§5.1****频率响应的有关概念
一、本章要研究的问题
放大电路对信号频率的适应程度,即信号频率对放大倍数的影响。
由于放大电路中耦合电容、旁路电容、半导体器件极间电容的存在,使放大倍数为频率的函数。
在使用一个放大电路时应了解其信号频率的适用范围,在设计放大电路时,应满足信号频率的范围要求。
二、高通电路和低通电路
1. 高通电路:信号频率越高,输出电压越接近输入电压。

2. 低通电路:信号频率越低,输出电压越接近输入电压。

使输出电压幅值下降到70.7%,相位为**±45º的信号频率为截止频率。**
三、放大电路中的频率参数

§ 在低频段,随着信号频率逐渐降低,耦合电容、旁路电容等的容抗增大,使动态信号损失,放大能力下降。
§ 在高频段,随着信号频率逐渐升高,晶体管极间电容和分布电容、寄生电容等杂散电容的容抗减小,使动态信号损失,放大能力下降。
§5.2****晶体管的高频等效电路
一、混合
模型
1. 模型的建立: 由结构而建立,形状像Π,参数量纲各不相同。

2. 混合π模型的单向化**(使信号单向传递)**

3. 晶体管简化的高频等效电路

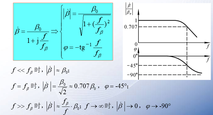
二、电流放大倍数的频率响应
1. 适于频率从0至无穷大的表达式

2. 电流放大倍数的频率特性曲线

3. 电流放大倍数的波特图**:**采用对数坐标系

三、晶体管的频率参数




§5.3****放大电路的频率响应
一、单管共射放大电路的频率响应











二、多级放大电路的频率响应
1.讨论: 一个两级放大电路每一级(已考虑了它们的相互影响)的幅频特性均如图所示。

2. 多级放大电路的频率响应与各级的关系
对于n级放大电路,若各级的下、上限频率分别为fL1****~fLn***、fH1***~fHn,整个电路的下、上限频率分别为fL****、** fH****,则




讨论三:两级阻容耦合放大电路的频率响应

