我们学习了二叉搜索树,但它存在一个致命缺陷 ------ 极端情况下会退化为单支树,导致增删查效率从 O(logN) 退化到 O(N)。今天我们就来学习解决这个问题的方案 ------AVL 树,它是最早的自平衡二叉搜索树,通过自动调整结构保持平衡,确保高效操作。
一、AVL 树的概念
AVL 树是一种自平衡二叉搜索树,得名于发明者 G. M. Adelson-Velsky 和 E. M. Landis(1962 年提出)。它的核心定义的是:
- 要么是一棵空树;
- 要么左右子树都是 AVL 树,且左右子树的高度差的绝对值不超过 1。
关键概念:平衡因子(Balance Factor, BF)
为了方便判断树的平衡状态,我们给每个节点引入平衡因子:
- 平衡因子 = 右子树高度 - 左子树高度;(一般情况下是这个,也可以左-右)
- 合法的 AVL 树节点,平衡因子只能是 -1、0、1(对应左子树高、左右等长、右子树高)。
AVL 树的核心价值
AVL 树的高度能稳定控制在 logN 级别(与完全二叉树类似),因此增删查改的时间复杂度始终保持 O(logN),从根本上解决了普通二叉搜索树的退化问题。

二、AVL树的实现
AVL树的结构
cpp
template<class K, class V>
struct AVLTreeNode
{
pair<K, V> _kv;
AVLTreeNode<K, V>* _left;
AVLTreeNode<K, V>* _right;
AVLTreeNode<K, V>* _parent;// 需要parent指针,后续更新平衡因⼦可以看到
int _bf; // balance factor
AVLTreeNode(const pair<K, V>& kv)
:_kv(kv)
, _left(nullptr)
, _right(nullptr)
, _parent(nullptr)
,_bf(0)
{}
};
template<class K, class V>
class AVLTree
{
typedef AVLTreeNode<K, V> Node;
public:
//...
private:
Node* _root=nullptr;
};
AVL树的插⼊
AVL树插⼊⼀个值的⼤概过程
-
插⼊⼀个值按⼆叉搜索树规则进⾏插⼊。
-
新增结点以后,只会影响祖先结点的⾼度,也就是可能会影响部分祖先结点的平衡因⼦,所以更新 从新增结点->根结点路径上的平衡因⼦,实际中最坏情况下要更新到根,有些情况更新到中间就可 以停⽌了,具体情况我们下⾯再详细分析。
-
更新平衡因⼦过程中没有出现问题,则插⼊结束。
-
更新平衡因⼦过程中出现不平衡,对不平衡⼦树旋转,旋转后本质调平衡的同时,本质降低了⼦树 的⾼度,不会再影响上⼀层,所以插⼊结束。
平衡因⼦更新
1.平衡因⼦=右⼦树⾼度-左⼦树⾼度
2.只有⼦树⾼度变化才会影响当前结点平衡因⼦。
-
插⼊结点,会增加⾼度,所以新增结点在parent的右⼦树,parent的平衡因⼦++,新增结点在 parent的左⼦树,parent平衡因⼦--。
-
parent所在⼦树的⾼度是否变化决定了是否会继续往上更新。
更新停⽌条件:
1.更新后的parent的平衡因子为0,说明它的高度不变。
2.更新后的parent的平衡因子为1或-1,就要继续往上更新。
3.更新后的parent的平衡因子为-2或2,说明,破坏了平衡,parent所在的⼦树不符合平衡要求,需要旋转处理,旋转的⽬标有两个:1、把 parent⼦树旋转平衡。2、降低parent⼦树的⾼度,恢复到插⼊结点以前的⾼度。所以旋转后也不 需要继续往上更新,插⼊结束。
4.不断更新,更新到根,跟的平衡因⼦是1或-1也停⽌了。
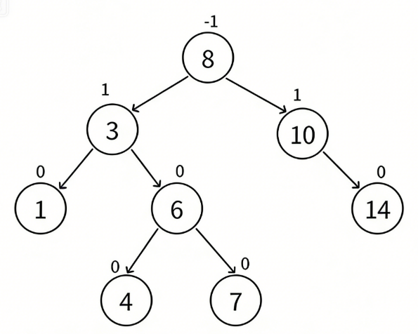
示例:
1.更新到中间结点,3为根的⼦树⾼度不变,不会影响上⼀层,更新结束。

2.最坏情况:更新到根节点为止。

3.更新到10结点,平衡因⼦为2,10所在的⼦树已经不平衡,需要旋转处理。

插入及平衡因子更新的代码实现:
cpp
#include<iostream>
#include<assert.h>
using namespace std;
template<class K,class V>
struct AVLTreeNode
{
pair<K, V> _kv;
AVLTreeNode<K, V>* _left;
AVLTreeNode<K, V>* _right;
AVLTreeNode<K, V>* _parent;
int _bf;//平衡因子
AVLTreeNode(const pair<K, V>& kv)
:_kv(kv)
, _left(nullptr)
, _right(nullptr)
, _parent(nullptr)
, _bf(0)
{}
};
template<class K, class V>
class AVLTree
{
typedef AVLTreeNode<K, V> Node;
public:
bool insert(const pair<K, V>& kv)
{
if (_root == nullptr)
{
_root = new Node(kv);
return true;
}
Node* parent = nullptr;
Node* cur = _root;
while (cur)
{
if (cur->_kv.first < kv.first)
{
parent = cur;
cur = cur->_left;
}
else if (cur->_kv.first > kv.first)
{
parent = cur;
cur = cur->_right;
}
else
{
return false;
}
}
cur = new Node(kv);
if (parent->_kv.first < kv.first)
{
parent->_right = cur;
}
else
{
parent->_left = cur;
}
cur->_parent = parent;//链接父亲
//控制平衡,更新平衡因子
while (parent)
{
if (cur == parent->_left)
{
parent->_bf--;
}
else
{
parent->_bf++;
}
if (parent->_bf == 0)
{
break;
}
else if (parent->_bf == 1 || parent->_bf == -1)
{
cur = parent;
parent = parent->_parent;
}
else if (parent->_bf == 2 || parent->_bf == -2)
{
//旋转
break;
}
else
{
assert(false);
}
}
return true;
}
private:
Node* _root = nullptr;
};
旋转:
1.保持搜索树的规则。
2.让旋转的树从不满⾜变平衡,其次降低旋转树的⾼度。
旋转总共分为四种,左单旋/右单旋/左右双旋/右左双旋。
右单旋:
情况1:

情况2:
插入一个-2节点在左子树,并更新平衡因子;
以10为旋转点进行右旋,8成为10的左子树,10变成5的右子树,5成为这棵树新的根。

代码实现:
cpp
void RotateR(Node* parent)
{
Node* subL = parent->_left;
Node* subLR = subL->_right;
parent->_left = subLR;
if (subLR)
subLR->_parent = parent;
//记录父亲的父亲节点
Node* Pparent = parent->_parent;
subL->_right = parent;
parent->_parent=subL;
if (parent == _root)
{
_root = subL;
subL->_parent = nullptr;
}
else
{
if (Pparent->_left == parent)
{
Pparent->_left = subL;
}
else
{
Pparent->_right = subL;
}
subL->_parent = Pparent;
}
//更新平衡因子
parent->_bf = subL->_bf= 0;
}
左单旋:
情况1:
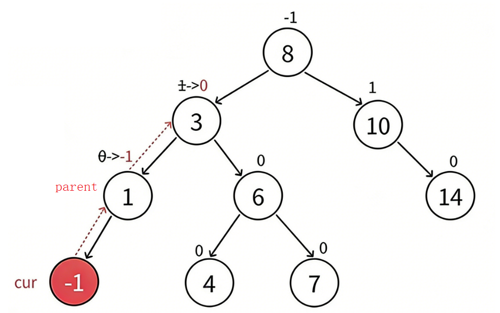
插入一个10节点在右子树,并更新平衡因子;
以节点6为旋转节点,向左旋转,将3设为6的左子树。

情况2:
插入一个14节点在右子树,并更新平衡因子;
以6为旋转点进行左旋,8成为6的右子树,6变成10的右子树,10成为这棵树新的根。

代码实现:
cpp
void RotateL(Node* parent)
{
Node* subR = parent->_right;
Node* subRL = subR->_left;
parent->_right = subRL;
if (subRL)
subRL->_parent = parent;
Node* Pparent = parent->_parent;
subR->_left = parent;
parent->_parent = subR;
if (Pparent == nullptr)
{
_root=subR;
subR->_parent = nullptr;
}
else
{
if (Pparent->_left == parent)
{
Pparent->_left = subR;
}
else
{
Pparent->_right = subR;
}
subR->_parent = Pparent;
}
parent->_bf = subR->_bf = 0;
}
左右双旋:
下面两个例子可以看到,左边⾼时,如果插⼊位置不是在a⼦树,⽽是插⼊在b⼦树,b⼦树⾼度从h变 成h+1,引发旋转,右单旋⽆法解决问题,右单旋后,我们的树依旧不平衡。右单旋解决的纯粹的左边 ⾼,但是插⼊在b⼦树中,10为跟的⼦树不再是单纯的左边⾼,对于10是左边⾼,但是对于5是右边 ⾼,需要⽤两次旋转才能解决,以5为旋转点进⾏⼀个左单旋,以10为旋转点进⾏⼀个右单旋,这棵树 这棵树就平衡了。


上面两张图分别为左右双旋中h==0和h==1具体场景分析,下⾯我们将a/b/c⼦树抽象为⾼度h的AVL ⼦树进⾏分析,另外我们需要把b⼦树的细节进⼀步展开为8和左⼦树⾼度为h-1的e和f⼦树,因为 我们要对b的⽗亲5为旋转点进⾏左单旋,左单旋需要动b树中的左⼦树。b⼦树中新增结点的位置 不同,平衡因⼦更新的细节也不同,通过观察8的平衡因⼦不同,这⾥我们要分三个场景讨论。
• 场景1:h>=1时,新增结点插⼊在e⼦树,e⼦树⾼度从h-1并为h并不断更新8->5->10平衡因⼦, 引发旋转,其中8的平衡因⼦为-1,旋转后8和5平衡因⼦为0,10平衡因⼦为1。
• 场景2:h>=1时,新增结点插⼊在f⼦树,f⼦树⾼度从h-1变为h并不断更新8->5->10平衡因⼦,引 发旋转,其中8的平衡因⼦为1,旋转后8和10平衡因⼦为0,5平衡因⼦为-1。
• 场景3:h==0时,a/b/c都是空树,b⾃⼰就是⼀个新增结点,不断更新5->10平衡因⼦,引发旋 转,其中8的平衡因⼦为0,旋转后8和10和5平衡因⼦均为0。
代码实现:
cpp
void RotateLR(Node* parent)
{
//提前记录平衡因子
Node* subL = parent->_left;
Node* subLR = subL->_right;
int bf = subLR->_bf;
RotateL(parent->_left);
RotateR(parent);
if (bf == -1)
{
subLR->_bf = 0;
subL->_bf = 0;
parent->_bf =1;
}
else if (bf == 1)
{
subLR->_bf = 0;
subL->_bf = -1;
parent->_bf = 0;
}
else if (bf == 0)
{
subLR->_bf = 0;
subL->_bf = 0;
parent->_bf = 0;
}
else
{
assert(false);
}
}
右左双旋:
右左双旋逻辑跟左右双旋一样,只不过方向不同,就不再演示。
代码实现:
cpp
void RotateRL(Node* parent)
{
Node* subR = parent->_right;
Node* subRL = subR->_left;
int bf = subRL->_bf;
RotateR(parent->_right);
RotateL(parent);
if (bf == -1)
{
subRL->_bf = 0;
subR->_bf = 1;
parent->_bf = 0;
}
else if (bf == 1)
{
subRL->_bf = 0;
subR->_bf = 0;
parent->_bf = -1;
}
else if (bf == 0)
{
subRL->_bf = 0;
subR->_bf = 0;
parent->_bf = 0;
}
else
{
assert(false);
}
}
三、AVL树的查找
那⼆叉搜索树逻辑实现即可,搜索效率为 O(logN)。
cpp
Node* Find(const K& key)
{
Node* cur = _root;
while (cur)
{
if (cur->_kv.first < key)
{
cur = cur->_right;
}
else if (cur->_kv.first > key)
{
cur = cur->_left;
}
else
{
return cur;
}
}
return nullptr;
}
四、AVL树的平衡检测
我们实现的AVL树是否合格,我们通过检查左右⼦树⾼度差的的程序进⾏反向验证,同时检查⼀下结点 的平衡因⼦更新是否出现了问题。
cpp
int _Height(Node* root)
{
if (root == nullptr)
return 0;
int leftHeight = _Height(root->_left);
int rightHeight = _Height(root->_right);
return leftHeight > rightHeight ? leftHeight + 1 : rightHeight + 1;
}
bool _IsBalanceTree(Node* root)
{
if (root == nullptr)
return true;
int leftHeight = _Height(root->_left);
int rightHeight = _Height(root->_right);
int diff = rightHeight - leftHeight;
if (abs(diff) >= 2)
{
cout << "高度差异常" << endl;
return false;
}
if (root->_bf != diff)
{
cout << "平衡因子异常" << endl;
return false;
}
return _IsBalanceTree(root->_left) && _IsBalanceTree(root->_right);
}
五、AVL 树特点总结
- 严格平衡:任何节点左右高度差 ≤ 1
- 查询极快:O(log n)
- 插入删除代价稍高:需要频繁旋转
- 适合读多写少的场景(如数据库索引、内存缓存)