
原子光谱与原子结构, G.赫兹堡, p52
仲氦的能级图为,具体标注得到

在模长和幅角可自由变化的极坐标平面上3点结构有3个

设一个状态只能对应一个运动约束,并假设0+0|0+0是基态。
|---|----|---|---|---|---|---|----|
| A | 1 | 2 | | | B | 2 | 1 |
| | * | | | | | | * |
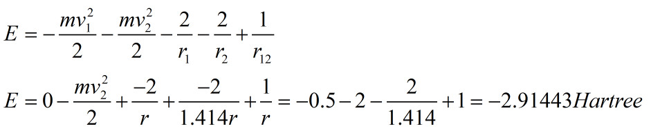
让1点相对核固定,则0+0|0+0就是在A和B两状态之间变换,让1到核的距离为波尔半径,1到2的距离也是1个波尔半径,则得到

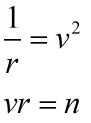
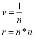
现在让点2绕点1运动,按照运动约束和角动量量子化条件

点2的速度和距离1的半径为

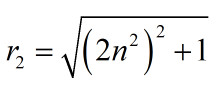
这里设2距核的距离为

则得到

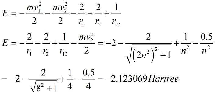
代入氦的能级为-2.904Hartree,(2.904-2.123069)*27.2=21.24ev
这个值与584.4A谱线对应的跃迁能级21.2ev很接近。
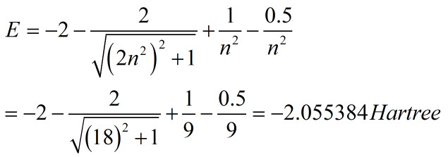
如果代入n=3得到

(2.904-2.055384)*27.2=23.08ev,与图中能级一致。
用这个方法把n算到100
|-----|--------------|-------------|-------------|
| n | Hartree | ev | Hartree |
| 2 | -2.123069469 | 21.24131044 | 0.125 |
| 3 | -2.055384484 | 23.08234204 | 0.055555556 |
| 4 | -2.031219505 | 23.73962947 | 0.03125 |
| 5 | -2.019992002 | 24.04501753 | 0.02 |
| 6 | -2.01388621 | 24.21109509 | 0.013888889 |
| 7 | -2.010203019 | 24.31127788 | 0.010204082 |
| 8 | -2.007812023 | 24.37631297 | 0.0078125 |
| 9 | -2.006172604 | 24.42090516 | 0.00617284 |
| 10 | -2.004999875 | 24.4528034 | 0.005 |
| 11 | -2.004132161 | 24.47640522 | 0.004132231 |
| 12 | -2.00347218 | 24.49435669 | 0.003472222 |
| 13 | -2.002958554 | 24.50832733 | 0.00295858 |
| 14 | -2.002551004 | 24.5194127 | 0.00255102 |
| 15 | -2.002222211 | 24.52835585 | 0.002222222 |
| 20 | -2.001249998 | 24.55480005 | 0.00125 |
| 30 | -2.000555555 | 24.57368889 | 5.56E-04 |
| 40 | -2.0003125 | 24.5803 | 3.13E-04 |
| 50 | -2.0002 | 24.58336 | 2.00E-04 |
| 60 | -2.000138889 | 24.58502222 | 1.39E-04 |
| 70 | -2.000102041 | 24.58602449 | 1.02E-04 |
| 80 | -2.000078125 | 24.586675 | 7.81E-05 |
| 90 | -2.000061728 | 24.58712099 | 6.17E-05 |
| 100 | -2.00005 | 24.58744 | 5.00E-05 |
比较前4组值
|---|-------------|-------|
| | 计算 | 观测 |
| n | ev | ev |
| 2 | 21.24131044 | 21.2 |
| 3 | 23.08234204 | 23.08 |
| 4 | 23.73962947 | 23.74 |
| 5 | 24.04501753 | 24.07 |
计算值和观测值很一致,用这个办法计算得到的第一电离能为24.587ev