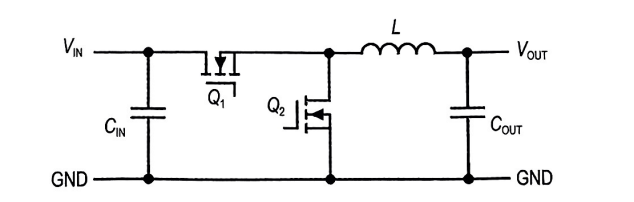
1.DC/DC变换器的输入和输出电容
使用基础buck拓扑来进行说明:

buck拓扑特点是输入电流在Q1的作用下会被斩波,因此如果没有CIN,来自电源的电流在每个开关周期都会在零和最大负载电流之间来回切换,会导致电流波形谐波含量高,很容易产生噪声。CIN给这些谐波提供低阻抗,可以根据以下要求进行选择:
1,满足最恶劣工作情况是电源电压额定值。
2.足够的电容量以满足输出电压纹波规格
3纹波RMS电流(交流电在一个周期内的有效电流,均方根电流)在电容额定值之内。
输入电容中的RMS电流随着占空比的变化而变化,当D=50%(因为防止两个开关管状态重叠,保留一个死区时间)为最大值,此时RMS电流为直流负载电流的50%,。但是由于输入电感引起的交流纹波会产生额外的RMS电流。因此需要更高精度可以使用以下公式:

输入电容值计算是一个两部过程,因为主要有两个因素:一个由电容值决定,另一个由电容中的ESR(等效串联电阻)引起,因为这些项可以算术相加,所以需要独立计算:

由于陶瓷电容ESR(等效电阻)和ESL(等效电感),因此通常被选择作为输入电容,并且使用多个并联获得更多电容量。并联会导致电容值倍增,但是ESR倍减,RMS电流也分摊到每一个电容。实际中一些陶瓷电容器会因为DC偏置电压而尝试电压衰减(实际上容量减少)。
Buck转换器的输出电容有几个特点:
1.它可以与电感一起将斩波的电压转换成直流输出。
2.储能以允许负载快速变化。
3.电容何其ESR影响环路稳定性。
4.电容容量和电感纹波电流(
)确定了输出电压纹波。
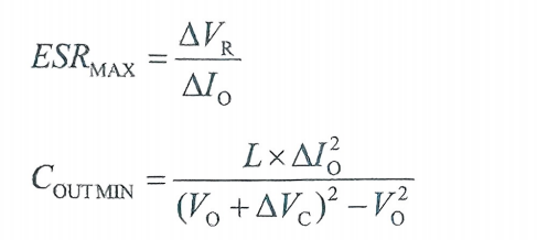
输出电压纹波也由两部分组成,均受电感纹波电流引线:

这两项存在90°关系,但保守的工程师会增加它们的幅度。先对输出电压还有一个常见要求,当负载发生大变化
时,输出电压仍要处于一定范围内。假定变换器输出电流的变化是受电感值限制,而不受控制环路响应的限制,那最初负载阶跃变化所增加负载电流只能来治愈输出电容,输出纹波主要受ESR的影响。
最简单的解决方法是将允许的输出电压偏差分解成两个部分:一部分是ESR引起的
,另一个是由电容值引起的
,由此乐园通过一个计算满足要求的电容:


有了这两个值,实际中可以找到一个或者几个电容并联。需要注意的是电容和ESR都具有相当大的初始误差和很大的温度系数。
2.交流输入滤波电容
为交流电的电源设计输入电路第一步是要了解其工作电压等级,下入给出了甲流工作电压的有效值和频率,标准值的变化范围以及对应峰值:

交流电供电电源的前端电路包括一个整流器或者典型的桥式整流电路,它将正弦波电压转换成线路频率两倍的正弦半波,对输出滤波电容充电,并将直流电供给系统后级部分.,下图是一个AC/DC的输出电路,简化了EMI滤波器,浪涌保护,保险丝等其他前端器件:

下图是工作时候波形,滤波电容导航的直流电源在交流正弦峰值时上升,在谷值时下降,如虚线所示 ,因为电流只有在整流桥正向导通时才会有电流流入电容CIN。意味这电流的电流仅在这个较短的时间段tc内流动,电容CIN必须在整流桥反向偏置时想负载提供所需的功率。这样就得到直流输出上的峰-峰值纹波电压.
.

为了计算这个输入滤波电容值,我们知道它要在线路频率的每个半周期内提供所有负载能量,所以得确认每个半周期的输入能量:

通过Vpk作为交流线路最低输入电压的峰值来计算最坏情况。在美国为151V,而VMIN将有允许的交流纹波电压确认,该交流纹波电压时通常折中选择,一般为Vpk的20~30%。较小的电容会增加交流纹波电压,也会降低电源后级电压,并需要较大的占空比范围来控制全范围输入电压偏差。较大的电容值,会降低纹波,也会减少导通时间,从而导致更高的峰值输入电流,所有元件的导通损耗增加,EMI增加可能性更大。
上面设计适合单电压设计,但是对于全球范围使用需要考虑从适合世界最高电压到最低电压范围内使用,若考虑纹波电压幅度输入范围可以高达4:1,全球被更有效的解决方案如下:

当输入电压为220~240VAC时,开关断开,两个电容串联,总电容值为每个值的一半。但是当输入电压处于100-120VAC时,开关闭合,并且每个电容通过交替半个工频周期而被单独充电,倍压后母电压与高压输入时一样。这样后记变化其的电压范围缩小到2:1或者更小。
每个电容在半周期充电,但是在整个周期放电,每个电容仍然必须在整个线路周期中提供一半的负载所需要的能量。当一个电容电压处于最小电压时,另一个处于峰值和最小电压之间的一半,所以每个电容成为了

因为每个电容上的电压较小,倍压电路会需要更大的输入电容值,因此在实际应用中,是倍压结构低压输入时来决定滤波电容值。
3,功率因数校正电路
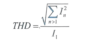
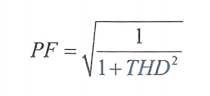
术语"功率因数"被定义为"实际有功功率"与"视在"功率比值,其中有个功率时在整个周期内电流和电压的乘积的疾风。而视在功率时电流RMS和电压RMS值的乘积,但由于畸变高峰值电流而使得这个值很高。这个高峰值电流将影响输入甲流断路器的额定值的选择,并导致配电线路损耗更高。因此人们努力扩大电流导通时间,希望呈现限制电网端的负载为纯电阻特性,这样电流和电压就具备相同波形,从而功率因数为1.0。数学上,将电流波形中的总谐波市镇(THD)减少最小既可以实现高功率系数。THD定义为谐波有基波的比值,功率因数则与THD有关:


PF(功率因数),Power Factor。
(注:PF传统中接入电抗负载值,输入端电压和电流之间关系的相位关系定义,在这种情况下电压和电流都可能式完美正弦波,但是它们之间有一个相移,在这个相移器件极性相反,功率不会给负载,使得有功功率和视在功率的比值小于1.0.然后功率因素用相移多少来表征,其结果也代表能量的使用效率。但是在电子电路中,我们通常假设不存在相移,只有波形失真。)
增加一个电感和额外的电容可以作为一种被动式解决方案(无源式)。但由于线路频率为60或者50Hz,这些器件非常笨重,在可变工作范围内效率也低。所以需要看一下有源功率矫正(PFC)解决方案,意味需要在电源和后级系统中郑家一个功率调节级。虽然增加; 器件数量但是好处还是很多:
1.提高功率因数可以增加效率;2通过消除电源线中的高次谐波,潜在的RFI噪声对其他设备干扰大大降低;3.PFC的电路额可以对电压进行预调节,减少占空比变化范围,从而提高整个系统效率;4.PFC级可以在整个线路电压范围内有效运行,而无需手动电压设置开关将电压倍增;5.政府法规要求高功率因数。
有许多开关电源电路可用于功率因数校正级。下图所示的Bost拓扑是最受欢迎的而得到广泛使用的:

原因:1.Boost电路要求输出电压必须高于输入电压,并且由于整流后的交流波形在每个周期内均降低到零,因此升压拓扑可以在除谷底以外的所有区域额你工作。而如果采用Buck拓扑,当输入降低到输出以下时,电路不能实现调节,从而在输入电流波形中留下死区,功率因数变低。
2.Boost电路的输出必须要求电路的最高峰,对于全球范围来书,输出电压要在380到400V之间,虽然这个电压很高,但后记功率变换电路的电流变得较小,从而降低
导通损耗。
3.Boost电路电感位于输入端,它还助于阻止开关噪声出现在交流电源输入线上。
4.高压输出时工作电流较低,升压电路内部损耗较低。合理设计的boostPFC电路可以达到超过95%的效率。这是很重要的特定,因为在系统中增加了一个有源PFC级会明显增加额外的总损耗。
但是需要注意,Boost拓扑的一个限制时:开关管的位置使得该电路无法对输入电流做任何限制,因此必须在别处提供限流保护电路。
但是,升压电路可以实现DC到DC转换器,器中输入可以在零和输入线电压峰值之间变动,并且可以在50kHz到200KHz范围内工作,同时维持一个稳定的直流输出电压。这个基本电路可以在三种不同的模式下工作,并且都可以实现相同的功率因数校正功能:

AVERAGE(平均值);PEAK(峰值)
这些工作模式差异与电流在电感中流动的形式有关。但在这种情况下,高频开关被调制为使其平均值电流跟随正弦波形。CCM和DCM模式都可以控制在一个固定的开关频率,主要区别在与控制算法。CCM设计时一个具有较大电感值的线性系统,它可以降低峰值交流电流,使滤波变得更容易,但需要复杂的控制才能获得稳定准确的性能,缺点时在电流流动时会产生开关动作,会导致更高的开关损耗,特别时输出二极管。
如果设置一个固定导通时间,则DCM模式更容易控制,电流上升到一个与电感两端电压正比的值,意味这峰值电流轨迹将跟随电压波形,这本质上是一个稳定的算法。由于当电流为0时才进行开关,二极管反向恢复问题大大减少。然而,每个开关周期的峰值电流偏移必须高很多,这个才能弥补电流为零的时刻,器件的高频导通损耗更高。
临界导通模式(CRM,也称为转换模式)兼具两种模式的优点和局限性,优于CCM控制,它在零电流条件下导通。同时优于DCM控制,在电感电流达到零后没有死区时间,峰值AC电流虽然较大,但仍小于DCM时的情况,使用CRM时,峰值电感电流将恰好时输入电流正弦波平均值的两倍。主要困难在于开关频率是变化的,所以不能与其它功率转换器实现频率同步。
3.1平均电流模式控制(CCM)
由于为负载提供能量的根本时平均输入电流,因此目标使高频电流脉冲的平均值跟随低频输出电压波形,同时提供一个受调节的直流电压输出,解决方案如下图:

在这个简化的框图中,控制单元为电流误差放大器
,它决定Boost的功率开关管PWM新高,
检测平均电感电流,乘法器
的输出作为
运算放大器的反向输入,它的输入由三个部分构成:


第一个信号用来调节直流输出电压,第二个信号用来设置输入电流波形,第三个输入,前馈信号,使得电路能够轻松处理全球输入电压范围。由于我们使用输入电压波形来定义输入电流形状,因此输入线路电压增加会导致电流IAC增加,而实际上此时需要降低电流以保持恒定的功率输出,将控制信号除以测量电压的平方,通过控制回路,用最小增益变化能实现恒定输出。这种PFC控制形式具有以下优点:
1.最准确的控制并且可以实现最高的功率因数。
2.使用CCM可以实现低峰峰值纹波电流,导通损耗最低。
3.使用CCM还可以限制EMI噪声的产生,特别是在输入电源线上的噪声。
4.是大功率的最佳选择(350W以上)。
主要缺点:所采用器件数目较多,并存在上面所诉二极管反向恢复问题。
3.2 临界导通模式(CRM)

上图是一个更为简单的控制方式,CRM转换器通常利用可变的滞环控制,但其下线设计为零电流。通过将功率开关管的电流从乘法器输出的参考信号
进行比较,因为开关导通时间将于瞬时电压成比例,所以不需要电压前馈信息,并且没有关断时间,所以这种电路优点:1.简单电路,更少的器件,更低的成本;2.采用零电流开关降低二极管反向恢复损耗;3功率低于350W时是最经济的解决方案。
缺点:开关频率可变;器件的峰值电流都比较高;开关管中的导通损耗增加;对滤波器的要求增加。
3.3 交错式功率因数校正(APFC)
在BOOST中电感纹波电流需要滤波以满足EMI噪声要求,但是二极管电流时完全不连续的,着需要显著的增加电容来维持输出电压稳定。
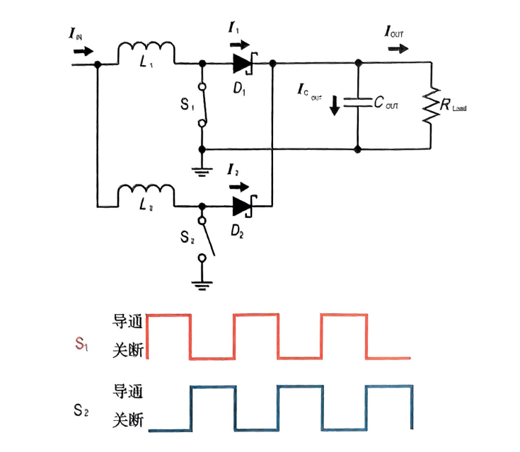
交错式就是把功率传输分成两个完全相同的电路,每个电路只需要处理所需功率的一半,并采用同步控制,让它们的开关管以180°的相位错运行,波形上得到对消,纹波减少,如下图:


输入电流是两个电感电流的总和,如上图,可以完全抵消高频纹波电流,而当两个电容电流相加时,输出端也会看见类似的纹波电流减少。纹波都是开关频率的两倍,可以降低滤波器的要求。交错设计导致器件数量增加了一倍,但实际使用,每相只处理总电流的一半,这可以减少单个元件的功率损耗,也降低了电感尺寸,也改善了热设计。
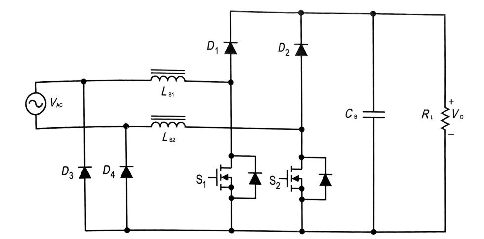
3.4 无桥功率因数校正
为了改善桥式整流桥的功率损耗,通过使用下图的无桥式PFC,通过使用两个Boost转换器,取代了两个桥式整流二极管,转换器的两个MOSFET是在输入电压的半个周期内交替工作,可以使用相同的栅极驱动信号,也可以使用单个PFC控制器来进行控制。为了高效率,采用CRM控制,MOSFET零电流开启,最大限度减少D1,D2二极管反向恢复的问题。两个二极管交替将输入线连接到地,降低了EMI。虽然有两个电感器,但是因为CRM开关原因,电感量会小很多,并且只要半个周期内交替工作。
