10.多层感知机+从零实现+简介实现(与课程对应)
一、感知机
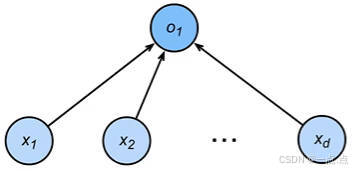
1、感知机输入输出原理:
- 输入:给定输入 x(向量)、权重 w(向量)以及偏移b(标量)。
- 计算过程:感知机的输出是权重 w 和输入 x 做累积,再加上偏移b,然后在结果上做 Sigma 函数。
- 输出类型:Sigma 函数有多种选择,感知机本质是二分类问题,输出可设置为大于 0 输出 1、小于等于 0 输出 0;也可设置为正 1 和 -1 等不同的二分类形式 。
- Softmax 对比:Softmax 针对多分类问题,输出 n 个元素;而感知机最多做二分类,输出一个元素。
- 模型定义:感知机是最早的 AI 模型之一,输出为 1 或 0,或 1 或 - 1。


2、训练感知机
- 感知机训练算法 :
- 初始设置:初始时权重 w 设为 0,偏差 b也设为 0 。
- 样本遍历:对样本从 0 开始依次遍历,针对第 i 个样本,计算 yi(标号,取值正 1 或 - 1 )乘以 w 与 xi 的内积再加上 b。
- 更新条件:若计算结果小于等于 0,表示分类错误,此时对 w 和偏差进行更新,w = w + yi * xi ,b = b + yi ,直到所有类都分类正确。
- 与梯度下降关系:该算法等价于使用批量大小为一的梯度下降,其损失函数包含标号 y 乘以 w 和 x 的内积取负号、与0取 MAX ,与0取MAX 用于根据分类是否正确决定是否更新。

3、收敛定理
- 假设条件:数据在半径为 r 的区域内,存在一个分界面,其权重的 l2 范数加起来小于等于 1 ,且存在余量 ρ(ρ > 0)使分界面能正确分类所有数据。
- 收敛情况:在上述条件下,感知机能找到最优解,且在(r² + 1)/ ρ² 次迭代后收敛,数据区域 r 越大收敛越慢,余量 ρ 越大收敛越快。

4、XOR函数
- 感知机存在的问题 :
- XOR 函数拟合失败:感知机作为线性模型,对于 XOR 函数(输入 x 和 y 相同时输出正一类,不同时输出负一类),其二维输入的分隔面为一条直线,无法正确分类所有数据。
- 导致 AI 寒冬:1969 年 Minsky 指出感知机不能拟合 XOR 函数,这直接导致了 AI 的第一个寒冬,许多人因此转行,直到 10---15 年后才有解决办法 。
5、总结
- 感知机是一个二分类模型,是最早的AI模型之一
- 它的求解算法等价于使用批量大小为1的梯度下降
- 它不能拟合XOR函数,导致的第一次AI寒冬
二、多层感知机
对于四个点的完全分类,单线性模型无法完成。多层感知机是深度学习中经常使用的模型
1、多层感知机的构建步骤
- 多层感知机的原理:先学习多个简单函数,再将这些简单函数组合起来,从一层变为多层实现复杂分类。
- 蓝色分隔面:以 x 值为依据,当 x 为 1 时放一边,x 小于 0 时放另一边,对应给一和 4、一和 3 正号,2 和 4 负号 。
- 黄色分隔面:依据 y 的值,给一和 2 正号,3 和 4 负号。
- 灰色分类器:对蓝色和黄色分类器的结果做处理,相同结果为正,不同结果为负,从而实现正确分类。



2、单隐藏层-单分类
- 隐藏层大小作为超参数的原因 :
- 输入大小固定:数据本身的维度决定了输入大小不可改变 。
- 输出大小由类别确定:输出大小取决于分类的类别数量,由数据决定 。
- 隐藏层大小可设置:在输入和输出大小都由数据确定的情况下,唯一可设置的超参数就是隐藏层大小 。
- 单隐藏层单分类模型计算过程 :
- 模型输入:输入是一个 n 维向量,用于单分类问题 。
- 隐藏层计算:隐藏层大小设为 m,有一个 m×n 的权重矩阵 W1 和一个长度为 m 的偏移向量,输入乘以权重加上偏移后经过激活函数(用 Sigma 表示)得到长度为 m 的向量 h 。
- 输出层计算:输出层权重是一个长度为 m 的向量 W2,h 与 W2 转置做累乘再加上标量偏移 B2,最终输出一个标量 o 。


- 激活函数需为非线性的原因 :
- 线性激活函数的结果:假设激活函数 Sigma (x)=x,将导致隐藏层输出 h 等于输入,代入输出层计算后,输出仍是线性函数,模型等价于单层感知机 。
- 强调激活函数性质:激活函数不能为线性函数,否则即便叠加多个全连接层,最终也只是简单的线性模型,这是实现中常犯错误 。
3、单隐藏层-多分类
- 多类分类与 Softmax :
- 多类分类本质 :与多类 Softmax 回归无本质区别,假设做 k 类分类,输出 k 个元素,经 Softmax 操作将输入拉到 0 到 1 区间且和为 1 变成概率 。
- 结构变化 :相比简单 Softmax 回归,加入一层隐藏层就变为多层感知机,输出层 W2 为 m 乘 k 矩阵,偏移 BIAS 为长度为 k 的向量,output 要做一次 Softmax。


4、多隐藏层


- 多层感知机结构 :
- 多层隐藏层:可设置多个隐藏层,如 15 层,包含第一个、第二个、第三个隐藏层等,最终连接到输出层。
- 参数与运算:每个隐藏层都有自己的权重 W 和偏移 b,输入与权重做乘法加上偏移后经过激活函数得到该隐藏层输出,此输出作为下一层输入重复运算,最后输出层不需要激活函数。
- 超参数选择 :
- 隐藏层数量:需选择设置多少个隐藏层,不同数量对模型复杂度有影响。
- 隐藏层大小:每个隐藏层的大小需配置,一般根据输入复杂度决定,若数据复杂,可选择单隐藏层但设置较大规模,也可用多隐藏层且各层规模递减,也可最下层适当扩大再缩小,但不宜先过度压缩再扩张。
- 激活函数 :
- 常用函数:多层感知机常用激活函数有 sigmoid、Tanh 和 Relu,因 Relu 简单,使用较多。
- 多分类函数:做多分类问题时使用 Softmax。
5、总结
- 多层感知机使用隐藏层和激活函数来得到非线性模型
- 常用激活函数是Sigmoid、Tanh、ReLU
- 使用Softmax来处理多类分类
- 超参数为隐藏层数,和各个隐藏层大小
三、从零实现
1、加载Fashion-MNIST图像分类数据集;返回训练集、测试集的数据迭代器
python
batch_size = 256
train_iter, test_iter = d2l.load_data_fashion_mnist(batch_size)
2、实现一个具有单隐藏层的多层感知机,它包含256个隐藏单元;初始化模型参数
python
num_inputs, num_outputs, num_hiddens = 784, 10, 256 # 输入、输出是固定的(数据决定的,是改变不了的);num_hiddens是自己设定的(超参数)
W1 = nn.Parameter(
torch.randn(num_inputs, num_hiddens, requires_grad=True)
)
b1 = nn.Parameter(
torch.zeros(num_hiddens, requires_grad=True) * 0.01
)
W2 = nn.Parameter(
torch.randn(num_hiddens, num_outputs, requires_grad=True) * 0.01
)
b2 = nn.Parameter(torch.zeros(num_outputs, requires_grad=True))
params = [W1, b1, W2, b2]
3、激活函数:实现ReLU激活函数
python
def relu(X):
a = torch.zeros_like(X)
return torch.max(X, a) # 就是返回X与0之间的最大值
4、模型;X 是 256x784,所以此处不用转置
python
def net(X):
X = X.reshape(-1, num_inputs) # 先拉成一个2维的矩阵,-1其实就是batch_size
H = relu(X @ W1 + b1) # 第一层;这里@代表矩阵乘法
return (H @ W2 + b2) # 第二层
5、损失函数
python
loss = nn.CrossEntropyLoss(reduction='none')
6、训练
python
num_epochs, lr = 10, 0.1
updater = torch.optim.SGD(params, lr=lr) # 优化器
d2l.train_ch3(net, train_iter, test_iter, loss, num_epochs, updater)
d2l.plt.show()
7、评估
python
d2l.predict_ch3(net, test_iter)
d2l.plt.show()
8、完整代码
python
import torch
from torch import nn
from d2l import torch as d2l
# 多层感知机从零开始实现
# 1、加载Fashion-MNIST图像分类数据集;返回训练集、测试集的数据迭代器
batch_size = 256
train_iter, test_iter = d2l.load_data_fashion_mnist(batch_size)
# 2、实现一个具有单隐藏层的多层感知机,它包含256个隐藏单元;初始化模型参数
num_inputs, num_outputs, num_hiddens = 784, 10, 256 # 输入、输出是固定的(数据决定的,是改变不了的);num_hiddens是自己设定的(超参数)
W1 = nn.Parameter(
torch.randn(num_inputs, num_hiddens, requires_grad=True)
)
b1 = nn.Parameter(
torch.zeros(num_hiddens, requires_grad=True) * 0.01
)
W2 = nn.Parameter(
torch.randn(num_hiddens, num_outputs, requires_grad=True) * 0.01
)
b2 = nn.Parameter(torch.zeros(num_outputs, requires_grad=True))
params = [W1, b1, W2, b2]
# 3、激活函数:实现ReLU激活函数
def relu(X):
a = torch.zeros_like(X)
return torch.max(X, a) # 就是返回X与0之间的最大值
# 4、模型;X 是 256x784,所以此处不用转置
def net(X):
X = X.reshape(-1, num_inputs) # 先拉成一个2维的矩阵,-1其实就是batch_size
H = relu(X @ W1 + b1) # 第一层;这里@代表矩阵乘法
return (H @ W2 + b2) # 第二层
# 5、损失函数
loss = nn.CrossEntropyLoss(reduction='none')
# 6、训练
num_epochs, lr = 10, 0.1
updater = torch.optim.SGD(params, lr=lr) # 优化器
d2l.train_ch3(net, train_iter, test_iter, loss, num_epochs, updater)
d2l.plt.show()
# 7、评估
d2l.predict_ch3(net, test_iter)
d2l.plt.show()
四、简洁实现
1、模型
python
net = nn.Sequential(nn.Flatten(), nn.Linear(784, 256), nn.ReLU(), nn.Linear(256, 10))
2、初始化模型参数
python
def init_weights(m):
if type(m) == nn.Linear:
nn.init.normal_(m.weight, std=0.01)
net.apply(init_weights)
3、超参数
python
batch_size, lr, num_epochs = 256, 0.1, 10
4、损失函数
python
loss = nn.CrossEntropyLoss(reduction='none')
5、优化器
python
trainer = torch.optim.SGD(net.parameters(), lr=lr)
6、训练集、测试集数据迭代器
python
train_iter, test_iter = d2l.load_data_fashion_mnist(batch_size)
7、训练
python
d2l.train_ch3(net, train_iter, test_iter, loss, num_epochs, trainer)
d2l.plt.show()
8、完整代码
python
import torch
from torch import nn
from d2l import torch as d2l
# 多层感知机的简洁实现:通过高级API更简洁地实现多层感知机
# 1、模型
net = nn.Sequential(nn.Flatten(), nn.Linear(784, 256), nn.ReLU(), nn.Linear(256, 10))
# 2、初始化模型参数
def init_weights(m):
if type(m) == nn.Linear:
nn.init.normal_(m.weight, std=0.01)
net.apply(init_weights)
# 3、超参数
batch_size, lr, num_epochs = 256, 0.1, 10
# 4、损失函数
loss = nn.CrossEntropyLoss(reduction='none')
# 5、优化器
trainer = torch.optim.SGD(net.parameters(), lr=lr)
# 6、训练集、测试集数据迭代器
train_iter, test_iter = d2l.load_data_fashion_mnist(batch_size)
# 7、训练
d2l.train_ch3(net, train_iter, test_iter, loss, num_epochs, trainer)
d2l.plt.show()
如果此文章对您有所帮助,那就请点个赞吧,收藏+关注 那就更棒啦,十分感谢!!!
