力扣解题-637. 二叉树的层平均值
给定一个非空二叉树的根节点 root , 以数组的形式返回每一层节点的平均值。与实际答案相差 10⁻⁵ 以内的答案可以被接受。
示例 1:

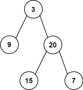
输入:root = [3,9,20,null,null,15,7]
输出:[3.00000,14.50000,11.00000]
解释:第 0 层的平均值为 3,第 1 层的平均值为 14.5,第 2 层的平均值为 11 。
示例 2:

输入:root = [3,9,20,15,7]
输出:[3.00000,14.50000,11.00000]
提示:
树中节点数量在 [1, 10⁴] 范围内
-2³¹ <= Node.val <= 2³¹ - 1
Related Topics
树、深度优先搜索、广度优先搜索、二叉树
第一次解答
解题思路
核心方法:广度优先搜索(BFS)层级遍历法,利用队列实现二叉树的层级遍历,逐层计算节点值的总和与数量,最终求得平均值,时间复杂度O(n)、空间复杂度O(n),是本题最直观、最高效的解法。
核心逻辑拆解
求层平均值的核心是"按层遍历+逐层计算",关键在于精准区分每一层的节点:
- 初始化:创建结果列表存储各层平均值,队列存储待遍历节点,先将根节点入队;
- 层级遍历循环 :队列非空时,持续处理每一层:
- 记录层大小 :每次循环开始时,队列的长度即为当前层的节点数(
size=queue.size()); - 计算层总和 :遍历当前层的所有节点(循环size次),累加节点值到总和
sum,并将节点的左右子节点入队(为下一层遍历做准备); - 计算平均值:当前层总和除以节点数,将结果加入结果列表;
- 记录层大小 :每次循环开始时,队列的长度即为当前层的节点数(
- 返回结果:遍历完所有层后,返回存储平均值的列表。
具体步骤(以示例1 root=[3,9,20,null,null,15,7]为例)
| 遍历层级 | 队列初始状态 | 层大小size | 累加过程 | 层总和sum | 平均值 | 结果列表 |
|---|---|---|---|---|---|---|
| 0(根层) | [3] | 1 | sum = 3 | 3 | 3.0 | [3.0] |
| 1 | [9,20] | 2 | sum = 9 + 20 = 29 | 29 | 14.5 | [3.0, 14.5] |
| 2 | [15,7] | 2 | sum = 15 + 7 = 22 | 22 | 11.0 | [3.0, 14.5, 11.0] |
关键细节说明
- 层大小固定 :必须在遍历当前层前记录
queue.size(),因为遍历过程中会将下一层节点入队,队列长度会动态变化; - 数据类型选择 :
- 总和
sum使用double类型,避免int溢出(节点值范围达2³¹,多层累加易超出int范围); - 平均值直接用
sum/size计算,保证精度满足题目要求(10⁻⁵以内);
- 总和
- 边界处理:题目保证树非空,无需处理root=null的情况;叶子节点的左右子节点为null,不会入队,不影响层遍历。
性能说明
- 时间复杂度:O(n)(每个节点仅入队/出队一次,n为节点总数);
- 空间复杂度:O(n)(最坏情况队列存储一层所有节点,如完全二叉树最后一层有n/2个节点);
- 优势:
- 层级遍历逻辑直观,与"按层求平均值"的需求高度契合;
- 一次遍历即可完成计算,无冗余操作;
- 代码简洁,易理解和调试。
java
public List<Double> averageOfLevels(TreeNode root) {
List<Double> res=new ArrayList<>();
Queue<TreeNode> queue=new LinkedList<>();
queue.offer(root);
while(!queue.isEmpty()){
int size=queue.size();
double sum=0;
for(int i=0;i<size;i++){
TreeNode node=queue.poll();
sum+=node.val;
if(node.left!=null){
queue.offer(node.left);
}
if(node.right!=null){
queue.offer(node.right);
}
}
res.add(sum/size);
}
return res;
}
示例解答
解题思路
解法1:深度优先搜索(DFS)递归法(拓展思路)
核心方法:DFS递归记录每层总和与节点数,通过递归遍历二叉树,用两个列表分别记录每一层的节点值总和和节点数量,最后遍历列表计算平均值,时间复杂度O(n)、空间复杂度O(h)(h为树的高度)。
代码实现
java
public List<Double> averageOfLevels(TreeNode root) {
// 存储每层的总和
List<Long> sumList = new ArrayList<>();
// 存储每层的节点数
List<Integer> countList = new ArrayList<>();
// 递归遍历,初始层级为0
dfs(root, 0, sumList, countList);
// 计算平均值
List<Double> res = new ArrayList<>();
for (int i = 0; i < sumList.size(); i++) {
res.add(sumList.get(i) * 1.0 / countList.get(i));
}
return res;
}
private void dfs(TreeNode node, int level, List<Long> sumList, List<Integer> countList) {
if (node == null) {
return;
}
// 首次访问该层级,初始化总和和数量
if (level == sumList.size()) {
sumList.add((long) node.val);
countList.add(1);
} else {
// 非首次访问,累加总和、增加数量
sumList.set(level, sumList.get(level) + node.val);
countList.set(level, countList.get(level) + 1);
}
// 递归遍历左右子树,层级+1
dfs(node.left, level + 1, sumList, countList);
dfs(node.right, level + 1, sumList, countList);
}
核心逻辑说明
- 递归参数 :
level:当前节点所在层级(根节点为0);sumList:按层级存储节点值总和(用Long避免溢出);countList:按层级存储节点数量;
- 递归处理 :
- 首次访问某层级时,初始化该层级的总和和数量;
- 非首次访问时,累加总和、增加数量;
- 递归遍历左右子树,层级+1;
- 计算平均值:遍历sumList和countList,用"总和/数量"得到各层平均值。
性能说明
- 时间复杂度:O(n)(每个节点仅被访问一次);
- 空间复杂度:O(h)(递归栈深度等于树的高度,sumList和countList的长度等于层数,最多h);
- 优势:
- 无需使用队列,空间复杂度在平衡树场景下优于BFS(O(logn) vs O(n));
- 适合需要同时处理层级相关的其他统计信息(如总和、最大值、最小值);
- 劣势:需要额外的列表存储中间结果,逻辑比BFS稍复杂。
解法2:BFS优化版(高精度处理)
核心方法:在原BFS基础上优化数据类型,使用long存储总和,避免极端场景下的精度损失,进一步提升结果准确性。
代码实现
java
public List<Double> averageOfLevels(TreeNode root) {
List<Double> res = new ArrayList<>();
Queue<TreeNode> queue = new LinkedList<>();
queue.offer(root);
while (!queue.isEmpty()) {
int size = queue.size();
long sum = 0; // 改用long存储总和,避免int溢出
for (int i = 0; i < size; i++) {
TreeNode node = queue.poll();
sum += node.val;
if (node.left != null) queue.offer(node.left);
if (node.right != null) queue.offer(node.right);
}
// 转换为double计算平均值,保证精度
res.add((double) sum / size);
}
return res;
}
优化说明
- 总和类型优化 :将
sum从double改为long,先以整数形式累加,最后再转换为double计算平均值,避免多次浮点累加的精度损失; - 适用场景:当节点值数量大、层级多的时候,该优化能让结果更接近真实值,满足题目"与实际答案相差10⁻⁵以内"的要求。
总结
- BFS层级遍历法(第一次解答):O(n)时间+O(n)空间,逻辑直观、代码简洁,是本题的工程最优解;
- DFS递归法:O(n)时间+O(h)空间,空间复杂度在平衡树场景下更优,适合拓展层级相关的统计需求;
- BFS高精度版:O(n)时间+O(n)空间,优化数据类型,提升极端场景下的计算精度;
- 关键技巧 :
- 核心思想:求层平均值的关键是"区分层级",BFS通过队列大小固定层级,DFS通过层级参数标记层级;
- 溢出处理:必须用long/double存储总和,避免int溢出;
- 精度保证:最终平均值用浮点除法计算,满足题目精度要求。