选择题
第7题


考试时看见一坨式子光想着拆了,没想到换元但是蒙对了
第8题


奇函数的性质没有去深挖,其实多化简几步就挺显然的,哎感觉考场上的自己好笨
填空题
第16题

第一遍的时候本着保大题的原则,以为这是道不可做题,跳过了。等写完后忘了空了道题,等到考试最后一分钟的时候发现了,自已想了想发现非常简单,但没时间了,后悔。
首先分析第一句话,因为以12\frac{1}{2}21为底的指数函数,是单调递减的,所以上面的那一坨指数必然也是单调递减的,这一坨指数是二次函数,所以找对称轴即可解出D是[1,+∞)D是[1,+∞)D是[1,+∞)。
接着分析第二句话,可以得出
这一坨在D处永远大于0,这又成基础的二次函数求参数范围了。
解的答案为(−∞,0](-∞,0](−∞,0]U[1,+∞)[1,+∞)[1,+∞)
点评:这东西就像[NOI2018] 归程,明明全是基础题,但加起来就不基础了,但是拨开云雾窥其本质还是水题。
解答题
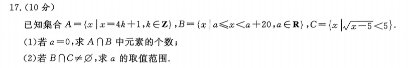
17.
??????????????????????????????????????????????????????????????????????????????????????????????????????????????????????????????????????????????????????
17题怎么能扣分?甚至第二问整个都没分

主要说第二问

明明很显然,这是我姥姥来都会做的题目,但是有个小笨蛋没有考虑x−5x-5x−5在根号底下具有非负性,算出来的
C少了左边的闭区间,就全都没分了
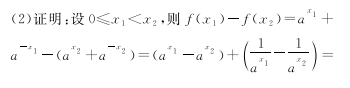
第21题

第二问没拿到分

这个看解析应该就能看懂,其实都能看懂就是考试想不到
场上想到了9分哪里,但是没有进一步讨论起范围,反而是捣鼓这个式子去了,最后无功而跳过

第22题

第一问有手就行
第二问按着定义乱搞做完了
重点是第三问


还是很晦涩难懂,问了问DeepSeek


这下懂了,那很难想了