目录
[2.1 第一级16点FFT运算](#2.1 第一级16点FFT运算)
[2.2 旋转因子复数乘法](#2.2 旋转因子复数乘法)
[2.3 第二级16点FFT运算](#2.3 第二级16点FFT运算)
[2.4 模平方计算单元](#2.4 模平方计算单元)
1.FFT变换的FPGA实现概述
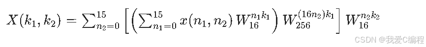
在本课题中,我们将实现256点的FFT变换。其中256点FFT采用二维分治策略进行。
即:
将256点输入拆分为16组×16点,先对每组做16点FFT→乘以旋转因子→再做16点FFT→输出结果。也就是通过2次16点FFT变换,来实现256点FFT,从而大大简化系统实现的复杂性。
其对应的数学公式可以表示为:

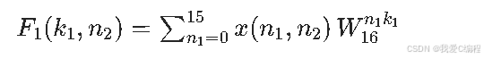
其中,中括号中的表达式

这一级做的就是内层16点FFT。
然后做蝶形运算,每个蝶形单元:

可以统一表示为:

其中,A、B为输入复数;W为旋转因子。
2.FFT变换的FPGA实现模块划分
根据上一个小节关于FFT变换实现的基本原理,我们给出如下的整体设计构架(大致的模块划分,后续课程,如果细微的调整,会做说明):

2.1 第一级16点FFT运算
第一级16点FFT蝶形运算,其内部由多级基16蝶形运算单元阵列构成,采用流水线结构,对每组16点数据执行蝶形计算X=A+W16p⋅B 。该模块包含复数加法器与复数乘法器,调用内置旋转因子W16。这个模块运算完成,进入归一化阶段。通过这个模块可以完成256点分治FFT的内层16点变换,大幅降低FFT计算量。
2.2 旋转因子复数乘法
这个模块通过FPGA的内部ROM核预存储256点旋转因子W256的余弦、正弦值。根据当前数据组序号,查表取出对应旋转因子。执行复数乘法(a+jb)(c+jd)=(ac−bd)+j(ad+bc),最后将乘法结果直接输出。通过这个模块衔接两级16点FFT,完成分治FFT的跨级相位校正。
2.3 第二级16点FFT运算
与第一级FFT16完全一致,仅输入位宽更宽。对转置后的16点组再次执行基16蝶形运算。完成256点FFT的外层16点变换,得到完整频域复数结果。通过这个模块最终完成全部256点快速傅里叶变换,输出频域数据。
2.4 模平方计算单元
对复数实部、虚部进行补码绝对值运算,对绝对值后的实部、虚部分别做平方乘法。将两个平方结果相加,得到幅度平方:
∣X(k)∣^2=Xr^2+Xi^2
最终输出作为频谱能量结果。