目录
[5.1 卷积层特征提取](#5.1 卷积层特征提取)
[5.2 池化层下采样](#5.2 池化层下采样)
[5.3 全连接层特征融合](#5.3 全连接层特征融合)
[5.4 损失计算与参数优化](#5.4 损失计算与参数优化)
[5.5 模型验证与预测输出](#5.5 模型验证与预测输出)
1.前言
CNN是专为处理网格结构数据设计的深度学习模型,核心通过局部感受野、权值共享、池化下采样三大机制提取数据的空间或时序特征,再通过全连接层完成预测拟合。在数据预测任务中,CNN将输入数据(如时序序列)视作结构化网格,利用卷积核滑动提取局部特征模式,池化层压缩冗余信息,最后通过非线性映射输出预测值,适用于存在局部相关性、多特征耦合的预测场景,如负荷、流量、传感器时序数据预测。
2.算法测试效果图预览






3.算法运行软件版本
matlab2024b
4.部分核心程序
cnn = cnntrain(cnn, train_x,train_y,Ptrain,Ttrain);
[Tpre] = cnntest(cnn,P');
figure;
plot(max(Price_now)*T,'r');
hold on
plot(max(Price_now)*Tpre,'b');
%误差
error = 100*(abs((Tpre(1:Len)-T(1:Len)')./Tpre(1:Len)));
max(error)
%准确率
100-max(error)
%误差
error = 100*(abs((Tpre(1+Len:end)-T(1+Len:end)')./Tpre(1+Len:end)));
max(error)
%准确率
100-max(error)
save model_CNN.mat cnn error Price_now T Tpre
04_009m
5.算法理论概述
本算法是通过多层特征提取,自动学习数据内在规律,避免人工特征工程,依靠梯度下降优化网络参数,最小化预测值与真实值的误差。
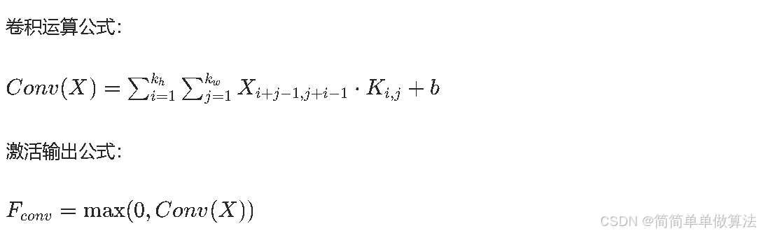
5.1 卷积层特征提取
卷积层使用卷积核在输入特征图上滑动,执行卷积运算,提取局部特征并引入非线性激活。设输入特征图为X,卷积核为K∈Rkh×kw,偏置为b,激活函数常用ReLU。

权值共享使同一卷积核在全局提取相同特征,大幅减少参数数量,局部感受野则保证只关注局部数据关联。
5.2 池化层下采样
池化层对卷积输出特征进行降维,保留关键特征,常用最大池化,取局部区域最大值。设池化窗口为s×s,输入特征块为P。最大池化公式:

该操作压缩特征维度,降低计算量,同时增强特征鲁棒性。
5.3 全连接层特征融合
将池化后的特征展平为一维向量,通过全连接层映射至预测输出,实现特征融合与非线性拟合。设展平特征为Fflat,全连接权重为Wfc,偏置为bfc。全连接输出公式:

回归预测时输出层不使用激活函数,直接输出预测值。
5.4 损失计算与参数优化
采用均方误差MSE作为损失函数,衡量预测误差,通过反向传播与梯度下降更新权重。损失函数公式:

5.5 模型验证与预测输出
用测试集评估模型精度,完成训练后输入新数据,经前向传播输出最终预测结果。
CNN优势在于自动提取局部时序特征,权值共享降低复杂度,对结构化网格数据预测效率高;BP结构简单但拟合能力弱;RBF收敛快但特征学习能力有限;LSTM擅长长时序依赖建模,但计算开销大。CNN更适合多特征耦合、存在局部模式的数据预测,LSTM侧重连续时序依赖,BP与RBF多用于简单拟合场景。
6.算法完整程序工程
OOOOO
OOO
O
关注GZH后输入回复:0035