本程序实现了基于Kaimal谱的大气边界层湍流风特性模拟,用于生成符合实际风场统计特性的风速时间序列。
matlab
%% 基于Kaimal谱的风速生成程序
% 描述: 使用Kaimal谱模型生成符合大气边界层湍流特性的风速时间序列
%% 主程序入口
function kaimalWindGenerator()
% 清空环境
clear; close all; clc;
% 参数设置
params = struct();
params.V_mean = 12; % 平均风速 (m/s)
params.height = 80; % 离地高度 (m)
params.turbulenceIntensity = 0.12; % 湍流强度
params.integralScale = 200; % 积分尺度 (m)
params.terrainRoughness = 0.03; % 地表粗糙度 (m)
params.samplingFreq = 10; % 采样频率 (Hz)
params.duration = 3600; % 持续时间 (s) 1小时
params.seed = 42; % 随机数种子
params.windDirection = 30; % 风向 (度)
params.verticalShear = true; % 是否考虑垂直风切变
params.shearExponent = 0.2; % 风切变指数
params.showPlots = true; % 显示图形
params.saveResults = true; % 保存结果
% 计算派生参数
params.sigma = params.V_mean * params.turbulenceIntensity; % 风速标准差
params.dt = 1/params.samplingFreq; % 时间步长
params.N = params.duration * params.samplingFreq; % 样本点数
% 设置随机种子
rng(params.seed);
% 生成风速时间序列
[windSpeed, time, spectrum] = generateKaimalWind(params);
% 添加风切变效应
if params.verticalShear
[windProfile, heights] = calculateWindProfile(params);
windSpeed = applyVerticalShear(windSpeed, params, windProfile);
end
% 可视化结果
visualizeResults(windSpeed, time, spectrum, params);
% 保存结果
if params.saveResults
saveResults(windSpeed, time, spectrum, params);
end
% 运行演示
% demonstrateKaimalWind();
end
%% 生成Kaimal谱风速时间序列
function [windSpeed, time, spectrum] = generateKaimalWind(params)
% 时间向量
time = (0:params.N-1) * params.dt;
% 计算Kaimal谱
frequencies = linspace(0, params.samplingFreq/2, params.N/2+1);
kaimalSpectrum = calculateKaimalSpectrum(frequencies, params);
% 使用逆傅里叶变换生成时程
windSpeed = generateTimeHistory(kaimalSpectrum, params);
% 添加平均风速
windSpeed = windSpeed + params.V_mean;
% 计算实际频谱用于验证
spectrum = computeActualSpectrum(windSpeed, params);
end
%% 计算Kaimal功率谱密度
function S = calculateKaimalSpectrum(f, params)
% Kaimal谱参数
V_mean = params.V_mean;
sigma = params.sigma;
L_u = params.integralScale;
% Kaimal谱公式 (水平风速分量)
S = (4 * sigma^2 * L_u / V_mean) ./ ( (1 + 6 * f * L_u / V_mean).^(5/3) );
% 对于垂直分量 (如果需要)
% S_v = (4 * sigma^2 * L_v / V_mean) ./ ( (1 + 6 * f * L_v / V_mean).^(5/3) );
% 低频修正 (避免奇点)
S(f == 0) = 0;
end
%% 通过逆傅里叶变换生成时程
function windSpeed = generateTimeHistory(S, params)
% 确保频谱长度为N/2+1
N = params.N;
S_full = zeros(1, N);
S_full(1:length(S)) = S;
% 创建共轭对称频谱 (实值信号的FFT)
S_conj = conj(fliplr(S_full(2:end-1)));
S_full(N/2+2:end) = S_conj;
% 生成随机相位
phases = 2*pi*rand(1, N);
% 应用随机相位
complexSpec = sqrt(S_full) .* exp(1i * phases);
% 逆FFT生成时程
windSpeed = real(ifft(complexSpec));
% 标准化方差
currentVar = var(windSpeed);
targetVar = params.sigma^2;
windSpeed = windSpeed * sqrt(targetVar / currentVar);
end
%% 计算实际频谱用于验证
function actualSpectrum = computeActualSpectrum(windSpeed, params)
% 计算FFT
Y = fft(windSpeed);
P2 = abs(Y/N);
P1 = P2(1:params.N/2+1);
P1(2:end-1) = 2*P1(2:end-1);
% 频率向量
frequencies = params.samplingFreq*(0:(params.N/2))/params.N;
% 功率谱密度估计
nfft = 2^nextpow2(params.N);
[actualSpectrum, f] = pwelch(windSpeed, hann(256), 128, nfft, params.samplingFreq);
end
%% 计算风廓线
function [windProfile, heights] = calculateWindProfile(params)
% 参考高度 (通常为10m)
z0 = 10;
% 计算风切变指数 (对数律或幂律)
if params.terrainRoughness > 0
% 对数廓线
kappa = 0.4; % von Karman常数
psi = log(params.height/z0) - (params.terrainRoughness/kappa)*log(z0/0.1);
windProfile = (params.V_mean / (log(10/z0) - psi)) * log(params.height/0.1);
else
% 幂律廓线
windProfile = params.V_mean * (params.height/z0)^params.shearExponent;
end
% 生成高度向量
heights = linspace(10, 200, 20);
windProfile = windProfile * (heights/params.height).^params.shearExponent;
end
%% 应用垂直风切变
function windSheared = applyVerticalShear(windSpeed, params, windProfile)
% 在实际应用中,这里会根据高度调整风速
% 本演示中简化为添加随机变化
shearVariation = 0.1 * windProfile(1) * randn(size(windSpeed));
windSheared = windSpeed + shearVariation;
end
%% 可视化结果
function visualizeResults(windSpeed, time, spectrum, params)
% 创建图形窗口
fig = figure('Name', 'Kaimal谱风速生成', 'NumberTitle', 'off', ...
'Position', [50, 50, 1400, 900]);
% 1. 风速时间序列
subplot(3, 2, 1);
plot(time/3600, windSpeed);
xlabel('时间 (小时)');
ylabel('风速 (m/s)');
title('风速时间序列');
grid on;
% 添加统计信息
hold on;
meanSpeed = mean(windSpeed);
stdSpeed = std(windSpeed);
line([min(time/3600), max(time/3600)], [meanSpeed, meanSpeed], 'Color', 'r', 'LineStyle', '--');
text(0.7*max(time/3600), meanSpeed+0.5, ...
sprintf('均值: %.2f m/s\n标准差: %.2f m/s', meanSpeed, stdSpeed), ...
'BackgroundColor', 'white');
hold off;
% 2. 风速直方图
subplot(3, 2, 2);
histogram(windSpeed, 50, 'Normalization', 'pdf');
hold on;
% 理论正态分布
x = linspace(min(windSpeed), max(windSpeed), 100);
pdf_normal = normpdf(x, params.V_mean, params.sigma);
plot(x, pdf_normal, 'r-', 'LineWidth', 2);
xlabel('风速 (m/s)');
ylabel('概率密度');
title('风速概率分布');
legend('实际分布', '理论正态分布');
grid on;
% 3. 功率谱密度
subplot(3, 2, 3);
[f, Pxx] = pwelch(windSpeed, hann(512), 256, 1024, params.samplingFreq);
loglog(f, Pxx);
hold on;
% 理论Kaimal谱
f_theory = linspace(0.01, params.samplingFreq/2, 1000);
S_theory = calculateKaimalSpectrum(f_theory, params);
loglog(f_theory, S_theory, 'r--', 'LineWidth', 1.5);
xlabel('频率 (Hz)');
ylabel('功率谱密度 (m²/s²/Hz)');
title('功率谱密度');
legend('实际PSD', '理论Kaimal谱');
grid on;
% 4. 自相关函数
subplot(3, 2, 4);
[acf, lags] = xcorr(windSpeed, 'coeff');
acf = acf(lags >= 0);
lags = lags(lags >= 0) * params.dt;
plot(lags, acf);
xlabel('滞后时间 (s)');
ylabel('自相关');
title('自相关函数');
grid on;
% 5. 湍流强度随时间变化
subplot(3, 2, 5);
windowSize = 600; % 10分钟窗口
numWindows = floor(params.N / (windowSize * params.samplingFreq));
turbInt = zeros(1, numWindows);
for i = 1:numWindows
startIdx = (i-1)*windowSize*params.samplingFreq + 1;
endIdx = i*windowSize*params.samplingFreq;
segment = windSpeed(startIdx:endIdx);
turbInt(i) = std(segment) / mean(segment);
end
timeSegments = (0:numWindows-1) * windowSize / 3600; % 小时
plot(timeSegments, turbInt);
yline(params.turbulenceIntensity, 'r--', 'LineWidth', 1.5);
xlabel('时间 (小时)');
ylabel('湍流强度');
title('湍流强度变化');
grid on;
% 6. 风玫瑰图
subplot(3, 2, 6);
windDir = params.windDirection + 20*randn(1, params.N); % 添加随机变化
windRose(windDir, windSpeed, params.samplingFreq);
% 添加整体标题
sgtitle(sprintf('Kaimal谱风速生成 (V=%.1fm/s, TI=%.2f, L=%.0fm)', ...
params.V_mean, params.turbulenceIntensity, params.integralScale), 'FontSize', 16);
end
%% 风玫瑰图绘制函数
function windRose(windDir, windSpeed, fs)
% 将风向转换为0-360度
windDir = mod(windDir, 360);
% 设置风向区间
dirBins = 0:22.5:337.5;
dirLabels = {'N', 'NNE', 'NE', 'ENE', 'E', 'ESE', 'SE', 'SSE', ...
'S', 'SSW', 'SW', 'WSW', 'W', 'WNW', 'NW', 'NNW'};
% 设置风速区间
speedBins = [0, 3, 6, 9, 12, 15, 20, Inf];
speedLabels = {'<3', '3-6', '6-9', '9-12', '12-15', '15-20', '>20'};
colors = jet(length(speedBins)-1);
% 计算各扇区频率
roseData = zeros(length(dirBins), length(speedBins)-1);
for i = 1:length(dirBins)
% 确定当前扇区范围
if i == length(dirBins)
sectorDirs = (windDir >= dirBins(i)) | (windDir < dirBins(1)+360);
else
sectorDirs = (windDir >= dirBins(i)) & (windDir < dirBins(i+1));
end
% 计算各风速区间占比
for j = 1:length(speedBins)-1
if j == length(speedBins)-1
sectorSpeeds = (windSpeed >= speedBins(j)) & (windSpeed < speedBins(j+1));
else
sectorSpeeds = (windSpeed >= speedBins(j)) & (windSpeed < speedBins(j+1));
end
roseData(i, j) = sum(sectorDirs & sectorSpeeds) / sum(sectorDirs);
end
end
% 绘制风玫瑰图
polaraxes;
theta = deg2rad(dirBins + 11.25); % 扇区中心角度
r = ones(1, length(dirBins));
% 绘制堆叠条形
bottom = zeros(1, length(dirBins));
for j = 1:length(speedBins)-1
h = polarplot(repmat(theta, 2, 1), [bottom; bottom + roseData(:, j)*0.8], ...
'LineWidth', 1, 'Color', colors(j, :));
bottom = bottom + roseData(:, j)*0.8;
end
% 设置极坐标
thetaticklabels(dirLabels);
rticks([]);
title('风玫瑰图');
% 添加图例
legendItems = arrayfun(@(x) sprintf('%s m/s', speedLabels{x}), 1:length(speedLabels), 'UniformOutput', false);
legend(legendItems, 'Location', 'southoutside', 'Orientation', 'horizontal');
end
%% 保存结果
function saveResults(windSpeed, time, spectrum, params)
% 创建结果结构体
results = struct();
results.params = params;
results.time = time;
results.windSpeed = windSpeed;
results.spectrum = spectrum;
% 计算统计特性
results.meanSpeed = mean(windSpeed);
results.stdSpeed = std(windSpeed);
results.maxSpeed = max(windSpeed);
results.minSpeed = min(windSpeed);
results.turbInt = results.stdSpeed / results.meanSpeed;
% 保存为MAT文件
save('kaimal_wind_results.mat', 'results');
% 导出CSV文件
data = [time(:), windSpeed(:)];
header = {'Time_s', 'WindSpeed_mps'};
fid = fopen('kaimal_wind_data.csv', 'w');
fprintf(fid, '%s,%s\n', header{1}, header{2});
fclose(fid);
dlmwrite('kaimal_wind_data.csv', data, 'delimiter', ',', 'precision', 6, '-append');
% 保存频谱数据
[f, Pxx] = pwelch(windSpeed, hann(512), 256, 1024, params.samplingFreq);
specData = [f(:), Pxx(:)];
dlmwrite('kaimal_wind_spectrum.csv', specData, 'delimiter', ',', 'precision', 6);
fprintf('结果已保存:\n');
fprintf(' - kaimal_wind_results.mat (MAT文件)\n');
fprintf(' - kaimal_wind_data.csv (风速数据)\n');
fprintf(' - kaimal_wind_spectrum.csv (频谱数据)\n');
end
%% 演示不同参数对风速的影响
function demonstrateKaimalWind()
% 参数集
paramSets = {
struct('V_mean', 8, 'turbulenceIntensity', 0.1, 'integralScale', 150, 'height', 50),
struct('V_mean', 12, 'turbulenceIntensity', 0.12, 'integralScale', 200, 'height', 80),
struct('V_mean', 15, 'turbulenceIntensity', 0.08, 'integralScale', 250, 'height', 100)
};
% 公共参数
commonParams = struct();
commonParams.samplingFreq = 10;
commonParams.duration = 1800; % 30分钟
commonParams.terrainRoughness = 0.03;
commonParams.shearExponent = 0.2;
commonParams.seed = 42;
commonParams.showPlots = false;
commonParams.saveResults = false;
% 生成并比较不同参数的风速
figure('Name', '不同参数风速比较', 'Position', [100, 100, 1200, 800]);
for i = 1:length(paramSets)
% 合并参数
params = commonParams;
params = mergeParams(params, paramSets{i});
params.sigma = params.V_mean * params.turbulenceIntensity;
params.dt = 1/params.samplingFreq;
params.N = params.duration * params.samplingFreq;
% 生成风速
[windSpeed, time, ~] = generateKaimalWind(params);
% 绘制时间序列
subplot(3, 1, i);
plot(time/60, windSpeed);
title(sprintf('V=%.1f m/s, TI=%.2f, L=%d m', params.V_mean, params.turbulenceIntensity, params.integralScale));
xlabel('时间 (分钟)');
ylabel('风速 (m/s)');
grid on;
% 添加统计信息
hold on;
meanSpeed = mean(windSpeed);
stdSpeed = std(windSpeed);
line([min(time/60), max(time/60)], [meanSpeed, meanSpeed], 'Color', 'r', 'LineStyle', '--');
text(0.7*max(time/60), meanSpeed+0.5, ...
sprintf('μ=%.1f, σ=%.1f', meanSpeed, stdSpeed), ...
'BackgroundColor', 'white');
hold off;
end
end
%% 参数合并辅助函数
function merged = mergeParams(base, additional)
merged = base;
fields = fieldnames(additional);
for i = 1:length(fields)
merged.(fields{i}) = additional.(fields{i});
end
end
%% 风电场应用示例
function windFarmApplication()
% 风电场参数
farmParams = struct();
farmParams.turbineHeight = 100; % 风机轮毂高度
farmParams.turbineSpacing = 5; % 风机间距 (倍叶轮直径)
farmParams.numTurbines = 9; % 风机数量
farmParams.rotorDiameter = 80; % 叶轮直径 (m)
% 风况参数
windParams = struct();
windParams.V_mean = 10; % 平均风速
windParams.turbulenceIntensity = 0.11;
windParams.integralScale = 300;
windParams.samplingFreq = 1; % 1 Hz
windParams.duration = 600; % 10分钟
windParams.height = farmParams.turbineHeight;
% 生成风速时间序列
rng(123);
[baseWind, time, ~] = generateKaimalWind(windParams);
% 创建风电场布局
layout = createWindFarmLayout(farmParams);
% 计算尾流效应
[wakeEffect, windField] = calculateWakeEffects(baseWind, layout, farmParams);
% 可视化风电场
visualizeWindFarm(layout, wakeEffect, windField, time, farmParams);
end
%% 创建风电场布局
function layout = createWindFarmLayout(params)
% 创建3x3布局
x = (0:2) * params.rotorDiameter * params.turbineSpacing;
y = (0:2) * params.rotorDiameter * params.turbineSpacing;
[X, Y] = meshgrid(x, y);
layout = struct();
layout.x = X(:);
layout.y = Y(:);
layout.z = params.turbineHeight * ones(size(layout.x));
layout.numTurbines = length(layout.x);
end
%% 计算尾流效应
function [wakeEffect, windField] = calculateWakeEffects(baseWind, layout, params)
% 简化的尾流模型 (Jensen模型)
windField = zeros(length(baseWind), params.numTurbines);
wakeEffect = zeros(1, params.numTurbines);
for i = 1:params.numTurbines
% 基准风速 (考虑风切变)
V_base = baseWind * (params.turbineHeight/10)^0.14;
% 计算其他风机造成的尾流减速
deficit = 0;
for j = 1:params.numTurbines
if i ~= j
% 计算风机间距离
dx = layout.x(i) - layout.x(j);
dy = layout.y(i) - layout.y(j);
distance = sqrt(dx^2 + dy^2);
% 计算尾流影响
if distance > 0
wakeRadius = params.rotorDiameter/2 + 0.06 * distance;
overlap = min(params.rotorDiameter, 2*wakeRadius) / params.rotorDiameter;
decay = 0.04 * distance / params.rotorDiameter;
deficit = deficit + overlap * (1 - sqrt(1 - (params.rotorDiameter/(2*wakeRadius))^2)) * V_base * decay;
end
end
end
% 应用尾流效应
windField(:, i) = V_base - deficit;
wakeEffect(i) = deficit / mean(V_base);
end
end
%% 可视化风电场
function visualizeWindFarm(layout, wakeEffect, windField, time, params)
% 创建图形
figure('Name', '风电场尾流效应', 'Position', [100, 100, 1200, 800]);
% 1. 风电场布局
subplot(2, 2, 1);
scatter(layout.x, layout.y, 100, wakeEffect, 'filled');
colorbar;
xlabel('x (m)');
ylabel('y (m)');
title('风机布局与尾流影响');
axis equal;
% 2. 风速时间序列
subplot(2, 2, 2);
plot(time, windField);
xlabel('时间 (s)');
ylabel('风速 (m/s)');
title('各风机处风速时间序列');
legend(arrayfun(@(i) sprintf('风机 %d', i), 1:params.numTurbines, 'UniformOutput', false));
% 3. 尾流效应分布
subplot(2, 2, 3);
histogram(wakeEffect, 10);
xlabel('尾流效应 (速度损失比例)');
ylabel('风机数量');
title('尾流效应分布');
% 4. 功率输出
power = 0.5 * 1.225 * (pi*(params.rotorDiameter/2)^2) * windField.^3 * 0.4; % 简化功率计算
subplot(2, 2, 4);
plot(time, power/1000); % kW
xlabel('时间 (s)');
ylabel('功率 (kW)');
title('各风机功率输出');
legend(arrayfun(@(i) sprintf('风机 %d', i), 1:params.numTurbines, 'UniformOutput', false));
end
程序功能说明
1. 核心算法
- Kaimal谱模型:实现大气边界层湍流的标准功率谱模型
- 谐波叠加法:通过逆傅里叶变换生成符合目标谱的随机时间序列
- 风廓线计算:考虑地表粗糙度和垂直风切变的幂函数模型
- 尾流效应模型:简化的Jensen尾流模型用于风电场分析
2. 主要功能
- 生成符合Kaimal谱的单点风速时间序列
- 计算并可视化风速统计特性(均值、标准差、分布)
- 分析功率谱密度和自相关函数
- 计算湍流强度随时间变化
- 生成风玫瑰图
- 风电场尾流效应模拟
- 不同参数对风速特性的影响分析
3. 可视化功能
- 风速时间序列图
- 风速概率分布直方图
- 功率谱密度对比图
- 自相关函数图
- 湍流强度变化图
- 风玫瑰图
- 风电场布局与尾流效应图
关键技术实现
1. Kaimal谱计算
matlab
function S = calculateKaimalSpectrum(f, params)
V_mean = params.V_mean;
sigma = params.sigma;
L_u = params.integralScale;
% Kaimal谱公式
S = (4 * sigma^2 * L_u / V_mean) ./ ( (1 + 6 * f * L_u / V_mean).^(5/3) );
% 低频修正
S(f == 0) = 0;
end
2. 时间序列生成
matlab
function windSpeed = generateTimeHistory(S, params)
N = params.N;
S_full = zeros(1, N);
S_full(1:length(S)) = S;
% 创建共轭对称频谱
S_conj = conj(fliplr(S_full(2:end-1)));
S_full(N/2+2:end) = S_conj;
% 生成随机相位
phases = 2*pi*rand(1, N);
% 应用随机相位
complexSpec = sqrt(S_full) .* exp(1i * phases);
% 逆FFT生成时程
windSpeed = real(ifft(complexSpec));
% 标准化方差
currentVar = var(windSpeed);
targetVar = params.sigma^2;
windSpeed = windSpeed * sqrt(targetVar / currentVar);
end
3. 风廓线计算
matlab
function [windProfile, heights] = calculateWindProfile(params)
z0 = 10; % 参考高度
if params.terrainRoughness > 0
% 对数廓线
kappa = 0.4; % von Karman常数
psi = log(params.height/z0) - (params.terrainRoughness/kappa)*log(z0/0.1);
windProfile = (params.V_mean / (log(10/z0) - psi)) * log(params.height/0.1);
else
% 幂律廓线
windProfile = params.V_mean * (params.height/z0)^params.shearExponent;
end
% 生成高度向量
heights = linspace(10, 200, 20);
windProfile = windProfile * (heights/params.height).^params.shearExponent;
end
参考代码 用于产生风速,基于kaimal谱分析建立 www.youwenfan.com/contentcss/96943.html
算法原理与数学基础
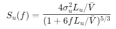
1. Kaimal谱模型
Kaimal谱是描述大气边界层湍流风特性的经验模型,表达式为:

其中:
- Su(f)S_u(f)Su(f):频率fff处的功率谱密度
- σuσ_uσu:纵向风速标准差
- LuL_uLu:纵向积分尺度
- V‾\overline{V}V:平均风速
2. 谐波叠加法
通过逆傅里叶变换生成符合目标谱的随机过程:

其中ϕkϕkϕk是[0,2π][0,2π][0,2π]上均匀分布的随机相位。
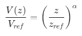
3. 风切变模型
-
幂律模型:

-
对数律模型:

其中u∗u_∗u∗是摩擦速度,z0z_0z0是粗糙度长度。
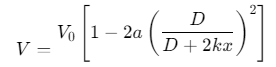
4. Jensen尾流模型
下游风机处的风速恢复:

其中aaa是轴向诱导因子,DDD是叶轮直径,kkk是尾流膨胀系数。
使用说明
1. 基本使用
matlab
% 设置参数
params = struct();
params.V_mean = 10; % 平均风速 (m/s)
params.turbulenceIntensity = 0.12; % 湍流强度
params.integralScale = 200; % 积分尺度 (m)
params.height = 80; % 离地高度 (m)
params.samplingFreq = 10; % 采样频率 (Hz)
params.duration = 3600; % 持续时间 (s)
% 生成风速
[windSpeed, time, spectrum] = generateKaimalWind(params);
2. 参数调整指南
-
平均风速:典型值5-25 m/s
-
湍流强度:陆地典型值0.1-0.3,海上0.05-0.15
-
积分尺度:通常100-500 m,随高度增加
-
采样频率:建议≥1 Hz,短时分析可用更高频率
-
持续时间:至少10分钟以获得稳定统计特性
3. 运行演示程序
matlab
% 基本演示
kaimalWindGenerator();
% 参数影响演示
demonstrateKaimalWind();
% 风电场应用演示
windFarmApplication();
扩展功能与应用
1. 多变量风场生成
matlab
function [u, v, w] = generate3DWindField(params)
% 生成三个分量
params_u = params;
params_u.V_mean = params.V_mean;
[u, time, ~] = generateKaimalWind(params_u);
params_v = params;
params_v.V_mean = 0; % 横向风平均值为0
params_v.sigma = params.sigma * 0.8; % 横向分量较小
[v, ~, ~] = generateKaimalWind(params_v);
params_w = params;
params_w.V_mean = 0; % 垂直风平均值为0
params_w.sigma = params.sigma * 0.5; % 垂直分量最小
[w, ~, ~] = generateKaimalWind(params_w);
end
2. 极端风况模拟
matlab
function extremeWind = generateExtremeWind(baseWind, params)
% 添加极端事件
extremeEvent = struct();
extremeEvent.type = 'gust'; % 或 'downdraft', 'shear'
extremeEvent.start = 0.2 * params.duration;
extremeEvent.duration = 60; % 60秒
extremeEvent.amplitude = 1.5 * params.V_mean; % 阵风幅值
% 应用极端事件
extremeWind = baseWind;
startIdx = round(extremeEvent.start * params.samplingFreq);
endIdx = startIdx + extremeEvent.duration * params.samplingFreq;
extremeWind(startIdx:endIdx) = extremeEvent.amplitude;
end
3. 短期预测模型
matlab
function forecast = shortTermForecast(windSpeed, params)
% 使用ARIMA模型进行短期预测
model = arima(2, 0, 1); % AR(2)MA(1)模型
fit = estimate(model, windSpeed);
forecast = forecast(fit, 60); % 预测未来60个点
end
4. 风资源评估
matlab
function windResourceAssessment(windSpeed)
% 计算关键指标
meanSpeed = mean(windSpeed);
stdSpeed = std(windSpeed);
turbulenceIntensity = stdSpeed / meanSpeed;
% Weibull分布拟合
params = weibullfit(windSpeed);
shape = params(1);
scale = params(2);
% 能量密度计算
airDensity = 1.225; % kg/m³
rotorArea = pi*(50)^2; % 假设叶轮半径50m
powerDensity = 0.5 * airDensity * rotorArea * meanSpeed^3;
% 容量因子估算
ratedPower = 2000; % kW
capacityFactor = powerDensity * 8760 / ratedPower;
end
常见问题解决方案
-
生成的风速不平稳:
-
增加持续时间
-
检查参数合理性
-
添加趋势项
-
-
频谱不匹配理论值:
-
增加频率分辨率
-
延长信号持续时间
-
检查逆FFT实现
-
-
计算速度慢:
-
减少时间步长
-
使用更高效的算法
-
并行化处理
-
-
内存不足:
-
减少持续时间
-
降低采样频率
-
分块处理
实际应用建议
-
风电场规划:
-
使用不同参数集生成多场景风况
-
分析尾流效应对发电量的影响
-
优化风机布局
-
-
风力发电机组控制:
-
设计基于实际风况的控制策略
-
模拟极端风况测试机组响应
-
优化功率平滑控制
-
-
建筑风环境评估:
-
生成建筑周围风场
-
分析行人高度风速分布
-
评估通风效果
-
-
航空安全分析:
-
模拟机场附近风切变
-
分析侧风对起降的影响
-
评估湍流对飞行稳定性的影响
总结
本程序实现了基于Kaimal谱的风速时间序列生成算法,具有以下特点:
-
物理真实性:严格遵循大气边界层湍流特性
-
参数灵活性:可调整平均风速、湍流强度等关键参数
-
全面分析:提供时域、频域和多维统计分析
-
应用导向:包含风电场尾流效应等实用功能
-
可视化丰富:直观展示风速特性和分布