二叉树在树中是一种特殊的结构,二叉树又有好几种,完全二叉树、满二叉树等·····
目录
二叉树的概念及结构
树是一种非线性的数据结构,它是由n(n>=0)个有限结点组成一个具有层次关系的集体。
有一个特殊的结点,称为根结点,根节点没有前驱结点
除根节点外,其余结点被分成M(M>0)个互不相交的集合T1、T2、......、Tm,其中每一个集合Ti(1<= i
<= m)又是一棵结构与树类似的子树。每棵子树的根结点有且只有一个前驱,可以有0个或多个后继
因此,树是递归定义的。

注意:在树形结构中,子集之间不能有交点,否则就不可以称之位树形结构 。

树的特点

节点的度 :一个节点含有的子树的个数称为该节点的度; 如上图:A的为6
叶节点或终端节点 :度为0的节点称为叶节点; 如上图:B、C、H、I...等节点为叶节点
非终端节点或分支节点 :度不为0的节点; 如上图:D、E、F、G...等节点为分支节点
双亲节点或父节点 :若一个节点含有子节点,则这个节点称为其子节点的父节点; 如上图:A是B的父节点
孩子节点或子节点 :一个节点含有的子树的根节点称为该节点的子节点; 如上图:B是A的孩子节点
兄弟节点 :具有相同父节点的节点互称为兄弟节点; 如上图:B、C是兄弟节点
树的度 :一棵树中,最大的节点的度称为树的度; 如上图:树的度为6
节点的层次 :从根开始定义起,根为第1层,根的子节点为第2层,以此类推;
树的高度或深度 :树中节点的最大层次; 如上图:树的高度为4
堂兄弟节点 :双亲在同一层的节点互为堂兄弟;如上图:H、I互为兄弟节点
节点的祖先 :从根到该节点所经分支上的所有节点;如上图:A是所有节点的祖先
子孙 :以某节点为根的子树中任一节点都称为该节点的子孙。如上图:所有节点都是A的子孙
森林:由m(m>0)棵互不相交的树的集合称为森林;
二叉树的性质
若规定根节点的层数为1,则一棵非空二叉树的第i层上最多有 个结点.
若规定根节点的层数为1,则深度为h的二叉树的最大结点数是 .
对任何一棵二叉树, 如果度为0其叶结点个数为 , 度为2的分支结点个数为 ,则有 = +1
若规定根节点的层数为1,具有n个结点的满二叉树的深度,h= . (ps: 是log以2
为底,n+1为对数)
- 对于具有n个结点的完全二叉树,如果按照从上至下从左至右的数组顺序对所有节点从0开始编号,则对
于序号为i的结点有:
若i>0,i位置节点的双亲序号:(i-1)/2;i=0,i为根节点编号,无双亲节点
若2i+1<n,左孩子序号:2i+1,2i+1>=n否则无左孩子
若2i+2<n,右孩子序号:2i+2,2i+2>=n否则无右孩子
二叉树的存储结构
二叉树一般可以用两种结构来存储,一种是顺序结构,另一种是链式结构。
顺序结构
顺序结构就是用数组来存储,一般使用数组存储只适用完全二叉树,如果不是完全二叉树就会有空间浪费。

链式结构
链式结构是指,用链表来表示一颗二叉树,即用链表来表示元素的逻辑关系。
cs
typedef struct BinaryTreeNode
{
BTDataType data;//结点数据
struct BinaryTreeNode* left;//存储左孩子的地址
struct BinaryTreeNode* right;//存储右孩子的地址
}BTNode;
创建一颗树
cs
typedef int BTDataType;
typedef struct BinaryTreeNode
{
BTDataType data;
struct BinaryTreeNode* left;
struct BinaryTreeNode* right;
}BTNode;
BTNode* BuyNode(BTDataType x)
{
BTNode* node = (BTNode*)malloc(sizeof(BTNode));
if (node == NULL)
{
perror("malloc");
}
node->data = x;
node->left = NULL;
node->right = NULL;
return node;
}
int main()
{
BTNode* node1 = BuyNode(1);
BTNode* node2 = BuyNode(2);
BTNode* node3 = BuyNode(3);
BTNode* node4 = BuyNode(4);
BTNode* node5 = BuyNode(5);
BTNode* node6 = BuyNode(6);
//BTNode* node7 = BuyNode(7);
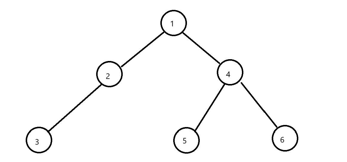
node1->left = node2;
node1->right = node4;
node2->left = node3;
node4->left = node5;
node4->right = node6;
return 0;
}
创建六个结点,使用malloc函数来开辟空间,大小为一个结构体类型,通过BuyNode函数来初始化
结点,之后我们自己链接,想怎么样链接看自己,上面代码链接后的结构:

树的遍历
树的遍历有前序遍历、中序遍历、后序遍历、以及层序遍历。
前序遍历
前序遍历也叫根序遍历,就是先遍历根结点,再遍历左结点,最后遍历右结点,一般使用递归来遍历:
代码展示:
cs
void PreOrder(BTNode* root)
{
if (root == NULL)
{
printf("NULL ");
return;
}
printf("%d ", root->data);
PreOrder(root->left);
PreOrder(root->right);
}
这里把为空的结点也打印出来了,进入函数,先判断该结点是否为空,为空就返回,不为空就打印该结点的值,接着进入下一个函数,传该结点的左孩子,循环往复,直到遇到空就返回上一个函数,进入函数传结点的右孩子,最后回到一开始的头结点,再去遍历该头结点的右孩子。
运行结果:

这就是创建一棵树后对其前序遍历的结果。
中序遍历
中序遍历是先遍历左结点,再遍历根结点,最后遍历右结点。
代码展示:
cs
void InOrder(BTNode* root)
{
if (root == NULL)
{
printf("NULL ");
return;
}
PreOrder(root->left);
printf("%d ", root->data);
PreOrder(root->right);
}
和前序遍历基本一模一样,只是遍历顺序变了。
直接看结果:

后序遍历
后序遍历是先遍历左结点,,再遍历右结点,最后遍历根结点。
代码展示:
cs
void PostOrder(BTNode* root)
{
if (root == NULL)
{
printf("NULL ");
return;
}
PreOrder(root->left);
PreOrder(root->right);
printf("%d ", root->data);
}
运行结果:

层序遍历
层序遍历是从头结点开始依次遍历,在树中如何做到依次遍历呢?单单靠树做不到依次遍历,我们需要用到队列,队列的特点是"先进先出",我们可以利用这个特点来实现树的层序遍历。
思路:第一步先把头结点入队,第二步出队再把出队的左右结点入队,循环往复,直到队列为空就停止。
也可以用这个思路来判断一颗树是否为完全二叉树。
cs
void BinaryTreeLevelOrder(BTNode* root)
{
Queue q;
QueInit(&q);
if (root)
QuePush(&q,root);
while (!QueJuS(&q))
{
BTNode* front = QueTop(&q);
QuePop(&q);
printf("%d ", front->data);
if (front->left)
QuePush(&q, front->left);
if (front->right)
QuePush(&q, front->right);
}
QueDestroy(&q);
printf("\n");
}
这里要注意的是创建队列的类型,队列里存储的是一个结点,所以类型为该树的类型。

树的结点个数计算
代码展示:
cs
int Sizetree(BTNode* root)
{
if (root == NULL)
{
return 0;
}
int sizeleft = Sizetree(root->left);
int sizeright = Sizetree(root->right);
return sizeleft + sizeright + 1;
}
运行结果:
