题目描述
给你一个链表,两两交换其中相邻的节点,并返回交换后链表的头节点。你必须在不修改节点内部的值的情况下完成本题(即,只能进行节点交换)。
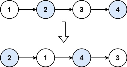
示例 1:

输入:head = [1,2,3,4]
输出:[2,1,4,3]
示例 2:
输入:head = []
输出:[]
示例 3:
输入:head = [1]
输出:[1]
提示:
- 链表中节点的数目在范围
[0, 100]内 0 <= Node.val <= 100
解题思路
注意prev指针要正确指向下一组nextPair


代码
java
/**
* Definition for singly-linked list.
* public class ListNode {
* int val;
* ListNode next;
* ListNode() {}
* ListNode(int val) { this.val = val; }
* ListNode(int val, ListNode next) { this.val = val; this.next = next; }
* }
*/
class Solution {
public ListNode swapPairs(ListNode head) {
ListNode cur = head;
// 边缘条件判断
if(head == null || cur.next == null){
return head;
}
// 重置头结点
head = cur.next;
// 记录下一组
ListNode nextPair = cur.next.next;
// 记录prev指针
ListNode prev = cur;
cur.next.next = cur;
cur.next = nextPair;
// 跳至下一组
cur = nextPair;
// 若组不成一组不需要反转
while(nextPair != null && cur.next != null){
prev.next = cur.next;
prev = cur;
nextPair = cur.next.next;
cur.next.next = cur;
cur.next = nextPair;
cur = nextPair;
}
return head;
}
}