循环神经网络
学习目标
- 能够说出循环神经网络的概念和作用
- 能够说出循环神经网络的类型和应用场景
- 能够说出LSTM的作用和原理
- 能够说出GRU的作用和原理
1. 循环神经网络的介绍
为什么有了神经网络还需要有循环神经网络?
在普通的神经网络中,信息的传递是单向的,这种限制虽然使得网络变得更容易学习,但在一定程度上也减弱了神经网络模型的能力。
特别是**在很多现实任务中,网络的输出不仅和当前时刻的输入相关,也和其过去一段时间的输出相关。此外,普通网络难以处理时序数据,比如视频、语音、文本等,时序数据的长度一般是不固定的,而前馈神经网络要求输入和输出的维数都是固定的,不能任意改变。**因此,当处理这一类和时序相关的问题时,就需要一种能力更强的模型。
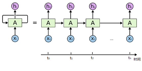
循环神经网络(Recurrent Neural Network,RNN)是一类具有短期记忆能力的神经网络。在循环神经网络中,神经元不但可以接受其它神经元的信息,也可以接受自身的信息,形成具有环路的网络结构。
换句话说:神经元的输出可以在下一个时间步直接作用到自身(作为输入)

通过简化图,我们看到RNN比传统的神经网络多了一个循环圈,这个循环表示的就是在下一个时间步(Time Step)上会返回作为输入的一部分,我们把RNN在时间点上展开,得到的图形如下:

或者是:

在不同的时间步,RNN的输入都将与之前的时间状态有关, t n t_n tn时刻网络的输出结果是该时刻的输入和所有历史共同作用的结果,这就达到了对时间序列建模的目的。
RNN的不同表示和功能可以通过下图看出:

- 图1:固定长度的输入和输出 (e.g. 图像分类)
- 图2:序列输出 (e.g.图像转文字)
- 图3:数列输入 (e.g. 文本分类)
- 图4:异步的序列输入和输出(e.g.文本翻译).
- 图5:同步的序列输入和输出 (e.g. 根据视频的每一帧来对视频进行分类)
2. LSTM和GRU
2.1 LSTM的基础介绍
假如现在有这样一个需求,根据现有文本预测下一个词语,
比如 天上的云朵漂浮在__,通过间隔不远的位置就可以预测出来词语是 天上,但是 对于其他一些句子,可能需要被预测的词语在前100个词语之前,那么此时由于间隔非常大,随着间隔的增加可能会导致真实的预测值对结果的影响变的非常小,而无法非常好的进行预测(RNN中的长期依赖问题(long-Term Dependencies))。那么为了解决这个问题需要LSTM (Long Short-Term Memory网络)LSTM是一种RNN特殊的类型,可以学习长期依赖信息。
在很多问题上,LSTM都取得相当巨大的成功,并得到了广泛的应用。
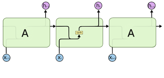
一个LSTM的单元就是下图中的一个绿色方框中的内容:

其中 σ \sigma σ 表示sigmod函数,其他符号的含义:

2.2 LSTM的核心

LSTM的核心在于单元(细胞)中的状态,也就是上图中最上面的那根线。
但是如果只有上面那一条线,那么没有办法实现信息的增加或者删除,所以在LSTM是通过一个叫做 门 的结构实现,门可以选择让信息通过或者不通过。
这个门主要是通过sigmoid和点乘(pointwise multiplication)实现的。

我们都知道, s i g m o i d sigmoid sigmoid 函数的取值范围是在(0,1)之间,如果接近 0 表示不让任何信息通过,如果接近 1 表示所有的信息都会通过。
sigmoid函数图像:

2.3 逐步理解LSTM
2.3.1 遗忘门
遗忘门通过 sigmoid 函数来决定哪些信息会被遗忘。
在下图就是 h t − 1 h_{t-1} ht−1 和 x t x_t xt 进行合并(concat)之后乘上权重和偏置,通过sigmoid函数,输出0-1之间的一个值,这个值会和前一次的细胞状态( C t − 1 C_{t-1} Ct−1) 进行点乘,从而决定遗忘或者保留。
下面公式中的 [ h t − 1 , x t ] [h_{t-1},x_{t}] [ht−1,xt] 表示上一时刻的隐藏状态 , x t x_{t} xt 表示当前的输入 ,表示上一个时间步 h t − 1 h_{t-1} ht−1的状态值和当前 x t x_{t} xt 的输入参数进行合并。
W f W_f Wf:遗忘门的权重矩阵

公式:
f t = σ ( W f . [ h t − 1 , x t ] + b f ) f_{t} = \sigma(W_{f}.[h_{t-1},x_{t}] + b_{f} ) ft=σ(Wf.[ht−1,xt]+bf)
上面公式解释,这里包含几个部分:
- h t − 1 h_{t-1} ht−1:上一时刻的隐藏状态(记忆中的"总结")
- x t x_t xt:当前时刻的输入(新的信息)
-
h t − 1 , x t \] \[h_{t-1}, x_t\] \[ht−1,xt\]:把它们拼接成一个向量,concat合并
- b f b_f bf:偏置项(bias)
- σ \sigma σ:sigmoid 函数,输出范围在 (0,1)
那么 W f W_f Wf 到底是什么?
- 它是一个 可学习的参数矩阵,在模型训练过程中会不断更新。
- 作用:把输入 [ h t − 1 , x t ] [h_{t-1}, x_t] [ht−1,xt] 映射到 "遗忘门" 的维度。
- 大小:取决于隐藏层单元数。例如,若隐藏层维度是 n n n,而 [ h t − 1 , x t ] [h_{t-1}, x_t] [ht−1,xt] 的长度是 m m m,那么 W f W_f Wf 的大小就是 ( n × m ) (n \times m) (n×m)。
换句话说, W f W_f Wf 决定了:
- 当前输入 x t x_t xt 和过去记忆 h t − 1 h_{t-1} ht−1 对遗忘门的影响有多大。
- 例如,某些词(比如语气词"啊、呢")可能对语义没什么帮助, W f W_f Wf 学习后会让遗忘门输出接近 0 → 把它遗忘。
- 而像 "苹果" "银行" 这种关键字,可能输出接近 1 → 保留下来。
通俗类比
你可以把 W f W_f Wf 理解成 "注意力调节旋钮":
- 它根据 "旧记忆" 和 "新输入" 的组合,决定当前要忘记多少旧的信息。
- 模型训练时,就像不断调整旋钮,让它学会哪些信息应该记住,哪些要忘掉。
✅ 总结:
- W f W_f Wf 是遗忘门的 权重矩阵,是模型要学习的参数。
- 它的作用是把 [ h t − 1 , x t ] [h_{t-1}, x_t] [ht−1,xt] 转换成一个"遗忘分数",用 sigmoid 压缩到 0~1 之间,指导模型在更新记忆时"忘掉多少旧信息"。
2.3.2 输入门
在 LSTM 里,输入门的作用是控制 "新信息" 进入记忆单元的多少。
它不像遗忘门那样管理旧记忆,而是决定哪些新的内容值得写进 " 长期记忆本子 "。

下一步就是决定哪些新的信息会被保留,这个过程有两步:
- 一个被称为
输入门的sigmoid 层决定哪些信息会被更新 tanh会创造一个新的候选向量 C ~ t \widetilde{C}_{t} C t,后续可能会被添加到细胞状态中。- 双曲正切函数 t a n h tanh tanh
例如:
我昨天吃了苹果,今天我想吃菠萝,在这个句子中,通过遗忘门可以遗忘苹果,同时更新新的主语为菠萝。
现在就可以更新旧的细胞状态 C t − 1 C_{t-1} Ct−1为新的 C t C_{ t } Ct 了。
更新的构成很简单就是:
- 旧的细胞状态和遗忘门的结果相乘。
- 然后加上 输入门和tanh相乘的结果。

输入门的作用:
-
作用:决定 哪些新的信息需要写入记忆单元。
-
解释:
- i t i_t it(输入门系数):输入门的 "开关系数" ,决定新信息要不要写入(0~1)。
- C ~ t \tilde{C}_t C~t:一个候选的新信息向量(由 tanh 生成,值在 -1~1),取值范围在 [ − 1 , 1 ] [-1, 1] [−1,1]。
最终新的记忆会由旧记忆和新信息结合起来:
C t = f t ∗ C t − 1 + i t ∗ C ~ t C_t = f_t * C_{t-1} + i_t * \tilde{C}_t Ct=ft∗Ct−1+it∗C~t
- f t f_t ft:遗忘门输出,表示"旧记忆保留多少"。
- C t − 1 C_{t-1} Ct−1:上一步的细胞状态。
- i t ∗ C ~ t i_t * \tilde{C}_t it∗C~t:新的信息,经过输入门筛选后写入。
W i W_i Wi ------ 输入门的权重矩阵
-
作用:控制"哪些新信息可以进入记忆"。
-
细节:
- W i W_i Wi 把拼接后的向量 [ h t − 1 , x t ] [h_{t-1}, x_t] [ht−1,xt] 映射到一个和 记忆单元维度相同的向量。
- 经过 sigmoid 压缩到 0 ∼ 1 0 \sim 1 0∼1,形成 输入门系数 i t i_t it。
- i t i_t it 相当于一个"过滤器/开关",逐元素决定是否允许某一维的新信息写入。
👉 类比:
想象你在做笔记, W i W_i Wi 就像是你的"注意力分配规则",它决定哪些内容值得写进笔记,哪些应该忽略。
W C W_C WC ------ 候选记忆的权重矩阵
-
作用:生成 候选的新信息向量 C ~ t \tilde{C}_t C~t。
-
细节:
- W C W_C WC 同样接收 [ h t − 1 , x t ] [h_{t-1}, x_t] [ht−1,xt],但它的任务不是做"开关",而是 生成新的候选内容。
- 经过 tanh \tanh tanh 压缩,范围在 [ − 1 , 1 ] [-1, 1] [−1,1],得到可能写入记忆单元的新信息。
👉 类比:
这就像你在读书时,看到一段内容,你脑子里会先把它整理成一个 "候选笔记"。但这个候选笔记 是否写进本子 ,要看输入门 i t i_t it 是否允许。
2.3.3 输出门
最后,我们需要决定什么信息会被输出,也是一样这个输出经过变换之后会通过sigmoid函数的结果来决定那些细胞状态会被输出。

步骤如下:
- 前一次的输出和当前时间步的输入的组合结果通过sigmoid函数进行处理得到 O t O_t Ot
- 更新后的细胞状态 C t C_t Ct 会经过tanh层的处理,把数据转化到(-1,1)的区间
- tanh 处理后的结果和 O t O_t Ot 进行相乘,把结果输出同时传到下一个 LSTM 的单元
2.4 GRU,LSTM的变形
GRU(Gated Recurrent Unit),是一种LSTM的变形版本, 它将遗忘和输入门组合成一个"更新门"。它还合并了单元状态和隐藏状态,并进行了一些其他更改,由于他的模型比标准LSTM模型简单,所以越来越受欢迎。
在GRU(门控循环单元)公式中,图像中的各个符号代表以下含义:
- h t − 1 h_{t-1} ht−1:前一个时间步的隐状态(即时间步 t − 1 t-1 t−1 时的GRU单元输出)。
- x t x_{t} xt:当前时间步 t t t 的输入。
- W z , W r , W W_z, W_r, W Wz,Wr,W:这些是更新门( z t z_t zt)、重置门( r t r_t rt)和候选隐状态( h ~ t \tilde{h}_t h~t)的权重矩阵,它们是训练过程中学习得到的参数。
- r t r_t rt:当前时间步 t t t 的重置门,控制上一时刻隐状态的遗忘程度。
- z t z_t zt:当前时间步 t t t 的更新门,控制上一时刻隐状态和候选隐状态的融合程度。
- h ~ t \tilde{h}_t h~t:当前时间步 t t t 的候选隐状态,表示可能的新的隐状态。
- σ \sigma σ:Sigmoid 激活函数,用于产生0到1之间的值。它被应用于重置门 r t r_t rt 和更新门 z t z_t zt。
- tanh \tanh tanh:双曲正切激活函数,输出范围在-1到1之间。它被应用于候选隐状态 h ~ t \tilde{h}_t h~t。
GRU的公式结合这些元素来计算时间步 t t t 的新隐状态 h t h_t ht,公式如下:
h t = ( 1 − z t ) ∗ h t − 1 + z t ∗ h ~ t h_t = (1 - z_t) * h_{t-1} + z_t * \tilde{h}_t ht=(1−zt)∗ht−1+zt∗h~t
该公式表示GRU的最终输出,其中更新门 z t z_t zt 控制着多少新的候选隐状态 h ~ t \tilde{h}t h~t 被与上一时刻的隐状态 h t − 1 h{t-1} ht−1 结合。
LSTM内容参考地址:https://colah.github.io/posts/2015-08-Understanding-LSTMs/
3. 双向LSTM
单向的 RNN,是根据前面的信息推出后面的,但有时候只看前面的词是不够的, 可能需要预测的词语和后面的内容也相关,那么此时需要一种机制,能够让模型不仅能够从前往后的具有记忆,还需要从后往前需要记忆。此时双向LSTM就可以帮助我们解决这个问题

由于是双向LSTM,所以每个方向的LSTM都会有一个输出,最终的输出会有2部分,所以往往需要concat的操作
