在模长和幅角可自由变化的极坐标平面上3点结构有3个

在2*2的范围内只可能有0+0 | 0+0和1+1 | 0+0两个,
|---|---|----|----|---|---|---|----|----|
| 0 | | 1 | * | | 4 | | * | 0 |
| | | 1 | 0 | | | | 1 | 1 |
| | | | | | | | | |
| 1 | | 1 | 1 | | 5 | | 1 | 0 |
| | | * | 0 | | | | 1 | * |
| | | | | | | | | |
| 2 | | * | 1 | | 6 | | 0 | * |
| | | 0 | 1 | | | | 1 | 1 |
| | | | | | | | | |
| 3 | | 1 | 1 | | 7 | | 0 | 1 |
| | | 0 | * | | | | * | 1 |
0+0 | 0+0可能有8种状态,设这两个点由任一个状态到另一个状态的时间都相同为t,且两个点不可区分
|----|---|---|---|---|-------|-------|-------|-------|
| 0 | 0 | | 1 | | 1.414 | 2.236 | 2.236 | 2.828 |
| 1 | 0 | | 2 | | 2 | 2.236 | 2.236 | 2 |
| 2 | 0 | | 3 | | 1 | 1.414 | 2 | 2.236 |
| 3 | 0 | | 4 | | 1.414 | 2.236 | 1 | 2 |
| 4 | 0 | | 5 | | 1 | 0 | 2 | 1 |
| 5 | 0 | | 6 | | 1 | 1.414 | 0 | 1 |
| 6 | 0 | | 7 | | 2.236 | 2 | 2.828 | 2.236 |
| 7 | 1 | | 2 | | 1.414 | 2.236 | 1 | 2 |
| 8 | 1 | | 3 | | 1 | 0 | 2 | 1 |
| 9 | 1 | | 4 | | 2 | 2.236 | 2.236 | 2 |
| 10 | 1 | | 5 | | 1 | 1.414 | 2 | 2.236 |
| 11 | 1 | | 6 | | 2.236 | 2 | 2.828 | 2.236 |
| 12 | 1 | | 7 | | 1 | 1.414 | 0 | 1 |
| 13 | 2 | | 3 | | 2.236 | 1.414 | 2.828 | 2.236 |
| 14 | 2 | | 4 | | 1.414 | 1 | 1 | 0 |
| 15 | 2 | | 5 | | 2.236 | 2 | 2.828 | 2.236 |
| 16 | 2 | | 6 | | 2.236 | 1.414 | 2 | 1 |
| 17 | 2 | | 7 | | 1 | 0 | 2 | 1 |
| 18 | 3 | | 4 | | 2.236 | 2.828 | 2 | 2.236 |
| 19 | 3 | | 5 | | 0 | 1 | 1 | 1.414 |
| 20 | 3 | | 6 | | 2 | 2.236 | 2.236 | 2 |
| 21 | 3 | | 7 | | 2 | 2.236 | 1 | 1.414 |
| 22 | 4 | | 5 | | 2.236 | 1.414 | 2.828 | 2.236 |
| 23 | 4 | | 6 | | 1 | 0 | 2 | 1 |
| 24 | 4 | | 7 | | 2.236 | 1.414 | 2 | 1 |
| 25 | 5 | | 6 | | 2 | 2.236 | 1 | 1.414 |
| 26 | 5 | | 7 | | 2 | 2.236 | 2.236 | 2 |
| 27 | 6 | | 7 | | 2.828 | 2.236 | 2.236 | 1.414 |
两个点共有28种可能组合
|---|----|---|
| | 3 | 4 |
| 1 | * | |
| 2 | | |
如从0到1就有13,14,23,24共4种可能的移动方式,距离是
|-------|-------|-------|-------|
| 1.414 | 2.236 | 2.236 | 2.828 |
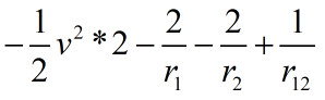
假如初始状态可能是这8个状态中的任何一个,终止状态可以是这8中与初始状态不同的任何一个,因此在时间t内,移动的距离就是这28种可能的平均值1.686
计算

=-0.5*1.686*1.686*2-2/1-2/1.414+1=-5.25633
同样的办法1+1 | 0+0只有4个状态
|---|---|----|----|---|---|---|----|----|
| 0 | | * | 1 | | 2 | | 1 | 0 |
| | | 1 | 0 | | | | * | 1 |
| | | | | | | | | |
| 1 | | 1 | * | | 3 | | 0 | 1 |
| | | 0 | 1 | | | | 1 | * |
只有6种可能的组合
|---|---|---|---|---|-------|-------|-------|-------|
| 0 | 0 | | 1 | | 2 | 1.414 | 1.414 | 0 |
| 1 | 0 | | 2 | | 1.414 | 0 | 2 | 1.414 |
| 2 | 0 | | 3 | | 1.414 | 2 | 2 | 1.414 |
| 3 | 1 | | 2 | | 1.414 | 2 | 2 | 1.414 |
| 4 | 1 | | 3 | | 1.414 | 0 | 2 | 1.414 |
| 5 | 2 | | 3 | | 0 | 1.414 | 1.414 | 2 |
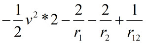
平均移动距离是1.374
同样计算

=-0.5*1.374*1.374*2-2-2+1/1.414=-5.18004
如果设点的质量,电量和t都是1,-5.25和-5.18就是0+0 | 0+0和1+1 | 0+0在2*2空间的能级,所以这是否意味着点以跃迁的方式在2*2的空间内运动,状态0+0 | 0+0要更稳定些?