
原子光谱与原子结构, G.赫兹堡, p52
正氦的能级图,具体标注得到

在模长和幅角可自由变化的极坐标平面上3点结构有3个

这次计算3个点在一条直线上的情况0+0|1+1
|-----|---|----|---|---|
| n=1 | | * | 1 | 2 |
设当n=1时,核和点1静止,让2绕1运动,半径为1,则2和核有碰撞的可能,因此对结构0+0|1+1只有n>1的状态。
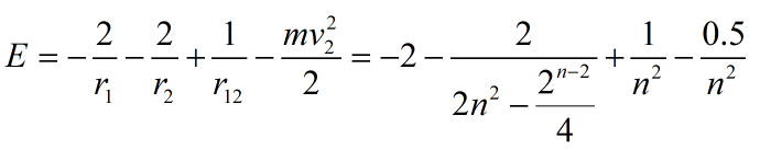
让2的速度和半径满足

|-----|---|----|---|---|---|---|---|
| n=2 | | * | 1 | | | | 2 |
设

得到数据为
|-----|--------------|-----------------|---------|----------|----------------------|----------------------|
| | double t=Math.pow(2,n-2); || | | | |
| | b=-2/1-2 /(2*n*n-0.25*t) + 1/(n*n) -0.5/(n*n); |||| | |
| | | | | | | |
| n | b | (2.904+b)*27.2 | 2*n*n | 0.25*t | 2 /(2*n*n-0.25*t) | 1/(n*n) -0.5/(n*n) |
| | Hartree | ev | | | Hartree | Hartree |
| 2 | -2.133064516 | 20.96944516 | 8 | 0.25 | 0.258064516 | 0.125 |
| 3 | -2.058730159 | 22.99133968 | 18 | 0.5 | 0.114285714 | 0.055555556 |
| 4 | -2.033266129 | 23.68396129 | 32 | 1 | 0.064516129 | 0.03125 |
| 5 | -2.021666667 | 23.99946667 | 50 | 2 | 0.041666667 | 0.02 |
| 6 | -2.015522876 | 24.16657778 | 72 | 4 | 0.029411765 | 0.013888889 |
| 7 | -2.012018141 | 24.26190658 | 98 | 8 | 0.022222222 | 0.010204082 |
| 8 | -2.010044643 | 24.31558571 | 128 | 16 | 0.017857143 | 0.0078125 |
| 9 | -2.009211776 | 24.3382397 | 162 | 32 | 0.015384615 | 0.00617284 |
| 10 | -2.009705882 | 24.3248 | 200 | 64 | 0.014705882 | 0.005 |
| 11 | -2.013411628 | 24.22400371 | 242 | 128 | 0.01754386 | 0.004132231 |
| 12 | -2.059027778 | 22.98324444 | 288 | 256 | 0.0625 | 0.003472222 |
| 13 | -1.985547167 | 24.98191705 | 338 | 512 | -0.011494253 | 0.00295858 |
| 14 | -1.994284423 | 24.7442637 | 392 | 1024 | -0.003164557 | 0.00255102 |
| 15 | -1.996526213 | 24.683287 | 450 | 2048 | -0.001251564 | 0.002222222 |
| 16 | -1.997488839 | 24.65710357 | 512 | 4096 | -5.58E-04 | 0.001953125 |
| 17 | -1.998007222 | 24.64300356 | 578 | 8192 | -2.63E-04 | 0.001730104 |
| 18 | -1.998329693 | 24.63423235 | 648 | 16384 | -1.27E-04 | 0.00154321 |
| 19 | -1.998552548 | 24.62817069 | 722 | 32768 | -6.24E-05 | 0.001385042 |
| 20 | -1.998719105 | 24.62364034 | 800 | 65536 | -3.09E-05 | 0.00125 |
| 30 | -1.999444415 | 24.60391192 | 1800 | 6.71E+07 | -2.98E-08 | 5.56E-04 |
| 40 | -1.9996875 | 24.5973 | 3200 | 6.87E+10 | -2.91E-11 | 3.13E-04 |
| 50 | -1.9998 | 24.59424 | 5000 | 7.04E+13 | -2.84E-14 | 2.00E-04 |
| 60 | -1.999861111 | 24.59257778 | 7200 | 7.21E+16 | -2.78E-17 | 1.39E-04 |
| 70 | -1.999897959 | 24.59157551 | 9800 | 7.38E+19 | -2.71E-20 | 1.02E-04 |
| 80 | -1.999921875 | 24.590925 | 12800 | 7.56E+22 | -2.65E-23 | 7.81E-05 |
| 90 | -1.999938272 | 24.59047901 | 16200 | 7.74E+25 | -2.58E-26 | 6.17E-05 |
| 100 | -1.99995 | 24.59016 | 20000 | 7.92E+28 | -2.52E-29 | 5.00E-05 |
比较前几组数值
|---|-------------|-------|
| n | ev | ev |
| 2 | 20.96944516 | 20.91 |
| 3 | 22.99133968 | 22.96 |
| 4 | 23.68396129 | 23.66 |
| 5 | 23.99946667 | |
数值很接近,第一电离能24.59ev和上次计算得到的仲氦的24.587ev很接近。

对比两次的结果,能不能假设局部能量的变化会导致局部空间密度发生变化?