题目:
给你两个单链表的头节点 headA 和 headB ,请你找出并返回两个单链表相交的起始节点。如果两个链表不存在相交节点,返回 null 。
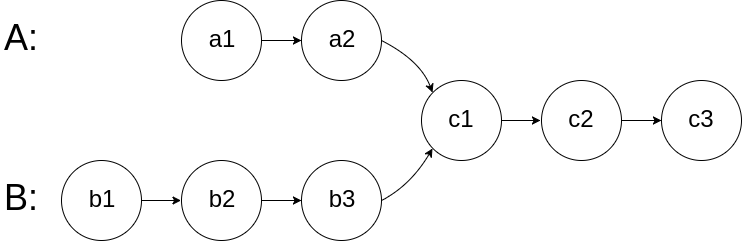
图示两个链表在节点 c1 开始相交**:**

题目数据 保证 整个链式结构中不存在环。
注意 ,函数返回结果后,链表必须 保持其原始结构 。
方法一:哈希集合
思路
链表相交的定义是:两个链表从某个节点开始,后续的所有节点在内存中完全相同(即地址相同)。因此,我们可以利用哈希集合存储其中一个链表的所有节点地址,然后遍历另一个链表,第一个存在于集合中的节点就是相交的起始节点。
算法步骤:
1.创建一个哈希集合 unordered_set<ListNode*>,用于存储节点地址。
2.遍历链表 headA,将每个节点的地址插入集合。
3.遍历链表 headB,对于每个节点,检查其地址是否已经在集合中:
- 如果存在,说明该节点同时属于两个链表,即相交的起始节点,直接返回。
- 如果不存在,继续遍历下一个节点。
4.若遍历完链表 headB 仍未找到,则两个链表不相交,返回 NULL。
答案:
cpp
class Solution {
public:
ListNode *getIntersectionNode(ListNode *headA, ListNode *headB) {
unordered_set<ListNode *> visited;//存储节点地址
//遍历链表 headA,将每个节点的地址插入集合
ListNode *temp=headA;
while(temp!=NULL){
visited.insert(temp);
temp=temp->next;
}
//遍历链表 headB,对于每个节点,检查其地址是否已经在集合中
temp=headB;
while(temp!=NULL){
if(visited.count(temp)){
return temp;//如果存在,返回节点
}
temp=temp->next;
}
return NULL;//如果链表不相交,返回NULL
}
};
要点:
- 必须使用节点地址(指针值)进行比较,而不是节点值。因为值相同并不代表节点相同。
方法二:双指针(神仙解法)
思路:
两个链表如果相交,它们从相交节点开始到末尾的节点是完全相同的。设:
- 链表 headA 的不相交部分长度为 a,相交部分长度为 c。
- 链表 headB 的不相交部分长度为 b,相交部分长度为 c。
若两个指针分别从两个链表头指针开始同步前进,当指针走到自己链表的末尾时,转向另一个链表的头部继续走,直到走到相交点。那么:
- 指针 pA 走过的路程:a + c + b(先走完A,再走完B的不相交部分到达交点)
- 指针 pB 走过的路程:b + c + a(先走完B,再走完A的不相交部分到达交点)
两者路程相等 ,因此它们一定会在相交节点相遇。如果两个链表不相交,它们最终会同时走到 NULL。
算法步骤:
1.若任一链表为空,直接返回 NULL。
2.初始化两个指针 pa = headA,pb = headB。
3.循环,当 pa != pb 时:
- 如果 pa 为空,则指向 headB;否则指向 pa->next。
- 如果 pb 为空,则指向 headA;否则指向 pb->next。
4.循环结束后,pa(或 pb)即为相交节点,返回。
答案:
cpp
class Solution {
public:
ListNode *getIntersectionNode(ListNode *headA, ListNode *headB) {
if(headA==NULL||headB==NULL) return NULL;
ListNode *pa=headA;
ListNode *pb=headB;
while(pa!=pb){
pa=pa==NULL?headB:pa->next;
pb=pb==NULL?headA:pb->next;
}
return pa;
}
};