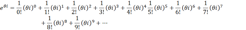
回到圆周率和三角函数,既然我们计算层次性的比例关系实际上是从大到小倒着算的,其它情况恐怕也是如此,也就是说,比如关于自然对数底的虚数指数,恐怕也是倒着算的,

实际上表达的是,


由此,

也就是,

就可以被二分分配到所有的层次上,使得每个层次都有单位1之间的比率等于
,而这里的
或者
是用来配合从指数函数到多项式的导数运算的结果的。所以反过来从底层到上层写这个公式,





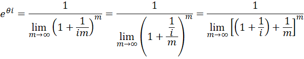
也就是说,角度
就是两个层次之间单位的比值。如果此时引入虚数单位,



则,

化为,



也就是说在两个单位之间增加了单位的四分之一次幂的倒数的微调能力。



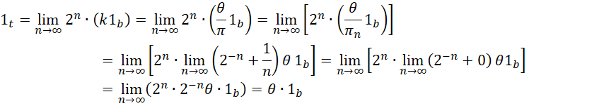
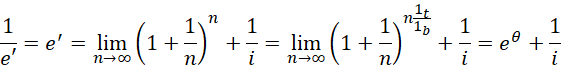
当,

得到,






作为单位,

继续得到,


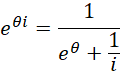
可见虚数单位的引入,在这里实际上体现的是,




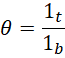
增加两个系统的单位比率的真实值
之后,

在单位的幂次操作过程中,不难发现单位的幂次总是在它和它的倒数之间来回翻转(互为倒数),比如偶数次都是一面的,奇数次都是另一面的。收集到的所有偶数次的,就和收集到的所有奇数次的,具有天然的倒数关系。所以,自然对数底的幂次展开中,

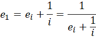
偶数次的构成一个结果,奇数次的构成另一个结果,两个结果天然互为倒数。但是,

使得互为倒数的两个部分划按照
的比例划分了整体。就像虚数单位,

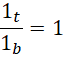
的时候,两个部分之间的比例是
,如果给出某个
,可以重新划分这个比例使得

成立。需要指出的是,这个比例等于两个系统的单位1的比例。考虑,

这个方程通过
给出了两个系统单位之间的比例关系的定值,但是这个定值随着时间的增长而增长,说明单位之间的比例关系还是变化了。比如其中的底层单位没有变化,那么上层单位就是随着时间不断增加或者减少的。如果两个单位都发生变化,则两个单位的差异就是随着时间不断增加或者减少的,由于去除时间之后,比例关系为定值,这说明不断增加或者减少的状况是稳定的。而这个方程的三角函数部分,则指出这种单位的稳定的增减过程体现出来的是匀速率圆周运动。



如果再引入虚数单位,则有,

以上讨论的都是系统单位之间的关系,若单位被重复,则获得系统特定度量上的关系,比如,

这里的
指的就是单位重复的倍数,由于两个系统的单位只比不是1,而是略为大于或者小于1的若干次幂,所以这个底数的幂次若不等于0,则结果一定大于1。我们可以把这个方程理解为地球自转(或者环绕太阳公转)过程中不为0半径上的某个点的运动轨迹。我们知道这种相对旋转可以发生,根本上仍然是两个系统的单位之间的比例不断变化的结果。引入的大于1的度量值,仍然可以被收归到单位之中。因为即便是纯虚数部分的
最终也是
和
的比例关系,所以即便加入一个实数
也不改变这一点。所以加入的实数
实质上只是比例关系未能正数倍数消化的结果。也就是说,它是一种比例关系被观察者的极限求模之后的余量。
围绕地球中心的这些点的旋转,本质上就是各自不同的系统按照不同的节律而增长的过程。各自都在增长,却又被观察者理解为不同的增长层次。不仅仅是地球上的点,物理实相的微观和宏观范围中,所有增长系统都会体现出这个效果。
但这里需要指出的是,并不是一切都必须进行有效的正负增长,是观察者选择了那些会增长的,才构成了我们观察到的一切。当然,以观察的方式选择正负增长,正是观察者所擅长的部分,或者说观察者这个角色的意义。