
二阶与三阶贝塞尔曲线详解(含 De Casteljau 与公式推导)
在 UI 动画、路径规划、字体渲染、Unity 动画曲线中,我们几乎每天都在使用一种"看似简单但极其强大"的工具------贝塞尔曲线(Bezier Curve)。
但很多开发者对它的理解停留在:
"就是几个点拉一条弯曲的线"
实际上,贝塞尔曲线背后是一套非常优雅的数学与几何体系。
这篇文章将带你从直觉 → 构造 → 数学 → 工程理解,彻底掌握:
- 二阶贝塞尔曲线
- 三阶贝塞尔曲线(重点)
- De Casteljau 算法(核心思想)
- 通用数学公式(Bernstein 表达)
一、从线性插值开始(所有贝塞尔的根)
在进入贝塞尔曲线之前,我们先理解一个最基础的操作:
线性插值(Lerp)
给定两个点:
- (P_0)
- (P_1)
定义一个参数 (t∈ [0,1]),则:

含义是:
- (t = 0) → 在 (P_0)
- (t = 1) → 在 (P_1)
- 中间值 → 在两点之间移动
这就是所有贝塞尔曲线的"原子操作"
二、二阶贝塞尔曲线:三点生成平滑曲线
2.1 三个点如何生成一条曲线?
二阶贝塞尔曲线由三个点定义:
- (P_0):起点
- (P_1):控制点
- (P_2):终点
关键问题:
如何从三个点生成一条"弯曲"的曲线?
2.2 De Casteljau 算法(核心思想)
我们不用公式,直接用"构造过程"理解。
Step 1:两两插值
对两段做插值:

Step 2:再插一次

这个 (B(t)) 就是曲线上的点
2.3 直觉理解(非常重要)
可以这样理解:
- 第一层:连接控制点形成"折线"
- 第二层:在折线上滑动
- 第三层:再连接一次
最终:
得到一条"平滑曲线"
2.4 二阶贝塞尔公式推导
将插值公式展开:

权重解释:
| 点 | 权重 |
|---|---|
| P0 | ((1-t)^2) |
| P1 | (2(1-t)t) |
| P2 | (t^2) |
本质:加权平均
2.5 几何特性
-
曲线一定经过:
- (P_0)
- (P_2)
-
不一定经过:
- (P_1)
-
曲线始终在三点构成的三角形内部(凸包性质)
三、三阶贝塞尔曲线:工程中的主角
3.1 为什么三阶最常用?
三阶贝塞尔曲线使用四个点:
- (P_0):起点
- (P_1):起点切线控制
- (P_2):终点切线控制
- (P_3):终点
优势:
- 可以控制起点方向
- 可以控制终点方向
- 表达能力强
- 计算成本低
所以被广泛用于:
- CSS
cubic-bezier - Unity AnimationCurve
- SVG Path
3.2 De Casteljau 三阶构造
构造过程:
第一层

第二层

第三层

3.3 控制点真正的作用(重点理解)
很多人误解:
控制点在曲线上
其实:
控制点决定的是"方向和速度"
更准确理解:
- P1:控制起点的"出发方向"
- P2:控制终点的"进入方向"
曲线的切线:
- 在 P0:方向为 (P1 - P0)
- 在 P3:方向为 (P3 - P2)
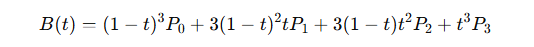
3.4 三阶公式
展开后得到:

和二阶一样,本质仍是加权平均
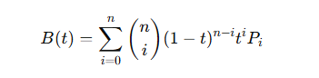
四、通用贝塞尔公式(统一理解)
4.1 一般形式
对于 n 阶贝塞尔曲线:

4.2 关键组成
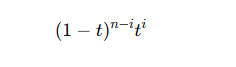
二项式系数

Bernstein 基函数

作用:
- 控制每个点的影响权重
- 保证平滑变化
4.3 非常重要的性质
权重和为 1

保证是"加权平均"
非负性
所有权重 ≥ 0
曲线不会"飞出去"
凸包性质
曲线始终在控制点构成的区域内
非常适合做动画与路径
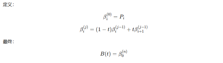
五、De Casteljau 算法(更深一层)
5.1 递归定义

5.2 为什么它很重要?
相比直接用公式:
优点:
- 数值稳定(避免浮点误差)
- 易实现(只用 lerp)
- 可扩展(任意阶)
5.3 曲线分割(工程非常重要)
De Casteljau 还能做:
曲线拆分
在某个 (t):
- 左半段 = 一条贝塞尔
- 右半段 = 一条贝塞尔
用途:
- 曲线细分(渲染)
- 路径动画分段
- 碰撞检测
六、小结
贝塞尔曲线本质上就是:
对控制点做"逐层线性插值"
或者从数学角度:
对控制点做"参数化加权平均"