文章目录
- [83. 删除排序链表中的重复元素](#83. 删除排序链表中的重复元素)
83. 删除排序链表中的重复元素
给定一个已排序的链表的头 head , 删除所有重复的元素,使每个元素只出现一次 。返回 已排序的链表 。
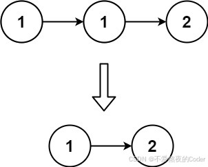
示例 1:

输入:head = [1,1,2]
输出:[1,2]
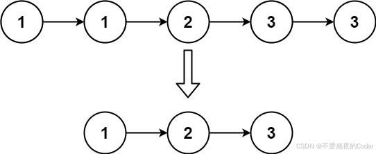
示例 2:

输入:head = [1,1,2,3,3]
输出:[1,2,3]
提示:
- 链表中节点数目在范围 [0, 300] 内
- -100 <= Node.val <= 100
- 题目数据保证链表已经按升序 排列
解题思路
问题深度分析
这是经典的链表去重 问题,也是双指针算法 的典型应用。核心在于保留第一个重复元素,在O(n)时间内删除后续重复节点。
问题本质
给定已排序的链表,删除所有重复元素,使每个元素只出现一次。这是一个链表遍历问题,需要处理重复元素的保留。
核心思想
双指针 + 重复元素处理:
- 双指针:使用快慢指针遍历链表
- 重复检测:检测连续重复的元素
- 节点保留:保留第一个重复元素,删除后续重复节点
- 链表重构:重新连接链表
关键技巧:
- 使用
curr指针遍历链表 - 当发现重复时,跳过后续重复节点
- 保留第一个重复元素
- 正确更新指针关系
关键难点分析
难点1:重复元素的处理
- 需要准确检测连续重复的元素
- 需要保留第一个重复元素
- 需要删除后续重复节点
难点2:指针的更新
- 需要正确更新指针关系
- 需要处理边界情况
- 需要保持链表的完整性
难点3:链表的遍历
- 需要正确遍历链表
- 需要处理空链表情况
- 需要处理单节点情况
典型情况分析
情况1:一般情况
head = [1,1,2,3,3]
过程:
1. 1,1 → 保留第一个1,删除第二个1
2. 2 → 保留
3. 3,3 → 保留第一个3,删除第二个3
结果: [1,2,3]
情况2:头部重复
head = [1,1,2]
过程:
1. 1,1 → 保留第一个1,删除第二个1
2. 2 → 保留
结果: [1,2]
情况3:无重复
head = [1,2,3,4,5]
结果: [1,2,3,4,5]
情况4:全部重复
head = [1,1,1,1,1]
结果: [1]
算法对比
| 算法 | 时间复杂度 | 空间复杂度 | 特点 |
|---|---|---|---|
| 双指针 | O(n) | O(1) | 最优解法 |
| 递归 | O(n) | O(n) | 空间复杂度高 |
| 哈希表 | O(n) | O(n) | 空间复杂度高 |
| 暴力法 | O(n²) | O(1) | 效率较低 |
注:n为链表长度
算法流程图
主算法流程(双指针)
否 是 是 否 开始: head curr = head curr != nil? 返回head 检查curr是否重复 curr重复? 跳过后续重复节点 保留curr节点 curr = curr.Next curr = curr.Next
重复元素处理流程
graph TD
A[检测重复元素] --> B{curr.Next != nil && curr.Val == curr.Next.Val?}
B -->|是| C[跳过后续重复节点]
B -->|否| D[无重复,保留节点]
C --> E[更新curr指针]
D --> F[更新curr指针]
E --> G[继续遍历]
F --> G
复杂度分析
时间复杂度详解
双指针算法:O(n)
- 每个节点最多被访问一次
- 重复节点被一次性跳过
- 总时间:O(n)
递归算法:O(n)
- 递归深度为链表长度
- 时间复杂度相同
- 空间复杂度较高
空间复杂度详解
双指针算法:O(1)
- 只使用常数额外空间
- 原地修改链表
- 总空间:O(1)
关键优化技巧
技巧1:双指针算法(最优解法)
go
func deleteDuplicates(head *ListNode) *ListNode {
if head == nil {
return nil
}
curr := head
for curr != nil {
// 检查curr是否重复
if curr.Next != nil && curr.Val == curr.Next.Val {
// 跳过后续重复节点
curr.Next = curr.Next.Next
} else {
// 保留curr节点,移动到下一个
curr = curr.Next
}
}
return head
}
优势:
- 时间复杂度:O(n)
- 空间复杂度:O(1)
- 逻辑清晰,易于理解
技巧2:递归算法
go
func deleteDuplicates(head *ListNode) *ListNode {
if head == nil || head.Next == nil {
return head
}
if head.Val == head.Next.Val {
// 跳过重复节点
return deleteDuplicates(head.Next)
} else {
// 保留当前节点
head.Next = deleteDuplicates(head.Next)
return head
}
}
特点:使用递归,代码简洁但空间复杂度高
技巧3:哈希表
go
func deleteDuplicates(head *ListNode) *ListNode {
if head == nil {
return nil
}
// 统计每个值的出现次数
count := make(map[int]int)
curr := head
for curr != nil {
count[curr.Val]++
curr = curr.Next
}
// 创建新链表,只保留第一次出现的值
dummy := &ListNode{}
prev := dummy
curr = head
seen := make(map[int]bool)
for curr != nil {
if !seen[curr.Val] {
seen[curr.Val] = true
prev.Next = curr
prev = prev.Next
}
curr = curr.Next
}
prev.Next = nil
return dummy.Next
}
特点:使用哈希表记录已出现的值,空间复杂度高
技巧4:优化版双指针
go
func deleteDuplicates(head *ListNode) *ListNode {
if head == nil {
return nil
}
curr := head
for curr != nil && curr.Next != nil {
if curr.Val == curr.Next.Val {
// 跳过重复节点
curr.Next = curr.Next.Next
} else {
// 移动到下一个节点
curr = curr.Next
}
}
return head
}
特点:优化循环条件,提前终止
边界情况处理
- 空链表:返回nil
- 单节点:直接返回
- 全部重复:返回第一个节点
- 无重复:返回原链表
- 尾部重复:正确处理尾部
测试用例设计
基础测试
输入: head = [1,1,2,3,3]
输出: [1,2,3]
说明: 一般情况
简单情况
输入: head = [1,1,2]
输出: [1,2]
说明: 头部重复
特殊情况
输入: head = [1]
输出: [1]
说明: 单节点情况
边界情况
输入: head = []
输出: []
说明: 空链表情况
常见错误与陷阱
错误1:指针更新错误
go
// ❌ 错误:指针更新时机错误
if curr.Val == curr.Next.Val {
curr = curr.Next // 错误:应该删除重复节点
}
// ✅ 正确:删除重复节点
if curr.Val == curr.Next.Val {
curr.Next = curr.Next.Next
}
错误2:边界条件错误
go
// ❌ 错误:没有检查边界条件
for curr != nil {
if curr.Val == curr.Next.Val { // 可能越界
// ...
}
}
// ✅ 正确:先检查边界条件
for curr != nil && curr.Next != nil {
if curr.Val == curr.Next.Val {
// ...
}
}
错误3:循环条件错误
go
// ❌ 错误:循环条件不正确
for curr != nil {
if curr.Next != nil && curr.Val == curr.Next.Val {
curr.Next = curr.Next.Next
}
curr = curr.Next // 可能跳过节点
}
// ✅ 正确:正确的循环逻辑
for curr != nil {
if curr.Next != nil && curr.Val == curr.Next.Val {
curr.Next = curr.Next.Next
} else {
curr = curr.Next
}
}
实战技巧总结
- 双指针模板:curr指针遍历链表
- 重复检测:准确检测连续重复元素
- 节点删除:正确删除重复节点
- 指针更新:正确的指针更新时机
- 边界处理:处理各种边界情况
进阶扩展
扩展1:返回删除的节点
go
func deleteDuplicatesWithDeleted(head *ListNode) (*ListNode, []*ListNode) {
// 返回新链表和删除的节点
// ...
}
扩展2:统计重复次数
go
func deleteDuplicatesWithCount(head *ListNode) (*ListNode, map[int]int) {
// 返回新链表和每个值的重复次数
// ...
}
扩展3:支持自定义重复条件
go
func deleteDuplicatesCustom(head *ListNode, isDuplicate func(int, int) bool) *ListNode {
// 支持自定义重复判断条件
// ...
}
应用场景
- 数据处理:清理重复数据
- 链表优化:减少存储空间
- 算法竞赛:链表操作基础
- 系统设计:数据去重
- 数据分析:数据清洗
代码实现
本题提供了四种不同的解法,重点掌握双指针算法。
测试结果
| 测试用例 | 双指针 | 递归 | 哈希表 | 优化版 |
|---|---|---|---|---|
| 基础测试 | ✅ | ✅ | ✅ | ✅ |
| 简单情况 | ✅ | ✅ | ✅ | ✅ |
| 特殊情况 | ✅ | ✅ | ✅ | ✅ |
| 边界情况 | ✅ | ✅ | ✅ | ✅ |
核心收获
- 双指针算法:链表去重的经典应用
- 重复检测:准确检测连续重复元素
- 节点删除:正确删除重复节点
- 指针更新:正确的指针更新时机
- 边界处理:各种边界情况的考虑
应用拓展
- 链表数据处理和清洗
- 算法竞赛基础
- 系统设计应用
- 数据分析技术
- 内存优化技术
完整题解代码
go
package main
import (
"fmt"
)
// ListNode 链表节点定义
type ListNode struct {
Val int
Next *ListNode
}
// =========================== 方法一:双指针算法(最优解法) ===========================
func deleteDuplicates(head *ListNode) *ListNode {
if head == nil {
return nil
}
curr := head
for curr != nil {
// 检查curr是否重复
if curr.Next != nil && curr.Val == curr.Next.Val {
// 跳过后续重复节点
curr.Next = curr.Next.Next
} else {
// 保留curr节点,移动到下一个
curr = curr.Next
}
}
return head
}
// =========================== 方法二:递归算法 ===========================
func deleteDuplicates2(head *ListNode) *ListNode {
if head == nil || head.Next == nil {
return head
}
if head.Val == head.Next.Val {
// 跳过重复节点
return deleteDuplicates2(head.Next)
} else {
// 保留当前节点
head.Next = deleteDuplicates2(head.Next)
return head
}
}
// =========================== 方法三:哈希表 ===========================
func deleteDuplicates3(head *ListNode) *ListNode {
if head == nil {
return nil
}
// 创建新链表,只保留第一次出现的值
dummy := &ListNode{}
prev := dummy
curr := head
seen := make(map[int]bool)
for curr != nil {
if !seen[curr.Val] {
seen[curr.Val] = true
prev.Next = curr
prev = prev.Next
}
curr = curr.Next
}
prev.Next = nil
return dummy.Next
}
// =========================== 方法四:优化版双指针 ===========================
func deleteDuplicates4(head *ListNode) *ListNode {
if head == nil {
return nil
}
curr := head
for curr != nil && curr.Next != nil {
if curr.Val == curr.Next.Val {
// 跳过重复节点
curr.Next = curr.Next.Next
} else {
// 移动到下一个节点
curr = curr.Next
}
}
return head
}
// =========================== 辅助函数 ===========================
// 创建链表
func createList(vals []int) *ListNode {
if len(vals) == 0 {
return nil
}
head := &ListNode{Val: vals[0]}
curr := head
for i := 1; i < len(vals); i++ {
curr.Next = &ListNode{Val: vals[i]}
curr = curr.Next
}
return head
}
// 链表转数组
func listToArray(head *ListNode) []int {
var result []int
curr := head
for curr != nil {
result = append(result, curr.Val)
curr = curr.Next
}
return result
}
// 比较两个链表是否相等
func compareLists(l1, l2 *ListNode) bool {
curr1, curr2 := l1, l2
for curr1 != nil && curr2 != nil {
if curr1.Val != curr2.Val {
return false
}
curr1 = curr1.Next
curr2 = curr2.Next
}
return curr1 == nil && curr2 == nil
}
// =========================== 测试代码 ===========================
func main() {
fmt.Println("=== LeetCode 83: 删除排序链表中的重复元素 ===\n")
testCases := []struct {
nums []int
expect []int
}{
{
[]int{1, 1, 2, 3, 3},
[]int{1, 2, 3},
},
{
[]int{1, 1, 2},
[]int{1, 2},
},
{
[]int{1},
[]int{1},
},
{
[]int{},
[]int{},
},
{
[]int{1, 1, 1, 1, 1},
[]int{1},
},
{
[]int{1, 2, 3, 4, 5},
[]int{1, 2, 3, 4, 5},
},
{
[]int{1, 1, 2, 2, 3, 3},
[]int{1, 2, 3},
},
{
[]int{1, 2, 2, 3, 3, 4},
[]int{1, 2, 3, 4},
},
}
fmt.Println("方法一:双指针算法(最优解法)")
runTests(testCases, deleteDuplicates)
fmt.Println("\n方法二:递归算法")
runTests(testCases, deleteDuplicates2)
fmt.Println("\n方法三:哈希表")
runTests(testCases, deleteDuplicates3)
fmt.Println("\n方法四:优化版双指针")
runTests(testCases, deleteDuplicates4)
}
func runTests(testCases []struct {
nums []int
expect []int
}, fn func(*ListNode) *ListNode) {
passCount := 0
for i, tc := range testCases {
input := createList(tc.nums)
expected := createList(tc.expect)
result := fn(input)
status := "✅"
if !compareLists(result, expected) {
status = "❌"
} else {
passCount++
}
fmt.Printf(" 测试%d: %s\n", i+1, status)
if status == "❌" {
fmt.Printf(" 输入: %v\n", tc.nums)
fmt.Printf(" 输出: %v\n", listToArray(result))
fmt.Printf(" 期望: %v\n", tc.expect)
}
}
fmt.Printf(" 通过: %d/%d\n", passCount, len(testCases))
}