1.题目描述

示例 1:

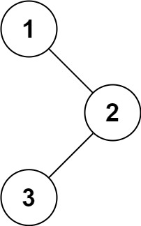
输入:root = [1,null,2,3]
输出:[1,3,2]
示例 2:
输入:root = []
输出:[]
示例 3:
输入:root = [1]
输出:[1]
2.解决方法:
中序遍历就是先遍历左子树然后遍历右子树
可以使用栈将左子树所有的根节点的val记录下来,然后在从底部网上遍历,这才是正确的书顺序
此时就可以加上左树和根,此时遍历右子树即可
栈方法:
Definition for a binary tree node.
class TreeNode:
def init(self, val=0, left=None, right=None):
self.val = val
self.left = left
self.right = right
class Solution:
def inorderTraversal(self, root: Optional[TreeNode]) -> List[int]:
result = [] # 存放最终遍历结果
stack = [] # 显式栈,模拟递归调用栈
current = root # 当前正在处理的节点,从根开始
只要栈不为空,或者当前节点不为空,就继续循环
while stack or current:
一路向左,把路径上所有节点压入栈
while current:
stack.append(current)
current = current.left
此时 current 为 None,说明已到达最左叶子的左孩子(空)
弹出栈顶 ------ 这就是当前子树中"最左但未访问"的节点(即该子树的根)
current = stack.pop()
result.append(current.val) # 访问它(加入结果)
转向它的右子树(可能为空,也可能有内容)
current = current.right
return result
递归方法:
def inorderTraversal(root):
if not root: # 基础情况
return []
left_list = inorderTraversal(root.left) # 递归处理左子树
right_list = inorderTraversal(root.right) # 递归处理右子树
return left_list + [root.val] + right_list