本文重点
前面的课程中我们学习了最快梯度下降法,本文我们将简单的了解坐标梯度下降法,主要是为了和梯度下降法进行区别。
坐标下降法的简述
坐标下降优化方法是一种非梯度优化算法。为了找到一个函数的局部极小值,在每次迭代中可以在当前点处沿一个坐标方向进行一维搜索。
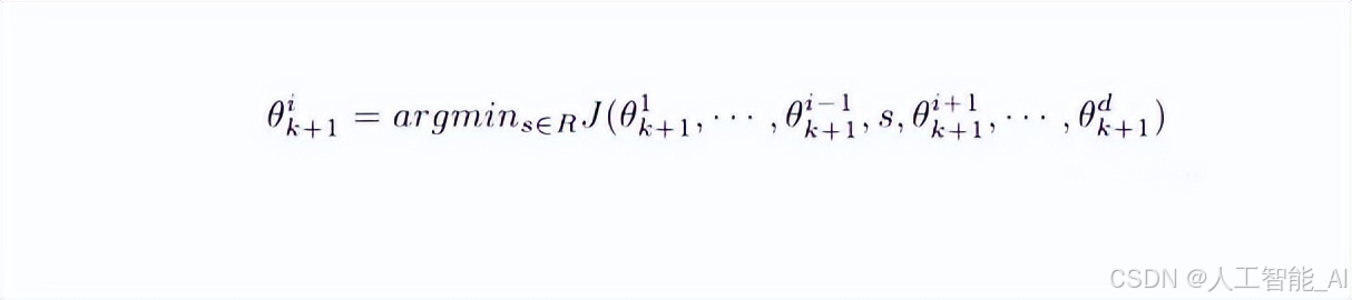
在整个过程中循环使用不同的坐标方向。一个周期的一维搜索迭代过程相当于一个梯度迭代。如,坐标方向为e 1**,e2,...,en**。每次沿一个坐标方向最小化目标函数,循环地沿每个坐标方向进行计算。如果给定θk,那么θk+1的第i个坐标由如下方式计算:

也就是每次只更新参数的一个维度,也就是一个坐标方向,坐标下降方向的效果图为:

坐标下降法和梯度下降法的区别

梯度下降方法是利用目标函数的导数(梯度)来确定搜索方向的,而该梯度方向可能不与任何坐标轴平行。
而坐标下降方法是利用当前坐标系统进行搜索,不需要求目标函数的导数,只按照某一坐标方向进行搜索最小值.