目录
[4.1 协方差矩阵估计](#4.1 协方差矩阵估计)
[4.2 协方差矩阵特征分解](#4.2 协方差矩阵特征分解)
[4.3 经典MUSIC空间谱构造](#4.3 经典MUSIC空间谱构造)
[4.4 自适应MUSIC算法](#4.4 自适应MUSIC算法)
1.课题概述
MUSIC(Multiple Signal Classification)即多重信号分类算法,是基于子空间分解 的超分辨率波达方向(DOA)估计算法,自适应MUSIC在基础MUSIC框架上,通过对噪声、互耦、不同步等实际场景的自适应处理,提升波束形成的鲁棒性。其核心原理是:天线阵列接收的信号协方差矩阵可分解为信号子空间 和噪声子空间,且二者正交;通过遍历所有可能的波达方向,找到使导向矢量与噪声子空间正交的角度,即为目标信号的来波方向。
2.系统仿真结果






3.核心程序或模型
版本:Matlab2024b
for jj = 1:length(SNR)
jj
for i=1:MTKL
rng(i)
X = awgn(Signals,SNR(jj),'measured');
tic;
Rxx = X*X'/Nn;
%Music算法
[V,D] = eig(Rxx);
[lambdas,index]= sort(diag(D),'ascend');
%确定噪声子空间
V_N = V(:,1:(N-Nn));
theta=0:1:360;
for i_theta=1:length(theta)
for i_N=1:N
phi(i_N,i_theta) = k0*Radius*cos(2*pi*(i_N-1)/N-theta(i_theta)*pi/180);
w(i_N,i_theta) = exp(j*phi(i_N,i_theta));
end
P_music(i,i_theta) = 1./(w(:,i_theta)'*V_N*V_N'*w(:,i_theta));
end
P = P + P_music(i,:);
Times(i) = toc;
end
P=abs(P)/MTKL;
[V,I] = max(10*log10(P/max(P)));
error2(jj)= 100*abs(theta(I)-theta1s)/theta1s;
end
021_018m
4.系统原理简介
自适应MUSIC算法是在经典MUSIC(Multiple Signal Classification)算法基础上,通过空间平滑解相干和权值自适应迭代更新实现优化的高分辨率波达方向(DOA)估计算法,其核心是利用阵列信号协方差矩阵的子空间分解特性,结合动态权值优化,实现对目标信号的精准波束增强与干扰抑制。
4.1 协方差矩阵估计
对阵列输出信号X进行相关处理,得到理论协方差矩阵:

在实际工程中,由于无法获取无限长信号序列,采用有限快拍数的样本协方差矩阵近似估计:

该步骤通过对多快拍数据求平均,抑制噪声影响,为后续子空间分解提供稳定的输入矩阵。
4.2 协方差矩阵特征分解
假设理想无噪声场景,阵列接收信号可表示为X=AS,其中A为M×D维阵列流形矩阵(D为信号源数),S为信号矩阵。此时协方差矩阵可分解为:

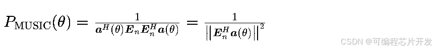
4.3 经典MUSIC空间谱构造
基于信号子空间与噪声子空间的正交性,构造MUSIC空间谱函数:

其中a(θ)为方位角θ对应的阵列导向矢量,∥⋅∥表示向量2-范数。通过遍历所有可能方位角计算谱值,谱峰对应的角度即为信号DOA估计结果。
4.4 自适应MUSIC算法
为适应动态信道与干扰环境,设计波束形成权值的自适应迭代优化策略:

自适应MUSIC算法通过空间平滑解相干与权值自适应迭代更新,在保留经典MUSIC算法高分辨率优势的基础上,显著提升了算法在复杂场景下的稳健性与适应性。其核心流程围绕协方差矩阵估计、子空间分解、空间谱构造与动态权值优化展开,通过对信号子空间与噪声子空间的精准划分,实现了高精度DOA估计与高效波束形成。尽管存在计算复杂度提升的问题,但其在解相干、抗干扰及动态适应方面的优势,使其成为阵列信号处理领域极具工程价值的改进算法,为数字波束形成技术在实际复杂信道环境中的应用提供了重要支撑。
5.完整工程文件
v v
关注后,GZH回复关键词:a29
或回复关键词:MUSIC