TL;DR
- 场景:机器学习初学者理解GBDT梯度提升决策树的核心原理与训练流程
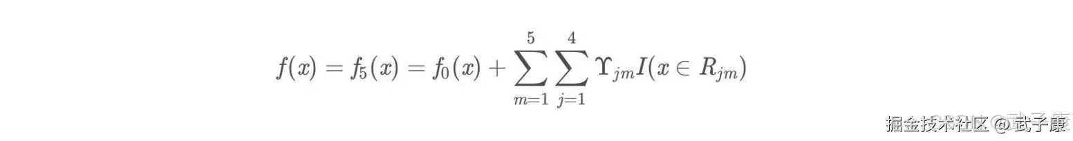
- 结论:GBDT通过多轮迭代、拟合残差、学习率控制,逐步构建强学习器,适合分类与回归任务
- 产出:完整GBDT训练流程解析,含初始化、学习率收缩、弱学习器叠加的工程实现细节

版本矩阵
| 功能 | 状态 | 说明 |
|---|---|---|
| GBDT原理详解 | ✅ 已验证 | 梯度提升、Shrinkage机制完整解析 |
| 案例数据训练 | ✅ 已验证 | 平方损失函数、均值初始化、负梯度计算 |
| 回归树构建 | ✅ 已验证 | 最佳划分节点选择、平方损失最小化 |
| 预测流程 | ✅ 已验证 | 多轮迭代预测值叠加 |

GBDT案例
GBDT 是一种集成学习方法,全称为 梯度提升决策树(Gradient Boosting Decision Tree),属于 Boosting 家族的模型。它通过多个弱学习器(通常是决策树)逐步叠加,不断优化前一次模型的预测误差,从而形成一个强学习器,常用于分类、回归等任务。
GBDT 的基本思想是:
- 初始化一个模型,通常预测一个常数(如均值)。
- 计算残差(即真实值与当前模型预测值的差值)。
- 训练一棵决策树来拟合这个残差。
- 将新树的输出加到原模型上(带上学习率系数)。
- 重复以上步骤,直到迭代次数达到设定值或误差足够小。
每一轮都是在减少前一轮模型的误差,而这个误差的减少过程可以看作是在目标损失函数上的梯度下降过程(所以叫"梯度"提升)。
数据介绍
根据如下数据,预测最后一个样本的身高。 
模型训练
设置参数: ● 学习率 learning_rate = 0.1 ● 迭代次数 n_trees = 5 ● 树的深度 max_depth = 3
开始训练 初始化弱学习器: 
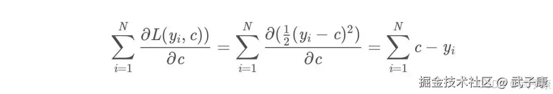
损失函数为平方损失,因为平方损失函数是一个凸函数,直接求导,导数等于0,得到c。 
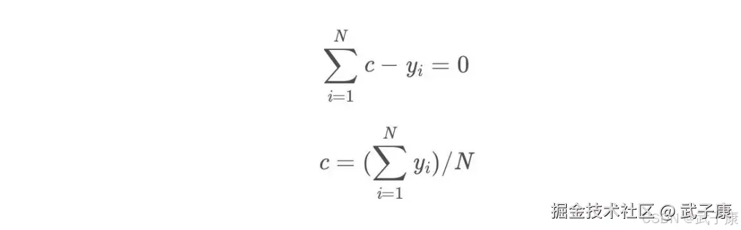
令导数等于0: 
所以初始化时,c取值为所有训练样本标签的均值,c = (1.1+1.3+1.7+1.8)/4=1.475c=(1.1+1.3+1.7+1.8)/4=1.475 此时得到初始的学习率为: f0(x) = c = 1.475
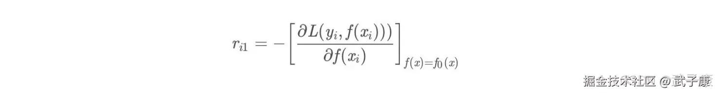
对于迭代轮数 m = 1,2...M: 由于我们设置了迭代次数,n_trees = 5, 这里 M = 5,计算负梯度,根据上文的损失函数为平方损失时,负梯度就是残差,再直白一点就是y与上一轮得到的学习器的差值: 
残差在下表:
此时残差作为样本的真实值来训练弱学习器 f1(x),即下面的数据:
接着,寻找回归树的最佳划分节点,遍历每个特征的每个可能得取值。 从年龄特征的5开始,到体重特征的70结束,分别计算分裂后两组数据的平方损失(Square Error),SEL左节点平方损失,SER右节点平方损失,找到哦啊使平方损失 SEsum = SEL + SER 最小的那个划分节点,即为最佳划分节点。
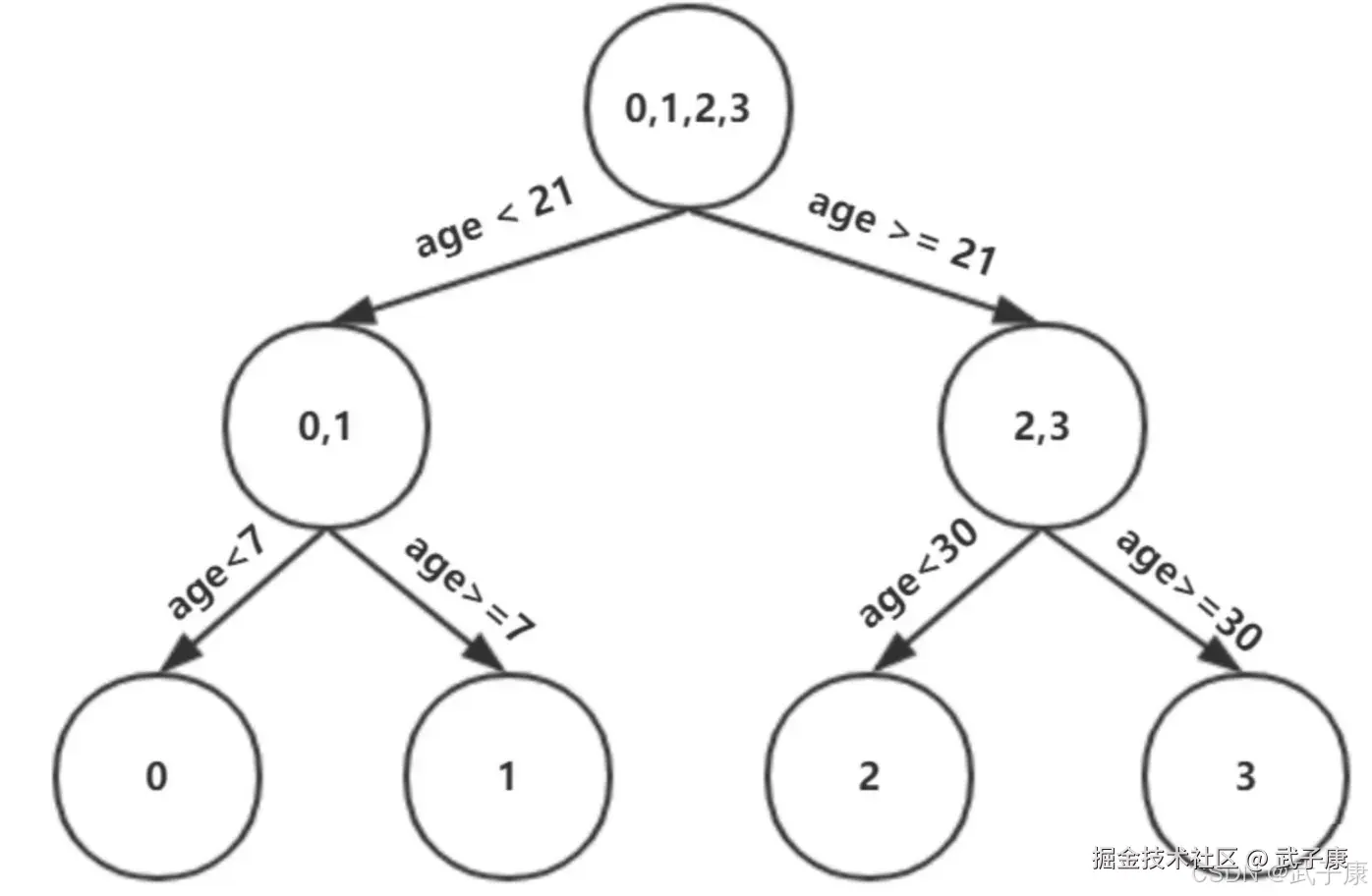
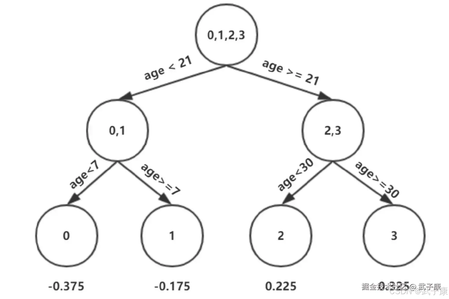
例如: 以年龄21为划分节点,将小于21的样本划分到左节点,大于21的样本划分为右节点。左节点包括x0,x1,右节点包括 x2,x3
以上划分点是总平方损失最小为0.025有两个划分点:年龄21和体重60,所以随机选一个作为划分点,这里我们选 年龄21 现在我们的第一棵树长这个样子:
我们设置的参数中的树的深度 max_depth = 3,现在树的深度只有2,需要再进行一次划分,这次划分要对左右两个节点分别进行划分:
对于左节点,只含有0,1两个样本,根据下表我们选择年龄7划分: 
对于右节点,只含有2,3两个样本,根据下表我们选择年龄30划分(也可以选体重70):
现在我们第一棵树长这个样子: 
此时我们树的深度满足了设置,还需要做一件事情,给这每个叶子节点分别赋一个参数Y,来你和残差 
这里其实和上面初始化学习器是一个道理,平方损失,求导,令导数等于0,化简之后得到每个叶子节点的参数Y,其实就是标签值的值。 这个地方标签值不是原始的Y,而是本轮要拟合的标残差 y - f0(x) 根据上述划分结果,为了方便表示,规定从左到右第1,2,3,4个叶子节点: 
此时的树长这个样子:
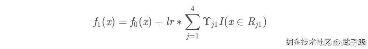
此时可更新强学习器,需要用到参数学习率:learning_rate = 0.1 ,用 lr 表示:
为什么要用学习率呢?这是 Shrinkage 的思想,如果每次都全部加上(学习率为1)很容易一步学到位导致过拟合。 重复此步骤,直到 m > 5 结束,最后生成 5 棵树。
得到最后的强学习器:

预测样本
● f0(x) = 1.475 ● 在f1(x)中,样本4的年龄为25,大于划分节点21岁,又小于30岁,所以被预测为 0.2250 ● 在f2(x)中,样本4(省略),被预测为 0.2025 ● 在f3(x)中,样本4(省略),被预测为 0.1823 ● 在f4(x)中,样本4(省略),被预测为 0.1640 ● 在f5(x)中,样本4(省略),被预测为 0.1476
最终预测结果: f(x) = 1.475 + 0.1*(0.225+0.2025+0.1823+0.164+0.1476) = 1.56714
错误速查卡
| 症状 | 根因 | 定位 | 修复 |
|---|---|---|---|
| 预测值远偏离真实值 | 学习率过大(接近1),Shrinkage机制失效 | 检查learning_rate参数设置 | 将learning_rate降至0.01~0.1范围 |
| 树深度不足但过拟合 | max_depth设置过小,叶子节点划分不充分 | 观察验证集loss曲线 | 适当增大max_depth至4~6 |
| 残差计算结果为0 | 初始化学习器错误,非样本均值 | 检查f0(x)初始化逻辑 | 平方损失下初始化为标签均值 |
| 迭代5轮后误差未下降 | 树深度为0,未真正构建决策树 | 检查max_depth是否≥1 | 设置max_depth≥1确保树有分裂能力 |