理解这三者的区别,核心在于理解**"时间分辨率"和"频率分辨率"**之间的博弈。
在分析真实的物理信号(例如在硬件测试中捕捉到的波形,或者复杂系统中的驱动信号)时,我们不仅想知道信号里包含哪些频率成分,往往还必须确切地知道这些频率成分是什么时候发生的。
这三种变换代表了信号处理领域为了解决这个"时频定位"问题所经历的三个进化阶段。
1. 傅里叶变换 (Fourier Transform, FT)
核心思想:全局化分析。将信号分解为无数个无限长的正弦波和余弦波。
-
优点: 具有完美的频率分辨率。你能极其精确地知道信号中包含了哪些频率成分及其能量大小。
-
致命弱点: 完全丧失了时间信息。 因为正弦波在时间上是无限延伸的,当你把信号转换到频域后,你只能看到频率的统计结果,根本无法知道某个频率突变是发生在第 1 秒还是第 10 秒。
-
数学表达:

-
适用场景: 极其适合分析平稳信号(频率特征不随时间变化的信号)。例如,在评估电路板电源完整性时,分析电源纹波中的基础开关频率和稳态谐波。
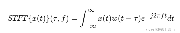
2. 短时傅里叶变换 (Short-Time Fourier Transform, STFT)
核心思想:加窗的傅里叶变换。既然 FT 无法定位时间,那我就把长信号切成一段段短信号(加窗),对每一小段分别做 FT。
-
优点: 引入了时间维度,生成了时频图(Spectrogram)。你终于可以大致知道哪些频率出现在哪个时间段了。
-
致命弱点: 窗口大小是固定的,导致"海森堡测不准原理"。
-
如果你用宽窗口:包含的数据多,频率分辨率高,但时间分辨率极差(你只知道这个频率在这个宽窗口内出现过,不知道确切瞬间)。
-
如果你用窄窗口:时间定位准了,但由于数据量太少,频率分辨率会急剧下降,低频信号根本无法分辨。
-
-
数学表达: (w 为窗函数,τ 为时间平移量)

-
适用场景: 适合分析频率随时间缓慢变化的信号(如语音信号、缓慢扫频信号)。
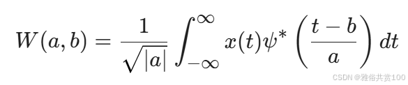
3. 小波变换 (Wavelet Transform, WT)
核心思想:多分辨率分析。彻底抛弃无限长的正弦波,改用一个衰减迅速、长度有限的"小波"(Wavelet)作为基函数,并且让这个小波可以自由地"伸缩"和"平移"。
-
优点: 完美解决了 STFT 窗口固定的痛点,实现了动态自适应窗口:
-
对于高频信号 (通常是转瞬即逝的毛刺或突变),小波会自动"收缩"变得很窄,提供极高的时间分辨率,精准定位突变发生的时间点。
-
对于低频信号 (通常是缓慢的全局趋势),小波会自动"拉伸"变得很宽,提供极高的频率分辨率。
-
-
数学表达: (a 为缩放/尺度因子,对应频率的倒数;b 为平移因子,对应时间)

-
适用场景: 极其适合分析非平稳信号。在复杂的波形工程中,或者在调试多通道高速采集系统时,如果需要精确定位纳秒/微秒级的瞬态干扰(高频毛刺)同时又不丢失信号的低频包络特征,小波变换是最佳选择。
|-----------|----------------|--------------------|----------------|
| 特性 | 傅里叶变换 (FT) | 短时傅里叶变换 (STFT) | 小波变换 (WT) |
| 基函数 | 无限长的正弦/余弦波 | 加窗的正弦/余弦波 | 长度有限、可伸缩的小波 |
| 时间分辨率 | 无 (0) | 固定 (取决于窗口大小) | 动态 (高频时高,低频时低) |
| 频率分辨率 | 极高 (理想状态) | 固定 (与时间分辨率互斥) | 动态 (高频时低,低频时高) |
| 最擅长捕捉 | 稳态的全局频率特征 | 缓慢变化的频率 | 瞬态的突发信号、毛刺、边缘 |
[核心对比总结表]