我们可以把它理解为一个理论上的长期平均结果。它是衡量一个随机变量取值的"中心"或"平均值"的最重要指标。
1. 核心思想:长期的平均值
想象你反复无数次地重复同一个随机实验,期望值就是你最终会得到的平均结果。
一个简单的例子:掷骰子
一个标准的六面骰子,每个面朝上的概率是 1/6。
它的期望值计算如下:
(1 × 1/6) + (2 × 1/6) + (3 × 1/6) + (4 × 1/6) + (5 × 1/6) + (6 × 1/6) = 3.5
这意味着,如果你掷成千上万次骰子,然后把所有结果加起来求平均,这个平均值会非常接近 3.5。
注意:3.5 这个值本身是永远不可能在一次掷骰中出现的,它代表的是长期的平均水平。
2. 数学定义
期望值通常用 E(X) 或 μ 表示。
A. 离散型随机变量
如果随机变量 X 的取值是有限个或可列个,其期望定义为:
E(X) = Σ [xᵢ * P(X=xᵢ)]
即,每个可能的取值乘以它发生的概率,然后将所有这样的乘积相加。
**举例:**抽奖活动
你参加一个抽奖,规则如下:
- 中头奖(概率 1%),奖金 1000元。
- 中安慰奖(概率 10%),奖金 100元。
- 不中奖(概率 89%),奖金 0元。
这个抽奖的期望奖金是:
E(奖金) = (1000 × 0.01) + (100 × 0.1) + (0 × 0.89) = 10 + 10 + 0 = 20元
这意味着,从长远来看,你平均每次抽奖能"期望"获得20元。如果抽奖一次需要支付25元,那么长期玩下去你会亏钱。
B. 连续型随机变量
如果随机变量 X 的概率分布由概率密度函数 f(x) 描述,其期望定义为:
E(X) = ∫ [x * f(x)] dx (积分遍布 X 的所有可能取值区间)
这可以看作是离散情况的连续版本,求和变成了积分。
**举例:**均匀分布------"等概率" 取值的平均
1. 分布背景
均匀分布描述 "随机变量在某一区间([a, b])内等概率取值" 的情况,常见场景:
- 公交车站等车时间(假设公交车每 10 分钟一班,等车时间 X ~ U [0,10] );
- 随机抽取一根 1 米长的绳子,剪断位置到端点的距离(X ~ U[0,1])。
2. 概率密度函数
若X ~ U [a, b](表示X 服从([a,b])上的均匀分布),则其概率密度函数为:
当a≤x≤b,(f(x)=1/(b−a)) 当 a≤x≤b ,( f(x) = 1/(b-a) ) 当a≤x≤b,(f(x)=1/(b−a))
当x<a或x>b,(f(x)=0) 当x<a或x>b,( f(x) = 0 ) 当x<a或x>b,(f(x)=0)
含义:区间([a,b])内,概率密度处处相等(体现"等概率");区间外密度为0(不可能取值)。
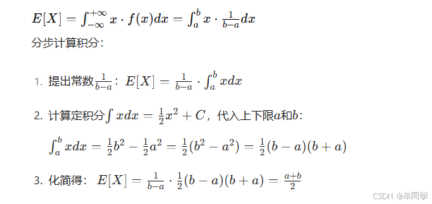
3. 期望计算
根据连续型期望公式,代入(f(x))计算(积分区间仅需考虑([a,b]),区间外(f(x)=0),积分贡献为0):

4. 实际意义
均匀分布的期望是区间([a,b])中点 ,完全符合直觉------"等概率取值时,平均值就是区间中间位置"。
例如:
- 公交车每10分钟一班,等车时间 X~U[0,10],期望(E[X] =(0+10)/2 = 5分钟(平均等5分钟);
- 绳子剪断位置X~U[0,1],期望(E[X] = 0.5)米(平均剪断在中间位置)。
3. 期望的性质(非常有用!)
期望之所以强大,是因为它有一些非常好的数学性质,无论随机变量是否独立,这些性质都成立:
-
线性性质:这是最重要的性质。
- E(aX + b) = aE(X) + b (其中 a, b 是常数)
- E(X + Y) = E(X) + E(Y) (对任意两个随机变量 X, Y 都成立)
- 更一般地:E(aX + bY + c) = aE(X) + bE(Y) + c
-
独立变量的乘积 :如果两个随机变量 X 和 Y 相互独立,那么:
- E(XY) = E(X) * E(Y)
4. 理解期望时需要注意的要点
- 期望值不等于"必然"值:就像掷骰子的期望是3.5,但你永远掷不出3.5。它描述的是整体趋势,而非单次结果。
- 期望可能没有意义:在某些分布(如柯西分布)中,期望值是不存在的(积分不收敛)。
- 期望不能完全描述分布 :两个完全不同的分布可以有相同的期望值。
- 例如,一个投资有50%概率赚100万,50%概率亏100万,期望收益是0。
- 另一个投资是100%概率不赚不亏,期望收益也是0。
- 虽然期望相同,但风险(方差)天差地别。因此,在评估风险时,我们还需要"方差"这个概念。
5、程序完整示例(c++)
下面是用C++实现概率论中期望的示例,包括离散和连续两种情况:
cpp
#include <iostream>
#include <vector>
#include <functional>
#include <cmath>
#include <iomanip>
// 离散型随机变量的期望计算
class DiscreteExpectation {
public:
// 计算离散随机变量的期望
static double calculate(const std::vector<double>& values,
const std::vector<double>& probabilities) {
if (values.size() != probabilities.size()) {
throw std::invalid_argument("Values and probabilities must have same size");
}
double expectation = 0.0;
double prob_sum = 0.0;
for (size_t i = 0; i < values.size(); ++i) {
expectation += values[i] * probabilities[i];
prob_sum += probabilities[i];
}
// 验证概率和是否为1(允许小的浮点误差)
if (std::abs(prob_sum - 1.0) > 1e-6) {
std::cout << "Warning: Probabilities sum to " << prob_sum << ", expected 1.0" << std::endl;
}
return expectation;
}
};
// 连续型随机变量的期望计算
class ContinuousExpectation {
public:
// 使用数值积分计算连续随机变量的期望
// f: 概率密度函数
// a, b: 积分区间
// n: 分割数
static double calculate(std::function<double(double)> pdf,
double a, double b, int n = 1000) {
if (a >= b) {
throw std::invalid_argument("a must be less than b");
}
double h = (b - a) / n; // 步长
double expectation = 0.0;
// 使用梯形法则进行数值积分
for (int i = 0; i <= n; ++i) {
double x = a + i * h;
double weight = (i == 0 || i == n) ? 0.5 : 1.0; // 梯形法则权重
expectation += weight * x * pdf(x);
}
expectation *= h;
return expectation;
}
};
// 示例函数
void runExamples() {
std::cout << std::fixed << std::setprecision(4);
// ==================== 离散型期望示例 ====================
std::cout << "=== 离散型随机变量期望示例 ===" << std::endl;
// 示例1: 掷骰子
{
std::vector<double> dice_values = {1, 2, 3, 4, 5, 6};
std::vector<double> dice_probs = {1.0/6, 1.0/6, 1.0/6, 1.0/6, 1.0/6, 1.0/6};
double dice_expectation = DiscreteExpectation::calculate(dice_values, dice_probs);
std::cout << "1. 掷骰子期望: " << dice_expectation << std::endl;
std::cout << " (理论值: 3.5000)" << std::endl << std::endl;
}
// 示例2: 抽奖活动
{
std::vector<double> lottery_values = {1000, 100, 0}; // 奖金
std::vector<double> lottery_probs = {0.01, 0.10, 0.89}; // 概率
double lottery_expectation = DiscreteExpectation::calculate(lottery_values, lottery_probs);
std::cout << "2. 抽奖活动期望奖金: " << lottery_expectation << "元" << std::endl;
std::cout << " (理论值: 20.0000)" << std::endl;
// 分析是否值得参与
double ticket_price = 25.0;
std::cout << " 门票价格: " << ticket_price << "元" << std::endl;
std::cout << " 期望收益: " << (lottery_expectation - ticket_price) << "元" << std::endl;
std::cout << " 结论: " << ((lottery_expectation > ticket_price) ? "值得参与" : "不值得参与")
<< std::endl << std::endl;
}
// 示例3: 二项分布 (抛10次硬币,正面次数)
{
int n_trials = 10;
double p_success = 0.5;
std::vector<double> binomial_values;
std::vector<double> binomial_probs;
for (int k = 0; k <= n_trials; ++k) {
// 二项分布概率: C(n,k) * p^k * (1-p)^(n-k)
double prob = std::tgamma(n_trials + 1) / (std::tgamma(k + 1) * std::tgamma(n_trials - k + 1))
* std::pow(p_success, k) * std::pow(1 - p_success, n_trials - k);
binomial_values.push_back(k);
binomial_probs.push_back(prob);
}
double binomial_expectation = DiscreteExpectation::calculate(binomial_values, binomial_probs);
std::cout << "3. 抛10次硬币正面次数的期望: " << binomial_expectation << std::endl;
std::cout << " (理论值: " << n_trials * p_success << ")" << std::endl << std::endl;
}
// ==================== 连续型期望示例 ====================
std::cout << "=== 连续型随机变量期望示例 ===" << std::endl;
// 示例4: 均匀分布 (公交车等待时间)
{
double a = 0.0, b = 60.0; // 等待时间在0-60分钟之间均匀分布
// 均匀分布的概率密度函数
auto uniform_pdf = [a, b](double x) {
return (x >= a && x <= b) ? 1.0 / (b - a) : 0.0;
};
double uniform_expectation = ContinuousExpectation::calculate(uniform_pdf, a, b);
std::cout << "4. 公交车等待时间期望: " << uniform_expectation << "分钟" << std::endl;
std::cout << " (理论值: " << (a + b) / 2 << ")" << std::endl << std::endl;
}
// 示例5: 指数分布 (设备寿命)
{
double lambda = 0.1; // 失效率
// 指数分布的概率密度函数
auto exponential_pdf = [lambda](double x) {
return (x >= 0) ? lambda * std::exp(-lambda * x) : 0.0;
};
double exp_expectation = ContinuousExpectation::calculate(exponential_pdf, 0, 100);
std::cout << "5. 指数分布设备寿命期望: " << exp_expectation << "小时" << std::endl;
std::cout << " (理论值: " << 1.0 / lambda << ")" << std::endl << std::endl;
}
// 示例6: 正态分布
{
double mu = 5.0, sigma = 2.0; // 均值和标准差
// 正态分布的概率密度函数
auto normal_pdf = [mu, sigma](double x) {
return (1.0 / (sigma * std::sqrt(2 * M_PI)))
* std::exp(-0.5 * std::pow((x - mu) / sigma, 2));
};
// 在[μ-3σ, μ+3σ]区间积分,覆盖99.7%的概率
double normal_expectation = ContinuousExpectation::calculate(normal_pdf, mu - 3*sigma, mu + 3*sigma, 2000);
std::cout << "6. 正态分布N(" << mu << "," << sigma << ")的期望: " << normal_expectation << std::endl;
std::cout << " (理论值: " << mu << ")" << std::endl << std::endl;
}
}
// 演示期望的线性性质
void demonstrateLinearity() {
std::cout << "=== 期望的线性性质演示 ===" << std::endl;
// 定义两个离散随机变量
std::vector<double> X_values = {1, 2, 3};
std::vector<double> X_probs = {0.2, 0.5, 0.3};
std::vector<double> Y_values = {10, 20};
std::vector<double> Y_probs = {0.6, 0.4};
// 计算 E(X) 和 E(Y)
double E_X = DiscreteExpectation::calculate(X_values, X_probs);
double E_Y = DiscreteExpectation::calculate(Y_values, Y_probs);
std::cout << "E(X) = " << E_X << std::endl;
std::cout << "E(Y) = " << E_Y << std::endl;
// 验证线性性质: E(aX + bY + c) = aE(X) + bE(Y) + c
double a = 2.0, b = 3.0, c = 5.0;
double linear_combination = a * E_X + b * E_Y + c;
std::cout << "E(" << a << "X + " << b << "Y + " << c << ") = "
<< a << "*E(X) + " << b << "*E(Y) + " << c << " = "
<< linear_combination << std::endl;
std::cout << "这验证了期望的线性性质: E(aX + bY + c) = aE(X) + bE(Y) + c" << std::endl;
}
int main() {
try {
std::cout << "概率论中期望的C++实现示例" << std::endl;
std::cout << "=========================================" << std::endl;
runExamples();
demonstrateLinearity();
} catch (const std::exception& e) {
std::cerr << "错误: " << e.what() << std::endl;
return 1;
}
return 0;
}
主要特性:
1. 离散型期望
- 掷骰子:6个面概率相等,期望3.5
- 抽奖活动:不同奖项对应不同概率
- 二项分布:抛硬币正面次数的期望
2. 连续型期望
- 均匀分布:公交车等待时间
- 指数分布:设备寿命
- 正态分布:使用数值积分近似计算
3. 期望性质验证
- 线性性质的数学验证
编译和运行:
bash
g++ -std=c++11 -o expectation expectation.cpp -lm
./expectation
输出示例:
=== 离散型随机变量期望示例 ===
1. 掷骰子期望: 3.5000
(理论值: 3.5000)
2. 抽奖活动期望奖金: 20.0000元
(理论值: 20.0000)
门票价格: 25.0000元
期望收益: -5.0000元
结论: 不值得参与
=== 连续型随机变量期望示例 ===
4. 公交车等待时间期望: 30.0000分钟
(理论值: 30.0000)
关键理解点:
- 离散期望 = Σ(值 × 概率)
- 连续期望 = ∫(x × 概率密度函数)dx
- 期望值是长期平均值,单次结果可能不同
- 线性性质让复杂计算变得简单
总结
- 是什么:期望是随机变量所有可能值按其发生概率加权后的"长期"平均值。
- 怎么算:离散型用加权求和,连续型用积分。
- 为什么重要:它提供了预测长期行为、进行理性决策(如投资、保险)的核心理论工具。它的线性性质使其在复杂计算中非常方便。
- 局限:它不提供关于风险或波动性的任何信息。