1、特征值、特征向量的定义
是个n阶矩阵,
是一个数,存在一个非零向量
,使得
那么称是
的特征值,
是
的对应与特征值
的特征向量。
1.1、如何求解特征值和特征向量 
是特征方程,可以求出
例题:
,求特征值和特征向量
解:
,解出
,再带入求出特征向量;
我们列举一下为10的特征向量例子
把10带入,得到矩阵
现在我们要把这个矩阵化简为行阶梯矩阵,由于这个矩阵是带入特征值,所以它一定不是满秩的,我们可以看出它的秩就是2,直接把一行写成0,再进行化简就简单多了。
1.2、如何快速求解特征方程的根
①我们直接使用特征值的性质提取出一个公因子
②看出0,1,-1,2,-2这些显然的因子,然后再使用多项式的带余除法
③如果多项式的系数都是整数,则有理根一定都是整数,且均是常数项的因子
2、特征值的性质
①是
的特征值
,如果给了
,可以带入求
中的未知数。
②若则
是
的特征值
③若是
的特征值,则
证明:
、
、
3、特征向量的性质
①是
的属于
的特征向量
是
的非零解。可以用来求A中的未知数
②重特征值
至多只有
个线性无关的特征向量(其次方程的基础解系数量为k)。
③若是
的属于不同特征值
、
的特征向量,则
线性无关。
④若是
的属于不同特征值
、
的特征向量,则当
,
不是
的任何特征值的特征向量。(常考
情形)
⑤ 一个特征向量是不能属于两个不同的特征值的。
4、常用矩阵的特征值和特征向量
①,由于
,所以伴随矩阵的特征值等于任意两个特征值的乘积。
②
③的特征值还是
,但是特征向量需要重新计算。
对于一个秩为1的矩阵,其特征值
证明:
因为,所以
,则
,故0为
的特征值。
,根据前面的特征向量的性质,0至少为n-1重根。
5、矩阵的相似(重点)
定义:设是两个
阶方阵,若存在
阶可逆矩阵
,使得
,则称
相似于
,记成
5.1、相似矩阵的性质
这些性质即使全满足也不能推出两个矩阵是相似的,还需要从定义出发
①
②
③;由下面的④推过来
④(或
)
⑤
⑥各阶主子式之和分别相等
5.2、重要结论
①若,则



对于除转置外的相似,他们用的都是相同的手段,即P相同。
②若,则

5.3、如何证明两个矩阵相似
①定义法:找出P使得,
②传递法(后面重点):,则
③性质(只能证否)
6、矩阵的相似对角化
若存在n阶可逆矩阵P,使得,其中B是对角矩阵 ,则称A可相似对角化,记作
,称B是A的相似标准型
6.1相似对角化的条件
①A可以相似对角化A有n个线性无关的特征向量

②A可以相似对角化A对应于每个
重特征值都有
个线性无关的特征向量
③n阶矩阵A有n个不同的特征向量A可以相似对角化
④n阶矩阵A为实对称矩阵A可以相似对角化(后面证明)
6.2、求可逆矩阵P,使得
①求的特征值**
**
②求n个特征值对应的线性无关的特征向量
③令,则
6.3、判别一个矩阵是否相似于对角矩阵
①判断是否是实对称矩阵,实对称矩阵必相似于对角矩阵
②特征值是否都是实单根
③特征值是重根,若对应有
个线性无关的特征向量,则相似于对角矩阵;若对应的线性无关的特征向量少于
个,则不能相似于对角矩阵。
回顾之前的结论,
无论对于A,B是否可逆都满足
6.4、可以求解哪些问题
①求一个矩阵的高次幂
②已知特征值和特征向量,可以求A矩阵
7、实对称矩阵的相似对角化
7.1、实对称矩阵的性质
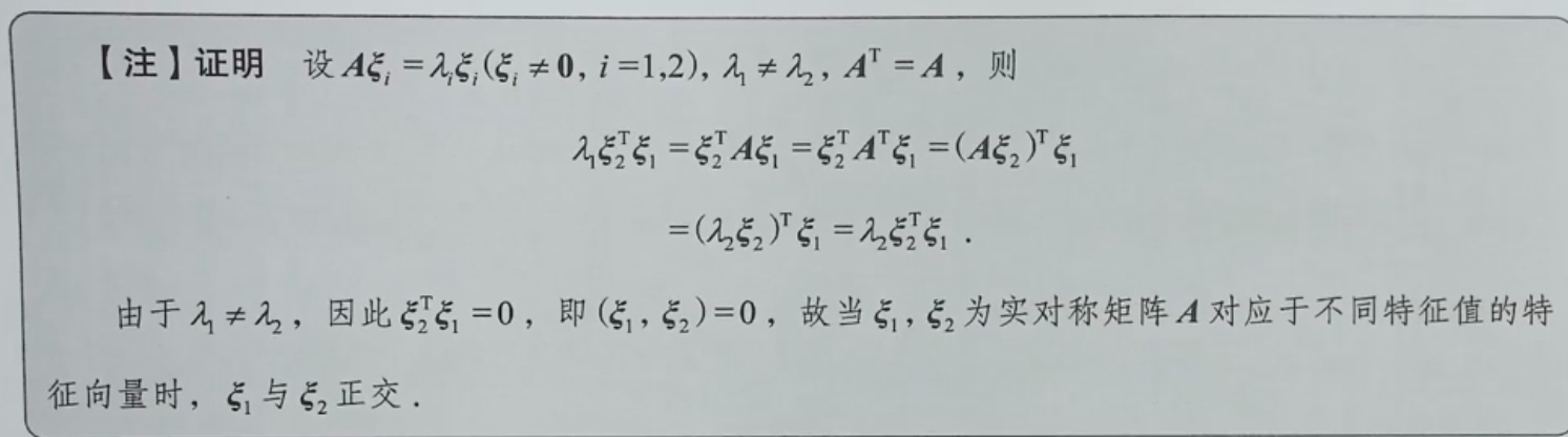
①实对称矩阵的不同特征值的特征向量正交。 
②相同特征值的特征向量可能正交 也可能线性无关
③对于任意的阶实对称矩阵
,存在
阶正交矩阵
,使得
这里的是
的特征向量**正交化、单位化(其实只有特征值相同的需要)**后的矩阵;这里因为特征值相同时,把两个向量正交,依然是原来的空间,所以不影响。
实对称矩阵一定可以通过正交矩阵相似对角化,普通矩阵一定不能。 
7.2、实对称矩阵相似对角化的基本步骤
①求的特征值**
**
②求特征值对应的特征向量
③将正交化(若需要的话)、单位化为
④令 ,则
为正交矩阵,且
施密特正交化公式:
设线性无关但不正交,令
