高中数学
必修第二册
第六单元、平面向量及应用
知识点1:向量的相关概念

知识点2:向量的运算






知识点3:向量的数量积





知识点4:平面向量的坐标运算





知识点5:平面向量的补充知识






知识点6:解三角形




知识点7:三角形中的边角互换


知识点8:三角形中的各种线

知识点9:解三角形中的范围问题





第七单元、复数
知识点1:复数的概念

知识点2:复数的几何意义


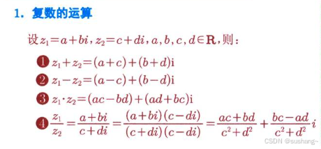
知识点3:复数的运算



知识点4:复数常用的结论总结


知识点5:实系数二次方程的复数根

知识点6:复数的三角形式

第八单元、立体几何初步
知识点1:多面体与旋转体






知识点2:平面图与直观图

知识点3:表面积与体积


知识点4:球体中的接切问题













知识点5:体积的计算技巧


知识点6:几何体中的截面问题

知识点7:点、线、面的位置关系




知识点8:空间中的平行关系






知识点9:空间中的垂直关系







第九单元、统计
知识点1:随机抽样







知识点2:用样本估计总体









第十单元、概率
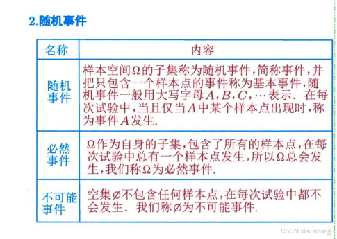
知识点1:随机事件与概率


知识点2:事件的关系与运算



知识点3:概率与古典概率



知识点4:事件的独立性


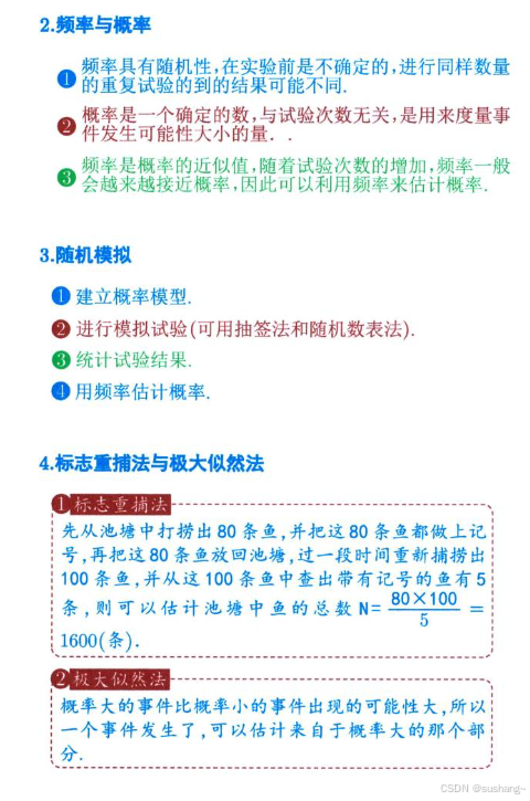
知识点5:频率与概率

