论文总结
1、提出了一种基于条件生成对抗网络(cGAN)的新方法,用于将动态对比增强磁共振成像(DCE MRI)快速转换为药代动力学(PK)血管通透性参数图(Ktrans),以早期预测乳腺癌患者对新辅助化疗(NACT)的病理反应。
2、研究使用来自10名乳腺癌患者的公开DCE MRI数据,训练了一个图像到图像的cGAN模型,将DCE图像和R10参数直接映射为Ktrans参数图。结果表明,该方法生成的Ktrans图与传统药代动力学模型(Extended Tofts Model)结果高度一致(R² ≥ 0.98),计算时间却缩短了1000倍以上。更重要的是,基于cGAN计算的Ktrans变化百分比在预测病理完全缓解(pCR)方面表现优异(c-statistic = 1.0),能够有效区分响应者与非响应者。
摘要
动态对比增强( DCE ) MRI是一种无创性成像技术,已成为评估肿瘤微血管通透性的定量标准。通过将药代动力学( PK )模型应用于注射造影剂后获得的一系列T1-加权MR图像,可以定量估计几种血管渗透性参数。这些参数,包括衡量毛细血管通透性的Ktrans,已被广泛用于评估肿瘤血管功能和肿瘤治疗反应。然而,将DCE MRI转化为PK血管渗透性参数图的常规PK建模对于每张图像数千像素的动态扫描是复杂且耗时的。 近年来,图像到图像的条件生成对抗网络( cGAN )作为一种计算机视觉中的鲁棒方法,在复杂的跨领域翻译任务中崭露头角。通过两个神经网络之间复杂的对抗训练过程,图像到图像的cGANs学习有效地将图像从一个域转换到另一个域,从而产生与目标域中的图像不可区分的图像。在本研究中,我们开发了一种新颖的图像到图像的cGAN方法,用于将DCE MRI数据映射到PK血管渗透性参数图。DCE-to-PK cGAN不仅生成了与真值非常接近的高质量参数图,而且显著减少了1000倍以上的计算时间。 使用癌症影像资料库( The Cancer Imaging Archive,TCIA )提供的开源乳腺癌患者DCE MRI数据验证了cGAN方法绘制血管通透性的实用性。该数据集包括乳腺癌患者在第1周期新辅助化疗( NACT )前后获得的图像和病理分析。重要的是,与利用该数据集的先前研究一致,由DCE - to - PK cGAN得到的血管通透性Ktrans的百分比变化可以早期预测NACT的反应者。
引言
新辅助化疗( NACT )已被确立为局部晚期乳腺癌患者的护理标准,并已扩大到包括早期乳腺癌患者1。NACT的主要目标是在手术前降低肿瘤的分期,从而提高可操作性和保护健康乳腺组织2 - 5。NACT的病理完全缓解( pCR )已被证明是生存的预后因素1。然而,仅有6 - 25 %的乳腺癌患者达到NACT3的p CR。此外,在NACT和手术的多个周期后必须进行病理分析,这限制了在治疗过程中早期评估患者反应的能力。目前,人们对无创性手段在手术前预测NACT的病理反应状态产生了极大的兴趣,使临床医生能够根据早期反应调整个性化治疗方案,进而改善患者预后。2 .为此,各种定量成像模式已被研究用于评估接受NACT的乳腺癌患者的病理反应状态,这归因于它们无创评估肿瘤生物学的能力3,5,6。 早期的肿瘤生物学特征变化,包括渗透性、灌注、代谢、氧合和细胞密度,可以早期预测病理反应。近年来,研究人员发现动态对比增强( DCE ) MRI及其产生的药代动力学( PK )血管通透性参数可作为早期评估乳腺癌患者NACT病理反应的潜在生物标志物2,3,7。图多丽卡等研究表明,DCE MRI血管通透性参数的百分比变化是p CR至NACT的良好至极好的预测因素,单变量逻辑回归( ULR ) c统计值在0 . 804 ~ 0 . 967,浸润性导管癌患者28例;2 . 也就是说,在NACT第1个周期后立即检测毛细血管通透性的指标Ktrans的早期变化显示了早期预测病理反应的最大希望。尽管有其潜力,但使用DCE MRI监测治疗反应仍有一些局限性,阻碍了其广泛的临床实施。首先,不同机构的图像采集协议和扫描仪存在显著的可变性,这可能导致临床肿瘤学中不可复制和不一致的结果。DCE MRI采集的标准化将提高DCE MRI研究的可重复性和一致性。 此外,DCE MRI需要复杂的软件来求解用于生成血管渗透性参数的复杂PK数学模型。不仅PK模型存在显著差异,用于求解这些模型的软件工具/包也存在显著差异。众所周知,在DCE MRI中生成血管渗透性参数的标准化软件工具的商业化将有助于建立DCE MRI的广泛临床应用7。此外,建立一个简单的生成血管渗透性参数的软件工具,将提高实施的方便性,并减少求解这些数学模型所需的复杂性和时间。 为此,包括我们在内的多个研究小组已经研究了深度学习作为标准化PK分析和降低计算复杂度的潜在工具。这些研究已经将深度学习方法应用于量化血管通透性的应用中,包括脑癌8 - 10,中风11,胰腺癌12和头颈部癌症13。这些研究中探索的深度学习方法包括1D卷积神经网络( CNN )、2D CNN和循环神经网络( RNNs ),如门控循环单元( GRU )和长短期记忆( LSTM )网络。 尽管这些研究已经证明了深度学习对于血管通透性的有效量化的效用,但深度学习是否能够以与传统方法相同的精度可靠地监测肿瘤血管通透性治疗反应仍然是不确定的。此外,随着最近新型深度学习方法的发展,一些创新技术也出现了。它的出现,为DCE MRI中量化血管通透性的准确性和鲁棒性提供了潜在的改进。其中一种新颖的深度学习方法,生成对抗网络( GAN ),特别是图像到图像的条件生成对抗网络( cGAN ),已被证明是计算机视觉中用于复杂跨域翻译任务的稳健方法14,15。在训练一个图像到图像的cGAN时,一个生成器神经网络学习使用来自另一个域的图像来创建与目标域相似的合成图像。同时,一个判别器神经网络对合成图像与真实图像进行评估,并确定它们是真实的还是假的,从而引导生成器随着时间的推移产生越来越真实的图像。 通过利用两个神经网络之间的这种复杂的对抗训练方案,图像到图像的cGANs可以生成与真实图像非常相似的高质量图像。一些研究已经揭示了cGANs对复杂医学成像任务的鲁棒性能力,包括合成图像生成16,17,图像去噪18,分割19,20,超分辨率21,模态迁移22。特别地,最近,图像到图像的cGANs已成功应用于医学成像中具有挑战性的跨域翻译任务,例如从扩散加权成像中合成表观扩散系数( ADC )图23和从标准MRI扫描中映射脑血容量( CBV )图24。 显然,图像到图像的cGANs是将DCE MRI转换为PK血管渗透性参数图的一种有吸引力的方法。然而,据我们所知,图像到图像的cGAN在DCE到PK的跨域翻译任务中还没有被研究过。在本研究中,我们开发了一种新的DCE - to - PK cGAN方法,用于量化DCE MRI中的血管渗透性参数图。在癌症影像档案馆( TCIA )提供的开源乳腺癌患者DCE MRI数据中验证了深度学习方法的实用性。本数据集包含了来自多中心数据分析挑战7,25的NACT第一周期前后获取的患者图像和病理分析。 此外,由DCE - to - PK cGAN量化的NACT诱导的血管通透性的早期变化与病理治疗反应相关。
材料和方法
病人数据
本研究使用定量成像网络( Quantitative Imaging Network,QIN )提供并在TCIA上公开发表的乳腺癌DCE MRI开源数据集,对提出的图像到图像cGAN方法7,25进行训练、测试和验证。该数据收集用于一项在多QIN中心数据分析挑战中调查乳腺癌患者对NACT反应的研究。如前所述,在10名乳腺癌患者中获得了20次DCE MRI扫描。每例患者接受2次影像学检查,1次在治疗开始前获得,记为V1,另1次在第1个周期治疗后获得,记为V2。MRI检查在西门子3T TIM Trio系统上进行。 DCE MRI采用基于3D梯度回波的随机轨道时间分辨血管成像( TWIST )序列( TR / TE : 6 . 2 / 2 . 9msec ; 2 .翻转角: 10 ° ;视场: 30 ~ 34 cm ;面内矩阵大小: 320 × 320 ;切片厚度: 1。4 mm ;平行成像加速因子: 2 ;时间分辨率: 18 ~ 20秒)采集。采集两幅基线图像后,进行一次对比剂。Gd ( HP-D03A ) [ ProHance ]用可编程序动力注射器静脉注射( 0。1 mmol / kg ,流速2 ml / s),随后用20 ml生理盐水冲洗。除DCE MRI数据外,还提供每位患者的平均肿瘤基线纵向弛豫率R1 ( R10 )、群体平均动脉输入函数( AIF )、肿瘤感兴趣区( ROI )和病理反应状态,用于PK建模和分析。如前所述,肿瘤平均R10值是通过比较无对比剂的基线DCE图像与DCE MRI26前即刻获得的空间配准质子密度图像的信号强度来确定的。所提供的人群平均AIF是在以前的矢状位乳腺DCE MRI研究中获得的,该研究采用相同的造影剂注射方案27。 患者肿瘤ROI由俄勒冈卫生和科学大学经验丰富的乳腺放射科医师在增强后DCE MRI上绘制。通过NACT前和NACT最后一个周期后的病理比较来确定病理状态。为每位患者提供pCR或非pCR (病理无反应和病理部分反应)的二分类。7 .
Dce MRI预处理
DCE MRI扫描用于分离患者的乳腺癌,并去除包括肺和心脏在内的背景解剖结构,导致面内矩阵大小为160 × 160。扫描被截断为二十八帧,以允许所有成像数据集具有相同的时间大小。然后使用MATLAB自带的配准算法对DCE图像进行运动校正。
药代动力学建模
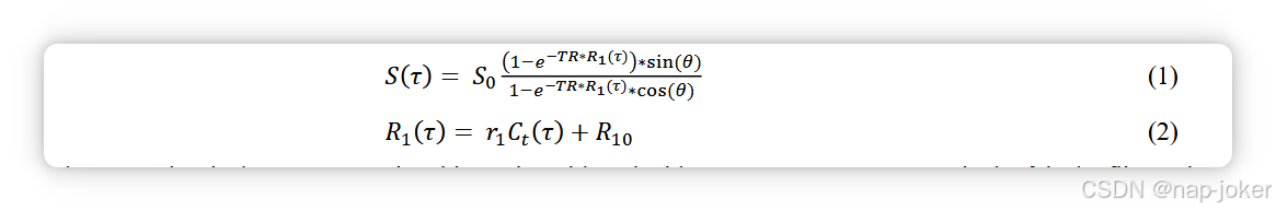
根据DCE MRI的动态信号强度变化和患者特异性R10值来确定Ct,即组织内的动态对比浓度,根据以下方程:

其中S和S0分别为有无对比剂的DCE MRI信号强度,θ为DCE MRI序列的翻转角,r1为对比剂的弛豫率。Ct作图后,根据公式( Eqn )应用扩展Tofts模型( ETM )估计血管通透性参数。3:

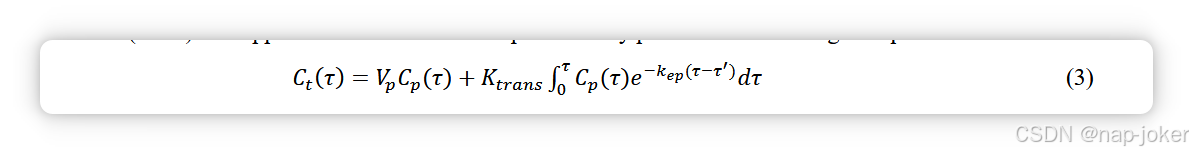
其中Cp是血浆内对比剂的动态浓度,也称为AIF。Vp、Ktrans、kep分别为描述血浆体积分数、对比剂从血浆到血管外细胞外间隙( EES )的转移率、对比剂从EES到血浆的逆向转移率的血管渗透性参数,分别为10、28、29。采用非线性最小二乘( NLLS )曲线拟合算法将PK参数映射为每个体素的Ct和Cp。各血管参数的曲线拟合界限分别为:Ktrans = [ 1e ~ 8 , 2],kep = [ 1e ~ 8 , 2],Vp = [ 1e ~ 8 , 0。2 ]。所有的数学建模算法都在MATLAB R2024a中用Intel Xeon CPU @ 3.70 GHz and 32 GB RAM.

见图1。DCE-to-PK cGAN训练的通路。训练一个Generator神经网络,将输入的R10 + DCE MRI转化为合成的Ktrans图。同时,在输入R10 + DCE MRI的条件下,训练一个判别神经网络来区分Generator合成的Ktrans图和真实的ETM Ktrans图。使用包含L1损失项的自定义最小二乘块对抗损失来更新两个网络参数,直到生成器生成的合成Ktrans图与真实ETM Ktrans图无法区分。
DCE-to-PK cGAN架构
提出的将DCE MRI转换为PK血管通透性参数的cGAN架构如图1所示。患者特异性的R10值被广播到矩阵大小为160 × 160,并与相应的DCE MRI患者扫描相连接。Generator神经网络将R10 + DCE MRI转化为合成的血管通透性Ktrans图。判别神经网络根据相应的R10 + DCE MRI来判断从ETM或Generator输入的Ktrans图是真的还是假的。在当前的研究中,我们使用了来自我们先前工作9,10的双路径CNN作为生成器,使用条件PatchGAN作为判别器14。 对于生成器,图像输入层和卷积层紧随其后,通过局部和全局两条并行路径来捕获多尺度特征。局部通路由三个卷积非扩张层组成。全局通路由3个卷积层组成,分别以2、4、8的因子进行扩张。双路径卷积层采用128个大小为3 × 3的滤波器设计。然后将局部通路和全局通路进行级联,后接1024、512、128和1个滤波器的4个全连接卷积层,每个全连接卷积层大小为1 × 1。除了最后的卷积层,每个卷积层后面都有一个ReLU激活层,而最后的卷积层后面是一个Tanh层。 零填充被应用于每一个卷积操作。对于判别器,使用条件PatchGAN对Ktrans图进行8因子降采样,并基于图斑进行判别。判别器使用相应的R10 + DCE MRI进行条件化,用于创建真实和合成的Ktrans图。图像输入层采用全卷积结构,包含128、256、512、1024和1个滤波器5个卷积层,每个卷积层大小为3 × 3。除第一个和最后一个卷积层外,所有卷积层均采用批归一化。除了最后的卷积层外,在每个卷积层后面都有一个泄漏的ReLU激活层,而Sigmoid层紧随其后。
模型训练
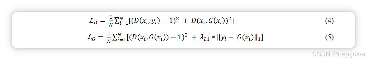
DCE MRI和相应的Ktrans图归一化为[ 0 1 ]用于模型训练。进行K折交叉验证,允许所有患者作为DCE - to - PK cGAN的测试数据。为此,从NACT前和NACT后的( V1和V2)中分离并保存来自单个患者( n = 240个DCE切片)的成像数据,用于网络测试。然后将剩余的患者数据( n = 2 , 160个DCE切片)随机拆分为80:20的训练和验证比例。使用Adam优化器,手动调整超参数,以最小的误差获得最佳的网络性能:生成器和判别器的学习速率均为1e - 5,小批量大小为16,最大历元为200。训练数据在每个历元都进行了洗牌。

式中:N为mini - batch size,xi为条件化R10 + DCE MRI,yi为真实ETM Ktrans图,G ( xi )为Generator合成Ktrans图,λ L1为L1损失项的权重,设为1。在训练之后,患者测试数据集被直接输入到生成器中,以产生合成的Ktrans图,然后再重新调整回它们的原始分布。此过程对所有患者重复10次。所有神经网络算法均在MATLAB R2024a中用NVIDIA GeForce RTX 3090。
统计分析
使用TCIA提供的肿瘤ROI对V1和V2的患者瘤内个体像素、切片均值和肿瘤平均Ktrans进行量化。线性回归应用于单个患者以及患者Ktrans值的集合,以获得统计学相关性和显著性。对DCEto - PK cGAN和ETM之间的每个患者逐像素Ktrans进行均方误差( RMSE )、平均绝对误差( MAE )、标准化均方根误差( nRMSE )、标准化平均绝对误差( nMAE )、皮尔逊R平方( R2 )和一致性相关系数( CCC )的测定。 ULR模型用于计算ETM和cGAN方法中V1 Ktrans、V2 Ktrans和V1到V2的Ktrans变化百分比的c统计量,受试者工作特征( ROC )曲线下面积。使用双尾和非配对的Student ' s t检验来确定NACT前后的统计学意义。p < 0.05被认为具有统计学意义。数据以mean ± SD表示。

见图2。TCIA非pCR患者使用DCE - to - PK cGAN进行检测。一名非p CR患者的两张具有代表性的DCE MRI切片在NACT前( V1 )和NACT后( V2 )均显示高度强化的肿瘤病灶。值得注意的是,ETM和c GAN Ktrans图表现出良好的空间相关性和较高的结构相似性( a )。对V1 ( n = 22片)和V2 ( n = 21片)的肿瘤平均Ktrans进行定量,ETM和cGAN ( b )均显示V2的血管通透性有小幅下降。基于切片的平均Ktrans ( c )和逐像元的Ktrans ( d )分析表明,c GAN和ETM ( p < 0 . 0001)之间的( R2 = 0 . 98)具有很强的相关性。平均值±标准差。
结果

见图3。TCIA pCR患者采用DCE - to - PK cGAN进行检测。一名p CR患者的两张具有代表性的DCE MRI切片在治疗前V1和NACT后V2均显示肿瘤病灶高度强化。值得注意的是,ETM和c GAN制作的Ktrans图具有良好的空间相关性和较高的结构相似性( a )。对V1 ( n = 19片)和V2 ( n = 12片)的肿瘤平均Ktrans ( b )进行定量发现,ETM和c GAN ( p < 0 . 0001)均显著降低了V2的血管通透性。基于切片的平均Ktrans ( c )和逐像元的Ktrans ( d )分析表明,c GAN与ETM ( p < 0 . 0001)的( R2 = 0 . 99)具有较强的相关性。Mean ± SD,* * * * P < 0 . 0001。
DCE-to-PK c GAN在2中的乳腺癌TCIA患者数据集( n = 120张)中被发现可以生成血管通透性参数图。精视RTX 3090的平均计算时间为0.5 s,相比ETM (在至强@ 3.70 GHz和32 GB RAM上平均150 min)显著降低了1000倍以上。在图2中描述了一个对NACT有代表性的非pCR患者。DCE - MRI显示肿瘤体积较大,呈高强化,并可见多发浸润性病灶。这些肿瘤在治疗前V1和NACT后V2均有增强。c GAN生成的血管渗透性Ktrans图与ETM图非常相似,具有良好的空间相关性和较高的结构相似性(图2a )。 本例患者在V1 ( ETM = 0 . 0233 ± 0 . 0035 min - 1;cGAN = .0.0230 ± 0.0035 min-1)在 V2 处基本保持(ETM = 0.0213 ± 0.0058 min-1;cGAN = 0.0200 ± 0.0053 min-1),ETM 与 cGAN 之间高度一致(见图 2b)。线性回归(图2c和2d)显示,cGAN与ETM在基于切片的平均Ktrans中存在显著线性相关(p < 0.0001)(n = 43;R² = 0.98)和像素级Ktrans(n = 20,873;R2 = 0.98)对该患者来说。 与非pCR患者类似,如图3所示,代表性pCR患者的DCE MRI显示V1和V2均存在大型且高度增强的肿瘤。ETM和cGAN Ktrans地图几乎无法区分,展现出极佳的空间相关性和高度结构相似性(见图3a)。虽然患者在V1时血管通透性Ktrans升高(ETM = 0.0383 ± 0.0164分1;cGAN = 0.0380 ±0.0160分1),但患者在V2时Ktrans显著下降(ETM = 0.0155 ± 0.0016分1;cGAN = 0.0156 ±0.0016分1)ETM和cGAN的良好一致(见图3b)。基于切片的平均Ktrans(n = 31;R² = 0.99)和像素间Ktrans(n = 3,031;R2 = 0.99)显示该患者cGAN与ETM之间存在显著线性相关(p < 0.0001)(见图3c和3d)。显然,DCE至PK的cGAN准确监测了结构高度相似且非pCR(见图2)和pCR(见图3)患者的血管通透性反应。 DCE至PK的cGAN解码了患者内异质肿瘤反应,与ETM高度吻合,进一步证明了其效用(见图4)。代表性乳腺癌患者的解剖DCE图像显示了两个肿瘤病灶,病灶1(绿色箭头)和病灶2(红色箭头)。两个病灶在V1和V2均有显著增强(见图4a)。ETM和cGAN图谱显示病灶1(ETM = 0.0247 ± 0.0090 min-1;cGAN = 0.02451 ± 0.0091 min-1)和病灶2(ETM = 0.0283 ± 0.0077 min-1)的血管通透性Ktrans升高; cGAN = 0.0287 ± 0.0078 min-1)。针对NACT,病灶1显著降低了Ktrans(见图4b;ETM = 0.0104 ± 0.0030 分钟-1;cGAN = 0.0102 ± 0.0032 min-1),而病灶2保持较高的渗透性(图4c;ETM = 0.0232 ± 0.0051 分钟-1;cGAN = 0.0239 ± 0.0050 min-1)。重要的是,cGAN对两个病灶之间的异质反应进行了高精度重现。此外,存在显著的线性关系cGAN与ETM在基于切片的平均Ktrans(n=28)下,cGAN与ETM之间的相关系数(p<0.0001;R² = 0.99)和逐像素Ktrans(n = 6,471;该患者R2 = 0.98)(图4d和4e)。

图4。DCE至PKcGAN解析了患者内异质肿瘤反应。在一名代表性患者中,DCE影像(a)识别出两个高度增强的肿瘤病灶,病灶1(绿箭头)和病灶2(红色箭头)。值得注意的是,ETM和cGAN Ktrans图谱均显示两种病灶在V1处血管通透率升高。有趣的是,ETM和cGAN V2 Ktrans图谱均显示病灶1(b)的血管通透性显著降低,病灶2(c)的血管通透性保持。基于切片的平均Ktrans(d)和逐像素Ktrans(e)分析显示cGAN与ETM之间存在强烈相关性(R² = 0.98)(p < 0.0001)。平均± SD,****p < 0.0001。
针对所有患者肿瘤内像素Ktrans值的误差分析(见表1)显示cGAN的RMSE和MAE均偏低。值得注意的是,所有患者的预测误差均低于ETM图谱(nRMSE和nMAE <1)中显示的标准差。R2和CCC显示cGAN与ETM方法在量化Ktrans时存在强烈相关性(R2和CCC为0.9>)。如图5所示,肿瘤内系综,肿瘤平均Ktrans(n=20)、切片基平均Ktrans(n=359)和逐像素Ktrans(n=143,640)在所有患者中显示出显著线性相关(p<0.0001)(R2≥0.98)。Bland-Altman图分析发现cGAN对肿瘤均值、基于切片均值和像素Ktrans的预测存在疏忽或不足(此处未显示)。 俄勒冈健康与科学大学此前在Huang等人的研究中进行了对患者对NAT反应的病理评估。在这组患者中,7人被诊断为非pCR,3人为pCR。基于这些分类,我们绘制了肿瘤平均Ktrans(V1和V2)及百分比V1与V2之间的Ktrans变化(见图6)。显然,ETM(图6a)和cGAN(图6b)肿瘤平均Ktrans的散点图显示,非pCR(红色三角形)和pCR(黑色圆圈)患者对NICT的PK血管通透性反应存在差异。pCR患者在第一周期NEST后肿瘤平均Ktrans下降更为明显,相较于非pCR患者。cGAN和ETM在Ktrans的价值和变动百分比上有很大共识。值得注意的是,DCE至PKcGAN的量化Ktrans百分比变化明确区分了非pCR患者与pCR患者,且与ETM结果高度一致(见图6c)。此外,与之前利用该数据集的研究一致,ULR模型发现Ktrans的百分比变化是病理反应的优秀预测因子(表2)
讨论
DCE MRI因其无创性评估肿瘤生物学(如肿瘤微血管通透性)的能力,在标准癌症影像方案中日益普及。然而,DCE MRI仍有若干局限性,阻碍其临床广泛应用。这些局限性包括图像采集协议的多样性、对标准化PK分析技术的需求以及对先进计算工具的需求。解决这些问题将显著提升DCE MRI在肿瘤学中的临床应用。为此,我们开发了一种新的DCE到PKcGAN方法,用于将DCE MRI转化为PK血管通透率参数图谱。 本研究的一个重要发现是,DCE到PK的cGAN相较于ETM显著降低了计算时间超过1000倍,同时生成的合成Ktrans映射与真实ETM Ktrans映射极为相似(见图2-4)。除了cGAN与ETM图谱在空间相关性和视觉结构相似性上表现出优异外,我们还发现所有患者肿瘤内误差较低(nMAE和nRMSE < 1.0)和强相关性(R2和CCC > 0.9)(见表1)。此外,所有患者的肿瘤携带Ktrans值集合<(见图5)显示肿瘤平均值、切片均值和像素级Ktrans(R2 ≥ 0.98)。显然,DCE转PK的cGAN能够高效量化血管通透性,且与传统PK模型高度一致。 多项先前研究已确定DCE磁共振成像(DCE)提取的血管通透性参数作为早期评估乳腺癌患者NAT病理反应的潜在生物标志物2,3,7。这些研究表明,NATT诱导的肿瘤功能变化,尤其是血管功能的变化,先于肿瘤大小的变化,而肿瘤大小是目前评估治疗反应的标准护理标准2,3,7。此外,这些血管功能的早期变化预后了病理反应,可能作为早期治疗反应监测的有用替代指标。如图2和图3所示,本研究中使用的TCIA数据收集中具有代表性的非pCR和pCR患者,在第一周期NACT后肿瘤大小变化极小。与此前数据收集结果高度一致7,非pCR患者基于ETM仍保持较高的血管通透性,而pCR患者的血管通透性参数Ktrans显著下降(p < 0.0001)。重要的是,DCE转PK的cGAN正确量化了非pCR和pCR患者的早期血管通透性变化,且与ETM高度吻合。 值得注意的是,非pCR(图2)和pCR(图3)乳腺癌患者的肿瘤在V1和V2的DCE MRI上均高度增强,表明病灶在NACT前后均具有通透性。 然而,如上所述,非pCR和pCR患者在NATT反应中表现出不同血管通透性Ktrans的变化。Ktrans与DCE MRI扫描中的增强速率相关,表明增强速率对监测治疗反应可能比高对比增强的存在更为重要。另一个值得注意的发现是,DCE到PK的cGAN不仅准确量化了患者间的血管通透性变化,还准确解析了患者内异质性肿瘤反应,如图4所示患者所示。我们预计DCE转PK的cGAN将作为监测患者间和患者内肿瘤血管通透性反应的有用工具,有助于临床决策和个体化医疗。 在Huang等人利用该数据收集的早期研究中,多QIN中心的数据分析挑战揭示了由十二种不同的DCE MRI计算建模算法导出的血管通透率参数显著变异性7。作者发现,软件工具之间的参数值差异多达两倍到四倍,尽管控制了肿瘤投资回报率定义,以及R10和AIF测量。 另一项研究同样显示,不同软件工具在DCE MRI31中血管通透性参数相差10倍至100倍。基于不同PK模型和软件工具的血管通透率参数差异,可能导致不同机构DCE MRI研究结果不可重现。黄博士的研究显示,几乎所有软件工具中血管通透性参数Ktrans的百分比变化高度一致,其中12个工具中有11个良好(0.8≤c统计量≤0.9)良好至优良(c统计量≥0.9)的ULR分析预测变量7。 在本研究中,利用Huang的研究中相同的数据集7,我们发现内部ETM软件返回的血管通透性Ktrans值低于大多数用于数据分析挑战的其他计算建模算法。我们内部ETM产生的血管通透性Ktrans值软件类似于数据分析挑战中使用的BWH-3D Slicer TM软件工具7,32(见图6a)。 DCE到PK的cGAN方法还预测了血管通透率Ktrans值相较其他软件工具更小,因为深度学习方法经过训练以重现我们的ETM软件(见图6b)。 尽管如此,我们的ETM软件和cGAN的Ktrans百分比变化与黄氏研究中使用的所有软件工具高度一致(见图6c)7。同样,我们表明,在考虑血管通透性参数Ktrans的百分比变化时,我们的ETM软件和cGAN方法都是病理反应的优秀预测因子(c统计量=1.0)(见表2)。 如本研究所示,图像对图像的cGAN可能成为DCE MRI中监测治疗反应的有用工具。然而,值得注意的是,目前研究队列的样本量较小。 加入额外的培训和测试案例将进一步阐明DCE转PKcGAN方法的长期效用。为此,随着新型人工智能(AI)方法,特别是生成式人工智能(AI)的兴起,评估这些方法生成合成DCE MRI的能力将非常有趣。此类合成数据可用于增强和扩展训练案例,有望提升DCE到PK的cGAN性能。此外,本研究未直接将DCE至PK的cGAN与先前开发的高效DCE MRI映射深度学习算法进行直接比较,但这是有根据的。同样,评估一种集成学习方法,结合其他深度学习框架的知识,可能比单一深度学习模型实现更准确的预测精度。
总结
总之,我们开发了一种新型图像对图像的cGAN方法,用于高效将DCE MRI转化为PK血管通透率参数图谱。DCE到PK的cGAN能够生成与真实参数映射极为相似的血管渗透率参数图,并且与传统计算工具相比,计算时间减少了1000倍以上。重要的是,cGAN方法得出的血管通透性参数Ktrans图谱的百分比变化是乳腺癌患者对NACT病理反应的早期预测指标,凸显了其在监测治疗反应方面的实用性。我们预计DCE转PK的cGAN将成为标准化PK分析和降低一般肿瘤影像和临床试验计算复杂度的有用工具。