1.单变量 vs 多变量时序数据
单变量就是只根据时间预测,多变量还要考虑用户
2.为什么不能用机器学习预测:
a.时间不是影响标签的关键因素
b.时间与标签之间的联系过于弱/过于复杂,因此时序模型依赖于时间与时间的相关性来进行预测,但普通机器学习模型并不会考虑样本之间的相关性。
c.机器学习模型无法处理"没见过的特征值",但时序预测中时间特征永远是未曾在历史数据中出现过的、未来的日期
3.如何预测:
多步预测:如下图所示,我们将测试集上的时间分割为5段,假设t是当前的时间,我们先使用训练好的模型预测出t+d时间段的结果,将该结果加入训练集、构成全新的训练数据。即是说,我们将预测的值作为真实值加入到训练集中再对下一个单位时间进行预测,这样累加可以让训练数据的时间点与测试数据的时间点尽量接近。
图!!!!!!!!!!!!!!!!!
缺点:多步预测中可能会导致误差累加
需要注意的是,多步预测、单步预测都只适用于时间线的预测、而不适用于时间点的预测(即大部分时候不适用于多变量时间序列数据)。多变量时间序列数据在样本上可以被打乱,因此只要保证同一对象在训练集和测试集中的时间差,即可使用普通机器学习方式进行训练和预测。
4.时序模型不太实用交叉验证
传统时序模型大多是统计学模型/数学模型,这些模型在建模前需要经过层层检验以满足各种各样的先决条件,因此当这些先决条件被满足时,模型在理论上已经拥有一定的泛化能力,因此在学术界持有一派观点:统计学模型/数学模型不需要交叉验证。
如果想做:
单变量时序数据有自己独特的交叉验证方式,一般称之为时序交叉验证:先把训练集按日期顺序排序后分割,在每次验证完之后将验证时使用的样本加入训练集。如下图
图!!!!!!
多变量时序数据由于没有"不能打乱样本顺序"的铁则,因此使用普通的交叉验证也没问题。
5.时间序列模型:
a.时序预测:我们使用规则+统计学模型来完成这类预测,但只要遵守"过去预测未来"的铁律,我们也可以使用机器学习模型+多步预测等方式完成Forecasting。
b.时序有监督学习(重点):在多变量时间序列上,基于时间或时间相关的数据,完成回归或分类任务。
它对样本与样本之间的时间顺序、相关等都没有要求、反而更关注特征之间的关系,因此这类任务要求:
数据中必须存在除时间之外的其他特征,且特征越多越好
如果有必要,可以完成"去时序化"处理,将时序数据彻底变为一般机器学习数据
我们使用规则+机器学习模型来完成这类预测。
6.当代时间序列算法群
派系A:ARIMA
四种方法:
AR:自回归模型(AutoRegressive),是最典型的、最基础的统计学时序模型之一,其基本思想就是根据历史行为预测未来行为的模型。AR模型非常关注时间序列中的值与它之前和之后的值之间是否存在某种相关性,AR模型依赖于这种相关性运行。
MA:移动平均模型(Moving Average Model),同样是非常经典的统计学模型之一,使用不同于自回归模型的思路构建、也能够得到很好的效果。相比起关注过去和未来的联系,MA模型更在意每个时间点上的数值受到了外界偶然因素多大的影响。
ARIMA(最重要,综合了前两种):自回归移动平均模型(ARIMA,Autoregressive Integrated Moving Average),是名声最大、使用最广泛时间序列预测方法之一。它结合了AR模型与MA模型的思想,即关系过去对未来的影响,也关心每个时间点上的数值受到外界偶然因素的影响,因此可以应对相对复杂的时间序列数据。
SARIMA:季节性自回归综合移动平均(SARIMA),这个模型扩展了ARIMA模型、在原本模型的基础上允许ARIMA学习季节性模式,在按月、按季节或按年度呈现某种规律的数据上总是有很好的表现。
派系B:指数平滑
心的就是数据在较长一段时间内的趋势性和季节性,因此指数平滑尤其擅长处理带有系统性趋势或季节性成分的数据。
派系C:Prophet
Prophet即没有使用ARIMA一族、也没有使用指数平滑的方法,而是使用Additive Model(加法模型)作为核心完成时序预测。
加法模型是一类与机器学习模型思路高度类似、但遵守时序预测规则的模型,它能够支持非线性的时间序列趋势、同时还能够与年、周、月、季节等周期性的效应相匹配,因此非常适合用于受强烈季节性影响的时间序列。
在Facebook开发过程中,Prophet被设计成能够处理节假日效应、能够处理缺失值、能够处理异常值、甚至能够使用加法模型对非时序数据进行预测的"全能型时间序列库"。可以说,Prophet是目前为止完成度较高的时间序列库之一。
派系D:
树模型及其他高阶机器学习模型:只要对数据进行"去时序化"处理,或遵循"过去预测未来"的铁则,我们就可以使用机器学习中任何高阶有监督模型来对时间序列进行预测,例如XGBoost,LightGBM,CatBoost,DeepForest等等。(能够使用机器学习模型的前提下,我们可能不会优先选择时序模型,因为时序模型在建模过程中需要避开的陷阱实在是太多了。)
派系E:深度学习
RNN:循环神经网络,本质是全连接网络、但考虑了过去的信息,输出不仅取决于当前输入,还取决于之前的信息,因此可以被用于时间序列预测。循环神经网络的输出由之前的信息和此时的输入共同决定,是深度学习领域最基础的时序模型。
LSTM:长短期记忆网络(Long Short-Term Memory Net)是循环神经网络的变体,除了继承循环神经网络同时纳入历史和当前信息的能力之外,LSTM还可以学习序列中项目之间的顺序依赖性和时间滞后性,这意味着LSTM可以处理不连续的时间,因此它非常适合基于时间序列数据进行分类、处理和预测。LSTM的开发是为了解决在训练传统RNN时可能遇到的梯度消失问题,而对断裂的时间段相对不敏感是LSTM在众多算法中优于RNN、隐马尔可夫模型和其他序列学习方法的优势。
GRU:门控循环单元结构(Gated Recurrent Unit)是LSTM网络的一种变体,结构更加简单、参数更少、训练速度更快、训练效果更好,能够解决RNN网络中的长依赖问题也能够降低过拟合风险。在大多数时候,GRU表现出的结果与LSTM类似,但它的整体模型比LSTM更轻量。
前沿模型:
DeepAR:由Amazon提出的一种针对大量相关时间序列统一建模的预测算法,该算法使用循环神经网络 (RNN) 结合自回归(AR)来预测标量时间序列,在大量时间序列上训练自回归递归网络模型,并通过预测目标在序列每个时间步上取值的概率分布来完成预测任务。
CNN:卷积神经网络。卷积神经网络是著名的图像、视频处理的基础网络,但近年来CNN用于时序数据的研究也越发成熟。通常来说,CNN比较少被用于单变量时序数据,更多是被用于多变量时序数据上的时序有监督分类。
N-BEATS:N-BEATS 是一种定制的深度学习算法,它基于后向和前向残差链接进行单变量时间序列点预测。
Temporal Fusion Transformer(Google):时序融合transformer,一种新颖的基于注意力的架构,它结合了高性能多水平预测和对时间动态的可解释洞察力。
7.ARIMA
AR自回归模型
两个假设:
不同时间点的标签值之间强相关(highly-correlated),位于时间点t的标签值一定强烈地受到t之前的标签值的影响。在数学上,这意味着两个时间点的标签值之间的相关系数会较大。
根据时间的基本属性,两个时间点之间相隔越远,相互之间的影响越弱(例如,昨天是否下雨对今天是否下雨的影响很大,但三个月前的某天是否下雨,对明天是否下雨的影响就相对较小)
图!!!!!!!!
需要注意的是,该公式中包含两个常数项: 𝑐 和 𝑧𝑡。其中,𝑐是线性方程中惯例存在的常数项(可以为0),而 𝑧𝑡
则代表当前时间点下无法被捕捉到的某些影响,也就是白噪音(White Noise)。
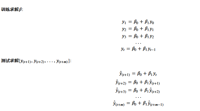
很明显,自回归模型的公式与多元线性回归相同,因此我们对自回归模型的建模几乎等同于对多元线性回归的建模。但稍有区别的是,多元线性回归中每个自变量都是一列数据,要求解的标签也是一列数据,但在自回归模型中每个自变量y都是一个样本的数值,要求解的标签y也是一个样本的数值。
图!!!!!!!!!!!!!!

要用参数估计,根据t个方程来估计
问题:
1.p如何确定?
如果模型是AR(p),则需要保证要预测的第一个日期前面至少有p天的历史记录。可以通过ACF和PACF参数确定
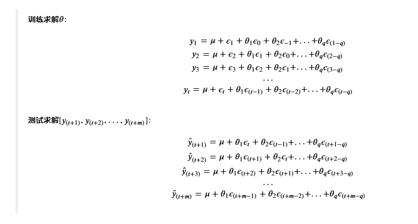
8.MA模型:
思想是:大部分时候时间序列应当是相对稳定的。在稳定的基础上,每个时间点上的标签值受过去一段时间内、不可预料的各种偶然事件影响而波动。
该模型假设:
时间序列的(长期)趋势与时间序列的(短期)波动受不同因素的影响。
不同时间点的标签值之间是关联的,但各种偶然事件在不同时间点上产生的影响之间却是相互独立的。
公式图!!!!!!!!!!!!

即均值+历史偶然事件的加和
在理想条件下,MA模型规定 𝜖 应当服从均值为0、标准差为1的正态分布,但在实际计算时,MA模型规定 𝜖
等同于模型的预测值𝑦^ 𝑡与真实标签 𝑦𝑡之间的差值(Residuals),即:𝜖𝑡=𝑦𝑡−𝑦^ 𝑡
由于偶然事件是无法被预料的、偶然事件带来的影响也是无法被预估的,因此MA模型使用预测标签与真实标签之间的差异就来代表"无法被预料、无法被估计、无法被模型捕捉的偶然事件的影响"。
训练与预测:
图!!!!!!!!!!!!!!!!!

a.q是多少:一般都设置为[1,5]之内的正整数。
我们可以使用自相关系数ACF(Auto-correlation function)、偏相关系数PACF(Partial Auto-Correlation Function)或者相关的假设检验来帮助我们确定p、q等超参数的值,其中PACF用于确定AR模型的p值,ACF用于确定MA模型的q值,假设检验则可以同时用于两种模型。
b.{ 𝜖1,𝜖2,𝜖3,...,𝜖𝑞 }分别是多少?{ 𝜇,𝜃1,𝜃2,...,𝜃𝑞 }分别是多少?
方法:使用带迭代过程的参数估计办法(如最小二乘、梯度下降等)对这些参数进行求解。先假设一组初始参数值(一般为随机数),并在迭代过程中逐渐修正这些参数。因此我们可以假设最初的 𝜇
和 𝜃1是任意随机数。
9.ARIMA模型=MA+AR
a.公式:
图!!!!!!!!!!!!!!!!

以上模型被称之为ARIMA(p,d,q)模型,其中p和q的含义与原始MA、AR模型中完全一致,且p和q可以被设置为不同的数值,而d是ARIMA模型需要的差分的阶数,也是我们在ARIMA模型当中需要重点讲解的参数。
b.差分:未来时间点标签纸减去过去时间点标签值
比如:
图!!!!!!

差分的阶数:二阶差分是两次一阶差分
差分的之滞后:往后移动几格
差分的作用:消除时间序列中的季节性、周期性、节假日等影响。
推导可得:
𝑑_𝑜𝑟𝑑𝑒𝑟_𝑦=(1−𝐵)^𝑑*𝑦𝑡,在该公式中的 𝑑也正是ARIMA模型中的超参数 𝑑
在实际使用中,我们经常将多步差分和高阶差分混用,最典型的就是在ARIMA模型建模之前:一般我们会先使用多步差分令数据满足ARIMA模型的基础建模条件,再在ARIMA模型中使用低阶的差分帮助模型更好地建模。例如,先对数据进行12步差分、再在模型中进行1阶差分,这样可以令数据变得平稳的同时、又提取出数据中的周期性,极大地提升模型对数据的拟合精度。
多步差分和高阶差分可以混用。
误区:只要数据具有趋势性/周期性,我们就可以利用差分运算将其消除
差分运算的确可以被应用到大部分有趋势性、周期性的时间序列数据上,但它不能解决所有时序数据的问题。首先,不是所有时序模型都要求数据是无趋势性、无周期性的状态,即便模型要求了,当差分运算不管用时,我们也可以使用其他方式消除数据的周期性和趋势性。
比如如果数据存在季节性,我们可以从每个观测值中减去当季所有观测点的均值,如果数据是月度数据,我们则可以让每月的观测值减去当月的均值,以此类推。如果数据随时间波动,形成类似于三角函数的波动,那我们可以让每个观测点除以周围的波动率,以消除峰值。总之,我们需要具体情况具体分析,同时积累时序数据处理的经验。
c.ARIMA对数据的基本要求:输入ARIMA的时间序列数据必须是平稳的(stationary)数据。
平稳定义:在一段时间序列中,无论时间如何变化,该序列的标签值的统计特性,
如均值、方差、协方差等属性都保持不变,那这段时间序列就是平稳的。这样过去才能预测未来。
怎么验证平稳:
绘制折线图/对时序数据进行统计并绘制直方图/做统计检验
流程:用ADF单位根检验来完成平稳性的判断------如果不平稳,则用差分运算消除数据中的趋势(如果不行就用取对数,减均值等方法)------输入ARIMA模型
ARIMA思考:ARIMA模型的假设与当代机器学习的假设一致:即时间并不是真正影响时序模型标签值的因子。这为我们后续在单变量和多变量时间序列上进行去时序化提供了一定的理论基础。
d.ACF与PACF:
自相关系数ACF衡量当前时间点上的观测值与任意历史时间点的观测值之间的相关性大小(不关心是以什么方式相关),而偏自相关系数PACF衡量当前时间点上的观测值与任意历史时间点的观测值之间的直接相关性的大小。
图如下!!!!!!!!!!!!!!!!!!!!!!!

ACF图和PACF图的横坐标相同,都是不同的滞后程度,而纵坐标是当前滞后程度下序列的ACF和PACF值。
当ACF/PACF值在蓝色区域之外时,我们就认为当前滞后程度下的ACF/PACF是统计上显著的值,即这个滞后程度下的序列之间的相关性很大程度上是信任的、不是巧合。
三种趋势:拖尾、截尾和既不拖尾也不截尾。
如何计算:ACF可以是任何能够衡量两个变量/两个序列之间相关性的相关系数,最为常见的是直接使用皮尔逊相关系数。
e.用ACF、PACF进行超参数p、q、d的确定
对ARIMA模型来说,确定p和q的值有两层含义:
1)确定要使用的具体模型是AR,MA还是ARIMA?(即,p和q中任意一个值为0吗?)
2)如果是AR模型,p的值是多少?如果是MA模型,q的值是多少?如果是ARIMA模型,p和q分别是多少?
分类:
当ACF图像呈现拖尾、且PACF图像呈现截尾状态时,当前时间序列适用AR模型,且PACF截尾的滞后阶数就是超参数p的理想值
当PACF图像呈现拖尾、且ACF图像呈现截尾状态时,当前时间序列适用MA模型,且ACF截尾的滞后阶数就是超参数q的理想值(如下图所示,q=1)。
当ACF图像和PACF图像都呈现不呈现拖尾状态时,无论图像是否截尾,时间序列都适用于ARIMA模型,且此时ACF和PACF图像无法帮助我们确定p和q的具体值,但能确认p和q一定都不为0。
方法:当确定使用AR模型时,我们用PACF决定p值。当确定使用MA模型时,我们用ACF决定q值。当确定使用ARIMA模型时,ACF和PACF是失效的,并无作用。
当确定要使用ARIMA模型时,傻瓜式尝试确定p和q值。
d:从0 1 2 3 中选择方差最小、差分后数据噪音程度较低的阶数,尽量避免过差分。我们也可以对进行差分后的数据绘制ACF图像,如果滞后为1时ACF为负数,那大概率说明此时的高阶差分会导致过差分。
几个问题:
1.是否会出现ACF和PACF都拖尾、不截尾的情况?
几乎不会出现,如果是这样的情况,可以尝试先保证时间序列平稳后再绘制ACF和PACF。
2.如果ACF或PACF拖尾,但另一个指标不截尾(比如,没有任何滞后对应的值显著),无法选择p或q的值怎么办?
同样的,尝试令序列平稳后再绘制ACF和PACF。如果依然出现相同的情况,考虑使用[1,3]之间的正整数进行尝试。如果尝试失败,则考虑直接升级为ARIMA模型。
3.如果ACF或PACF中出现多个显著的值,如何选择截断处?
这种情况下往往选择第一个截断处作为p或q的值,当然你也可以尝试其他显著的点,但一般来说都是第一个截断处效果最好。
f.时序模型的评估指标
常用赤池信息准则(Akaike Information Criterion,AIC)、贝叶斯信息准则(Bayesian Information Criterion,BIC)、汉南-奎因信息准则(Hannan--Quinn information criterion,HQIC)等
其中最常用的AIC:
𝐴𝐼𝐶=−2𝑙𝑛(𝐿)+2𝑘
𝐿可以被认为是当前模型的积极性评估指标(即模型越好、该评估指标越高),大部分情况下我们使用的是统计学模型的极大似然估计结果(MLE,Maximum Likelihood Estimation),𝑘
则代表该模型中需要被估计的参数量,而𝑙𝑛的底数为自然底数𝑒。AIC越小越好
其他指标:BIC与AIC非常相似,它对模型参数量的惩罚高于AIC,因此BIC也是越低越好,经常和AIC一起组合使用。HQIC平时使用不多,但同样作为越低越好的指标,当模型的AIC和BIC高度相似时,我们可能会对比HQIC的值来评估模型。
注意:BIC与AIC非常相似,它对模型参数量的惩罚高于AIC,因此BIC也是越低越好,经常和AIC一起组合使用。HQIC平时使用不多,但同样作为越低越好的指标,当模型的AIC和BIC高度相似时,我们可能会对比HQIC的值来评估模型。