
-
Project Page / Website:https://lil-shake.github.io/va-pi.github.io/
-
Hugging Face (Weights) :https://huggingface.co/LilShake66/VA-Pi
在视觉自回归(AR)模型狂奔的今天,我们似乎已经习惯了将 Tokenizer 和生成器当作完美的黑盒组合。然而,回归事物的本质,我们必须直面一个"房间里的大象":为什么 Tokenizer 在重建图像时完美无瑕,但交由 AR 模型自发生成 Token 序列时,解码出的图片却常常伴随着结构扭曲与不自然的伪影?
VA-π (Variational Policy Alignment) 深入剖析了这一现象背后的结构逻辑,提出了一种极其轻量且优雅的后训练(Post-training)框架。这项研究摒弃了单纯追求工程跑分的暴力路线,而是用极具数学美感的变分推断(VI)与强化学习(RL),从根本上弥合了生成与重建的鸿沟。
亮点直击:极简算力破解"隐性错位"
当前的视觉 AR 模型存在一个致命的底层割裂:Tokenizer 学习的是完美还原真实像素,而 AR 生成器仅仅在离散空间里优化 Token 的似然概率。这种缺乏"真实物理像素感知"的机制,导致 AR 模型在推理时生成的 Token 极易偏离真实分布流形(Off-manifold)。

为了彻底打通像素与 Token 之间的壁垒,VA-π 给出了一套惊艳的解法:
-
极致的训练效率: 彻底告别昂贵且不稳定的 RLHF 算力集群!在 8 张 A100 显卡上,仅需 1% 的 ImageNet 数据,微调约 25 分钟即可完成蜕变。
-
跨越式的质量飞跃: 在 LlamaGen-XXL 上,VA-π 让 FID 指标实现了近乎减半的跨越式下降(从 14.36 暴降至 7.65),Inception Score (IS) 从 86.55 飙升至 116.70。
-
优雅的数学解构: 创新性地在变分框架下引入策略梯度,彻底解决了像素级反馈优化中遇到的"不可导"与"计算爆炸"双重难题,并巧妙化解了自回归生成的"曝光偏差"。
方法论深潜:用变分推断重塑生成逻辑

想要用真实像素的误差来指导离散 Token 的生成,实操中立刻会撞上"不可导"和"计算空间爆炸"两座大山。VA-π 是如何通过严谨的推导将其一一化解的?
想要用真实像素的误差来直接指导离散 Token 的生成,实操中立刻会撞上"不可导"和"计算空间爆炸"两座大山。在 VA-π (Variational Policy Alignment) 框架中,研究团队没有在表层打补丁,而是回到了严密的数学理论中。正如框架图所示,VA-π 是一个轻量级的后训练(Post-training)框架,它通过优化 AR 生成器来实现像素空间的分布对齐。
以下是 VA-π 打破黑盒、实现直接像素级对齐的四大核心推导步骤:
1. 化解"计算爆炸":基于变分推断的对齐证据下界 (ELBO)
在自回归视觉生成中,我们最终的目标是最大化真实图像 在像素空间的似φ。但在离散的 Token 空间中直接计算这个积分是极其困难的(Intractable)。
借鉴 VAE 的思想,VA-π 引入了一个由 AR 模型学习的变分后验分布 来近似真实的后验。极其巧妙的是,VA-π 利用 Teacher Forcing 机制来构建这个后验分布------即在给定真实前缀的情况下来预测下一个 Token。这使得后验分布能够高度集中在那些能被忠实还原为原图的 Token 序列上,彻底避免了 Free-running 采样时误差累积导致的流形偏离(Off-manifold)。
基于此,研究团队推导出了一个优雅的证据下界 (ELBO) 优化目标:

这个公式为我们提供了两个极具物理意义的训练信号:
-
重建项(Reconstruction Term): 提供像素级的监督,强迫 AR 模型在 Teacher Forcing 下生成的序列能够还原出原图。
-
先验正则化项(Prior Regularization Term): 约束生成的 Token 分布,维持预训练 AR 模型的原生语言建模能力。
2. 消除曝光偏差:将正则化简化为带噪的 Next-Token 预测
在上述 ELBO 公式中,KL 正则化项衡量的是 Teacher-forced 分布与模型自身 Free-running 分布之间的差异。最小化这个 KL 散度,本质上就是在直接最小化自回归生成中臭名昭著的曝光偏差(Exposure Bias)。
为了高效实现这一目标,VA-π 引入了上下文噪声(Contextual Noise)。通过对真实前缀注入扰动率 的核噪声,得到带噪前缀。最终,这个复杂的正则化项被极其优雅地简化为一个带噪的 Next-Token 预测损失:

这种强行"加难度"的做法,迫使模型学会在带有干扰的上下文中依然生成高质量的 Token,大幅提升了推理鲁棒性。
3. 突破"不可导":引入强化学习与重建奖励 (Reconstruction Reward)
虽然 ELBO 给出了优化方向,但重建项包含量化器(Quantizer)和离散的 Teacher-forcing 采样,导致梯度被完全阻断(不可导)。仅仅依赖直通估计器(STE)依然无法解决分类分布采样带来的偏差。
为了破局,VA-π 巧妙转换视角,将 AR 生成器视为一个策略(Policy),采用强化学习来最大化重建奖励(即负的重建损失)。给定参考图像 、真实 Token 以及解码器还原的图像 ,内在奖励被定义为:

为了避免让 AR 模型进行昂贵的多次前向推理,这里同样使用了带噪的 Token 序列 。最大化这个奖励,就能直接引导 AR 模型生成在像素空间完美对齐的序列。
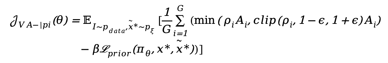
4. 终极融合:VA-π 策略优化 (Policy Optimization with GRPO)
至此,VA-π 拥有了基于 RL 的重建奖励(Eq. 10)和 Next-Token 正则化(Eq. 9)。这与强化学习中"策略优化 + KL 惩罚"的范式完美契合!
VA-π 采用了先进的 GRPO 算法 将这两者整合进一个统一且极其稳定的训练流程中。最终的 VA-π 优化目标π如下:

实验展示:全方位、多尺度的极限施压
严谨的理论支撑带来了极其扎实的实验数据。为了验证 VA-π 的普适性,研究团队在具有挑战性的两项视觉生成任务上进行了全面评测:类别条件图像生成 (Class-to-Image, C2I) 和 **文本条件图像生成 (Text-to-Image, T2I)**。
实验配置极其克制:
-
基座模型: 涵盖纯视觉自回归标杆 LlamaGen(包括 775M 的 XL 版和 1.4B 的 XXL 版),以及当前大热的统一多模态大模型 Janus-Pro 1B。
-
极简算力: 在 C2I 任务中,仅使用 ImageNet-1k 中 12.8K 的极小样本量,微调 100 步(约 20~25 分钟)。全程不依赖无分类器引导(CFG)即可实现稳定探索。
1. C2I 核心战绩:25 分钟微调,FID 直降 50%
在权威的 ImageNet-1k 验证集(5 万张图像)上,VA-π 迎战了包括 AR-GRPO(依赖外部奖励模型的 RL 方法)和传统 STE 方法在内的一众强敌。结果呈现出碾压态势。

-
LlamaGen-XXL (1.4B) 的质变: 仅仅经过 25 分钟的后训练,VA-π 就让 XXL 模型的 FID 削减了近 50%(14.35 7.65),同时 Inception Score (IS) 大幅提升 30.16。这彻底粉碎了以往方法"保真度与多样性不可兼得"的魔咒。
-
无情碾压复杂 RL 路线: 在 LlamaGen-XL (775M) 上,VA-π (配合 CFG=2.0)拿下了 299.63 的最高 IS 得分,直接超越了复杂的 AR-GRPO 方法。最关键的是,VA-π 既不需要训练任何外部奖励模型,训练速度还快了整整 7.5 倍(仅需 20 分钟)!
2. T2I 核心战绩:无需外部奖励,统一多模态大模型
VA-π 的恐怖之处在于其极强的泛化能力。尽管在训练中完全没有使用任何文本对齐(Text-alignment)或人类偏好奖励,它依然在 GenEval 基准测试中大放异彩。

-
全面超越 AR-GRPO: 在 LlamaGen-XL 上,VA-π 在 GenEval 的多数子任务上击败了 AR-GRPO,特别是在"颜色理解"、"计数"和"双目标组合"等复杂语义上进步明显。更有趣的是(如 Table 1 所示),在评估图文一致性的 CLIP 和 HPS v2 指标上,未经显式文本偏好微调的 VA-π,竟然打败了专门针对此优化的 AR-GRPO!这充分证明了"底层像素级对齐"带来的巨大泛化红利。
-
赋能统一多模态大模型: 当我们将 VA-π 插入 Janus-Pro 1B 后,模型的视觉组合能力和语义接地能力进一步跃升(GenEval 综合得分 0.725 0.744)。特别是在"属性绑定"和"双目标关系"上提升显著。这表明 VA-π 为大型多模态系统在文本条件生成中弥合"Token级与感知级差异",提供了一个极具扩展性的通用机制。
3. 拒绝"黑盒炼丹":严密的消融实验证明
为了探究 VA-π 为何如此高效,研究团队对奖励构成、正则化项以及上下文噪声进行了极其硬核的拆解。
- **奖励与正则化缺一不可 (Table 4)**: 如果只用像素级重建奖励(LMSE / Lp),模型会迅速偏离预训练的 AR 分布,导致彻底崩坏(FID 飙升至 38.76)。只有当引入先验正则化项(Prior Regularization)作为辅助护栏时,才能完美稳住 Token 级似然,达成最佳的对齐平衡(FID 7.65)。

- **轻量级 CE 正则化更优 (Fig 4)**: 在对比 KL 散度与交叉熵(CE)正则化时发现,CE 展现出了更优的稳定性。更重要的是,在宽泛的权重区间(如 )内,模型均能取得最佳的保真度与多样性平衡,彻底告别"炼丹式"调参。

- **上下文噪声的黄金比例 (Table 5)**: 针对"曝光偏差(Exposure Bias)",实验探究了注入噪声比例 的影响。结果表明,适度的噪声扰动() 是打破训练与推理分布错位的最优解,能在 GenEval 测试中获得最高的综合评分(0.339)。不加噪声或噪声过载,都会直接削弱模型的最终战斗力。

4. 结果可视化
- 类别条件图像生成 (ImageNet-1K) :我们提供了在 ImageNet-1K 类别上进行类别条件图像生成 (C2I) 的定性对比结果。所有样本均采用相同的解码设置(CFG = 1.0,temperature = 1.0,top-k = 0,top-p = 1.0)。

ImageNet C2I: kite.
- 文本条件图像生成 (GenEval) :我们展示了基于 GenEval 提示词的 T2I(文生图)定性对比结果。所有样本均采用相同的解码设置(CFG = 5.0,temperature = 1.0,top-k = 0,top-p = 1.0)。

GenEval: attribute binding.
小结:为什么 VA-π 能够实现像素级对齐?
-
像素级的内在奖励把原本割裂的"Token 概率优化"与"真实物理视觉"彻底打通,让 AR 策略直接为最终的重建质量负责,从根本上消除了 Tokenizer 与生成器的隐性错位。
-
基于变分推断(ELBO)的 Teacher-forcing把庞杂的在线多步试错降维成了极其高效的单次前向计算,完美避开了长序列探索的计算爆炸,用极简算力实现了像素级引导。
-
ELBO 的天然正则化项把"维持原生分布"变成了坚固的约束护栏,确保模型在追求极致像素反馈时,依然保持严密的自回归一致性,杜绝了生成流形的偏离。
参考文献
1\] VA-π: Variational Policy Alignment for Pixel-Aware Autoregressive Generation