目录:
-
- 1、移动零(https://leetcode.cn/problems/move-zeroes/description/?envType=problem-list-v2&envId=v69rxJf0)
- 2、复写零(https://leetcode.cn/problems/duplicate-zeros/description/?envType=problem-list-v2&envId=v69rxJf0)
- 3、快乐数(https://leetcode.cn/problems/happy-number/description/?envType=problem-list-v2&envId=v69rxJf0)
- 4、盛最多水的容器(https://leetcode.cn/problems/container-with-most-water/description/?envType=problem-list-v2&envId=v69rxJf0)
- 5、有效三角形个数(https://leetcode.cn/problems/valid-triangle-number/?envType=problem-list-v2&envId=v69rxJf0)
- 6.查找总价格为目标值的两个商品(https://leetcode.cn/problems/he-wei-sde-liang-ge-shu-zi-lcof/description/)
- 7.三数之和(https://leetcode.cn/problems/3sum/)
- 8.四数之和(https://leetcode.cn/problems/4sum/description/)
1、移动零

定义两个指针dest和cur
cur:遍历整个数组,寻找非零元素(初始为 0)。
dest:指向已处理区间的最后一个非零元素(初始为 -1,表示还没有非零元素)
核心思路 :
当 cur 遇到非零元素时,将其交换到 dest+1 的位置(即已处理非零区间的下一个位置),然后 dest 右移一位,cur右移一位。这样就划分为了3个区间:
- 0, dest 区间内的元素都是非零且顺序不变的;
- dest+1, cur-1 区间内的元素都是0;
- cur, n-1 区间内的元素是未处理的。

cpp
void moveZeroes(vector<int>& nums)
{
int cur = 0;
int dest = -1;
while(cur < nums.size())
{
if(nums[cur] != 0)
{
swap(nums[++dest],nums[cur]);
}
cur++;
}
}
时间复杂度:O(n),仅遍历数组一次,每个元素最多被交换一次。
空间复杂度:O(1),仅使用两个指针,没有额外空间。
为什么这方法有效?
保持顺序:非零元素被依次放到 dest 位置,相当于"追加"到非零区间的末尾,不会打乱原有顺序。
原地修改:不需要额外数组,直接修改原数组,空间效率高。
2、复写零

为什么不用"直接遍历+插入"?比如遇到0就插入一个0,后面元素后移?
缺点:直接插入会覆盖未处理的元素(比如原数组中的0后面的元素会被提前移动,导致后面的0无法正确复制),且时间复杂度为O(n²)(每次插入都要移动后面所有元素),效率太低。
核心思路:
-
"先找终点,再从后往前填"
-
定义两个指针:
- cur:从左到右遍历原数组的指针,标记当前要处理的元素位置(初始为 0);
- dest:假设数组"扩容"后的指针(遇0加2,遇非0加1),标记当前元素"应该在"的位置。(初始为 -1)
第一步:找到最后一个需要复制的元素
遍历cur,直到cur < 数组长度:
- 若arrcur是0,dest加2(要复制一个0);
- 若arrcur非0,dest加1(不需要复制);
检查dest是否超过数组长度(dest >= n-1):
若是,停止遍历,此时cur的位置就是最后一个需要处理的元素(再往后处理会超出数组长度);否则,cur加1,继续遍历。
第二步:处理边界情况
边界场景:当dest刚好等于数组长度(dest == n)时,说明最后一个元素是0,且这个0只能复制一次(数组长度不够)
- 把数组最后一个位置(n-1)设为0(复制一次);
- cur减1(回退到上一个元素);
- dest减2(回退到上一个"应该在"的位置)。
第三步:从后往前填元素
为什么从后往前?
从前往后填会覆盖未处理的元素(比如cur=1的0还没处理,就被cur=0的元素覆盖);而从后往前填,dest的位置是"扩容"后的终点,不会覆盖未处理的元素。

cpp
void duplicateZeros(vector<int>& arr)
{
int n = arr.size();
int cur = 0, dest = -1;
// 1.找到最后一个数
while (cur < n)
{
if (arr[cur] == 0)
{
dest += 2;
}
else
{
dest += 1;
}
if (dest >= n - 1)
{
break;
}
cur++;
}
//2.处理边界情况
if(dest == n)
{
arr[n - 1] = 0;
cur--;
dest -= 2;
}
//3.从后往前复写
while(cur >= 0)
{
if (arr[cur] == 0)
{
arr[dest--] = 0;
arr[dest--] = 0;
}
else
{
arr[dest--] = arr[cur];
}
cur--;
}
}
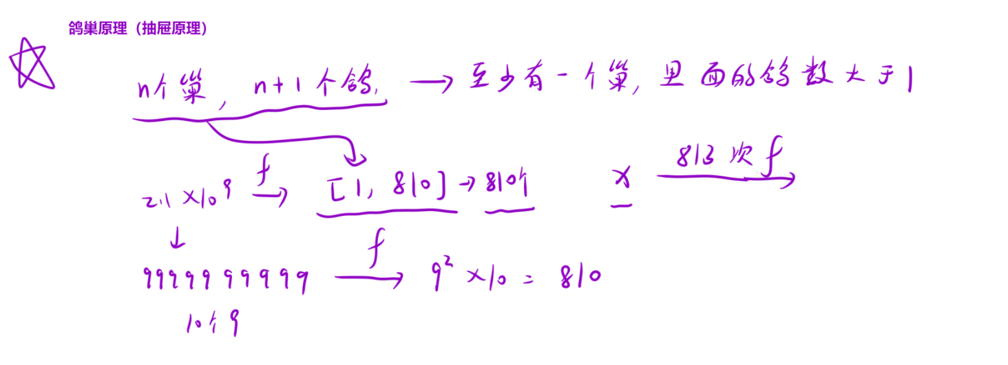
3、快乐数


核心思想:
定义快慢指针,快指针走两步,慢指针走一步,快指针追上慢指针说明该数是快乐数

根据鸽巢原理,它一定不会无限张开下去,一定成环
cpp
int bitsum(int n)
{
int sum = 0;
while(n)
{
int t = n % 10;
sum += t * t;
n /= 10;
}
return sum;
}
bool isHappy(int n) {
int slow = n;
int fast = bitsum(n);
while(slow != fast)
{
slow = bitsum(slow);
fast = bitsum(bitsum(fast));
}
return slow == 1;
}
4、盛最多水的容器

暴力解法就是用两个for循环一个个枚举求出最大值
核心思想:
- 定义两个指针,一个指向头left,一个指向最后一个元素right,因为此时款最大,让他们向内移动
- 他们向内移动,由 V = w * h,我们可以分析出两种情况,(1)要么宽和高同时减小,要么宽减小(因为高以小的那一边为主,如果一直是1,那么不就是高不变,只有宽在减小嘛),不管是哪一种情况V总体就是减小的
- 因此,我们比较左右指针对应的高度,小的那一边就往左或右移动(比如left = 0 -> h =1,right = 8 -> h = 7, v = 1 * 8 = 8,接着right往左移动,w逐渐减小,高度依旧是1,V逐渐减小,我们要找最大的,那么中间这个范围的体积还有必要算吗?总是没有第一次大),因此在此之前,我们先算出当前的体积,在进行判断移动
- 最后比较这些V,找出最大的V
cpp
int maxArea(vector<int>& height) {
int left = 0;
int right = height.size() - 1;
int ret = 0;
while(left <= right)
{
int v = min(height[left],height[right])*(right - left);
ret = max(ret,v);
if(height[left] > height[right])
right--;
else
left++;
}
return ret;
}
5、有效三角形个数
1. 问题定义
给定一个包含非负整数的数组 nums,你需要统计数组中可以组成三角形三条边的三元组 (nums[i], nums[j], nums[k]) 的个数。
2. 核心思想(三角形不等式)
构成三角形的三条边 a , b , c a, b, c a,b,c 必须满足三角形不等式:
- a + b > c a + b > c a+b>c
- a + c > b a + c > b a+c>b
- b + c > a b + c > a b+c>a
如果我们先对数组进行排序 ,假设 a ≤ b ≤ c a \le b \le c a≤b≤c,那么我们只需要满足一个条件: a + b > c a + b > c a+b>c。
(因为 a + c > b a+c > b a+c>b 和 b + c > a b+c > a b+c>a 在 c c c 是最大边时自动成立)。
3. 算法分解
你的代码正是利用了这一特性。
步骤一:排序
cpp
sort(nums.begin(),nums.end());
int n = nums.size();
首先对数组进行升序排序。这是使用双指针法的前提。
- 时间复杂度 : O ( n log n ) O(n \log n) O(nlogn)
步骤二:外层循环(固定最长边 c)
cpp
int ret = 0;
for(int i = n - 1; i > 0; i--)
{
int maxc = nums[i]; // maxc 就是我们固定的最大边 c
...
}
代码采用从后往前 遍历的方式,固定 nums[i] 作为三角形的最长边 c c c ( maxc )。
我们接下来需要在 nums[0...i-1] 这个子数组中,寻找两个数 a a a 和 b b b,使得 a + b > maxc a + b > \text{maxc} a+b>maxc。
步骤三:内层循环(双指针查找 a 和 b)
cpp
int left = 0;
int right = i - 1;
while(left < right)
{
...
}
我们在子数组 nums[0...i-1] 上使用双指针:
left指针指向 a a a (从最小的可能值 n u m s 0 nums0 nums0 开始)。right指针指向 b b b (从最大的可能值 n u m s i − 1 numsi-1 numsi−1 开始)。
步骤四:核心判断与计数
cpp
if(nums[left] + nums[right] > maxc)
{
ret += right - left;
right--;
}
else
{
left++;
}
这是整个算法最精妙的部分:
-
if (nums[left] + nums[right] > maxc)- 这满足了 a + b > c a + b > c a+b>c 的条件。
- 此时,
nums[right](作为 b b b) 和nums[left](作为 a a a) 可以与maxc组成三角形。 - 关键 :因为数组是排序的,所以
nums[right](作为 b b b) 与 a a a 之间的任何数 (即nums[left+1],nums[left+2], ...,nums[right-1])相加,也必然 大于maxc。- 即:
nums[left+1] + nums[right] > maxc - ...
nums[right-1] + nums[right] > maxc
- 即:
- 因此,对于固定的
nums[right]( b b b ) 和 固定的maxc( c c c ) ,从left到right-1之间的所有数都可以作为 a a a。 - 这些数的个数是
(right - 1) - left + 1 = right - left。 - 所以,我们直接给结果
ret加上right - left。 right--:加上这些组合后,说明nums[right](作为 b b b) 的所有可能性已经统计完毕,我们将 b b b 变小一点(right左移)继续寻找。
-
else(即nums[left] + nums[right] <= maxc)- 这说明 a + b ≤ c a + b \le c a+b≤c,无法构成三角形。
- 由于
nums[right]已经是当前子数组中最大的 b b b 了,而 a a a (nums[left]) 又太小了,我们必须增大 a a a 才能使它们的和变大。 - 所以,我们执行
left++。
cpp
int triangleNumber(vector<int>& nums)
{
sort(nums.begin(),nums.end());
int n = nums.size();
int ret = 0;
for(int i = n - 1; i > 0; i--)
{
int left = 0;
int right = i - 1;
int maxc = nums[i];
while(left < right)
{
if(nums[left] + nums[right] > maxc)
{
ret += right - left;
right--;
}
else
{
left++;
}
}
}
return ret;
}
4. 复杂度分析
- 时间复杂度 : O ( n 2 ) O(n^2) O(n2)
- 排序需要 O ( n log n ) O(n \log n) O(nlogn)。
- 外层循环 O ( n ) O(n) O(n) 次。
- 内层的双指针
while循环,left和right指针在每次外层循环中最多相遇一次,时间复杂度为 O ( n ) O(n) O(n)。 - 总时间复杂度为 O ( n log n ) + O ( n 2 ) = O ( n 2 ) O(n \log n) + O(n^2) = O(n^2) O(nlogn)+O(n2)=O(n2)。
- 空间复杂度 : O ( log n ) O(\log n) O(logn) 或 O ( n ) O(n) O(n)
- 主要取决于排序算法(例如快速排序)所需的递归栈空间。如果只看额外空间,则为 O ( 1 ) O(1) O(1)。
6.查找总价格为目标值的两个商品
1. 问题定义
给定一个已升序排序 的整数数组 price 和一个目标值 target,请在数组中找出两个数,使得它们的和等于 target。
(注意:你的代码实现假设输入的 price 数组已经是排序好的。如果数组未排序,此算法将不成立。)
2. 核心思想
利用数组已排序的特性,我们使用两个指针:
left指针:指向数组的开头(最小值)。right指针:指向数组的末尾(最大值)。
通过比较 price[left] + price[right] (当前和) 与 target 的大小,我们可以有策略地移动指针,逐步缩小搜索范围,直到找到目标。
3. 算法分解
步骤一:初始化指针
cpp
int left = 0;
int right = price.size() - 1;
left 指向索引 0,right 指向最后一个元素的索引。
步骤二:循环搜索
cpp
while(left < right)
{
// ...
}
循环持续进行,直到两个指针相遇或错过 (left >= right),此时表示搜索完所有可能的组合。
步骤三:比较与移动指针(算法核心)
在循环内部,有三种情况:
-
if(price[left] + price[right] < target)- 含义:当前的和太小了。
- 策略 :我们需要一个更大的和。由于
right已经指向了当前范围内的最大值,我们只能通过移动left指针来尝试一个更大的数。 - 操作 :
left++
-
else if(price[left] + price[right] > target)- 含义:当前的和太大了。
- 策略 :我们需要一个更小的和。由于
left已经指向了当前范围内的最小值,我们只能通过移动right指针来尝试一个更小的数。 - 操作 :
right--
-
else(即price[left] + price[right] == target)- 含义 :找到了!当前的
price[left]和price[right]就是我们要找的两个数。 - 操作 :
break;(跳出循环)
- 含义 :找到了!当前的
步骤四:返回结果
cpp
return {price[left],price[right]};
循环结束后(无论是通过 break 找到的,还是 left >= right 没找到),left 和 right 都停留在最后检查的位置。如果循环是因 break 而停止的,price[left] 和 price[right] 就是那对和为 target 的数。
4. 复杂度分析
- 时间复杂度 : O ( n ) O(n) O(n)
left指针和right指针都只向一个方向移动。在最坏的情况下,两个指针共同遍历了整个数组一次。
- 空间复杂度 : O ( 1 ) O(1) O(1)
- 只使用了
left和right两个额外的整数变量,没有使用额外的数据结构。
- 只使用了
cpp
vector<int> twoSum(vector<int>& price, int target) {
int left = 0;
int right = price.size() - 1;
while(left < right)
{
if(price[left] + price[right] < target)
{
left++;
}
else if(price[left] + price[right] > target)
{
right--;
}
else
{
break;
}
}
return {price[left],price[right]};
}
7.三数之和
1. 问题定义
给定一个整数数组 nums,找出所有不重复 的三元组 (nums[i], nums[j], nums[k]),使得 nums[i] + nums[j] + nums[k] == 0。
2. 核心算法:排序 + 双指针
这个问题的 O ( n 3 ) O(n^3) O(n3) 暴力解法很容易想到(三层 for 循环),但效率太低。
你的代码采用了 O ( n 2 ) O(n^2) O(n2) 的高效解法。核心思想是:
- 排序 (Sorting) : O ( n log n ) O(n \log n) O(nlogn)。排序是使用双指针的前提,它让元素变得有序,也为后续的 "去重" 提供了便利。
- 双指针 (Two Pointers) : O ( n 2 ) O(n^2) O(n2)。将三数之和
a + b + c = 0降维。- 我们用一层
for循环来固定 第一个数a(即nums[i])。 - 问题就转化为在
nums[i]之后的有序数组中寻找b和c,使得b + c = -a。 - 这正是我们之前 "两数之和(已排序数组)" 问题,可以用双指针在 O ( n ) O(n) O(n) 时间内解决。
- 我们用一层
3. 算法分解
步骤一:排序
cpp
sort(nums.begin(),nums.end());
int n = nums.size();
vector<vector<int>> vv;
对数组进行升序排序。
步骤二:外层循环(固定 nums[i])
cpp
for(int i = 0; i < n;)
{
// ...
// (i 的递增在循环末尾的去重逻辑中处理)
}
这层循环用于遍历并固定第一个数 a ( nums[i] )。
步骤三:剪枝优化
cpp
if(nums[i] > 0)
break;
这是一个非常关键的剪枝 (Pruning) 操作。
- 因为数组已经排序,如果
nums[i](三元组中最小的数) 已经大于 0,那么nums[i] + nums[left] + nums[right]必定大于 0。 - 此时,后续所有的
nums[i]也都大于 0,不可能再有和为 0 的组合,因此可以直接break结束循环。
步骤四:双指针查找 b 和 c
cpp
int left = i + 1;
int right = n - 1;
int num = abs(nums[i]); // 相当于 target = -nums[i]
while(left < right)
{
// ...
}
left指向i之后的第一个元素,right指向数组末尾。target应该是-nums[i]。- 你的代码中
int num = abs(nums[i]);是正确且巧妙的 ,因为在步骤三的剪枝保证了此时的nums[i]必然 ≤ 0 \le 0 ≤0,所以abs(nums[i])就等于-nums[i]。
步骤五:移动指针(双指针核心)
cpp
if(nums[left]+nums[right] > num)
{
right--; // 和太大了,右指针左移
}
else if(nums[left]+nums[right] < num)
{
left++; // 和太小了,左指针右移
}
else
{
// 找到了!
vv.push_back({nums[i],nums[left],nums[right]});
// ... (去重)
}
这部分逻辑与 "两数之和" 完全一致。
步骤六:去重(算法关键)
这是本题最容易出错的地方。你的代码处理了所有三种去重:
-
找到答案时,对
left和right的去重:cppelse { vv.push_back({nums[i],nums[left],nums[right]}); left++; right--; //去重left 和 right while(left < right&&nums[left] == nums[left -1]) { left++; } while(left < right&&nums[right] == nums[right+1]) { right--; } }- 当我们找到一组解
{nums[i], nums[left], nums[right]}后,left和right必须同时移动(left++,right--)才能寻找新的组合。 - 为了防止
left移动后指向一个重复的元素(例如[-2, 1, 1, 1, 1, 1]中找到{-2, 1, 1}后,left不应再次停在1上),我们用while循环跳过所有与nums[left - 1]相同的元素。 right指针同理。
- 当我们找到一组解
-
外层循环,对
i的去重:cpp//去重i i++; while(i < n&&nums[i] == nums[i - 1]) { i++; }- 这部分放在外层循环的末尾。当
nums[i]的所有双指针组合(while(left < right))都查找完毕后,i需要移动到下一个不相同的元素。 - 这可以防止找到重复的三元组。例如
[-1, -1, 0, 1, 2],如果不去重i,i=0(nums[i] = -1) 会找到{-1, 0, 1},i=1(nums[i] = -1) 也会找到{-1, 0, 1},这就重复了。
- 这部分放在外层循环的末尾。当
4. 复杂度分析
- 时间复杂度 : O ( n 2 ) O(n^2) O(n2)
sort排序为 O ( n log n ) O(n \log n) O(nlogn)。- 外层
for循环为 O ( n ) O(n) O(n)。 - 内层
while双指针循环为 O ( n ) O(n) O(n)。 - 总时间复杂度为 O ( n log n + n 2 ) = O ( n 2 ) O(n \log n + n^2) = O(n^2) O(nlogn+n2)=O(n2)。
- 空间复杂度 : O ( log n ) O(\log n) O(logn) 或 O ( n ) O(n) O(n)
- 主要取决于排序算法(如快速排序)的递归栈空间。如果忽略存储结果的
vv数组,额外空间复杂度很低。
- 主要取决于排序算法(如快速排序)的递归栈空间。如果忽略存储结果的
cpp
vector<vector<int>> threeSum(vector<int>& nums) {
sort(nums.begin(),nums.end());
int n = nums.size();
vector<vector<int>> vv;
//利用双指针算法
for(int i = 0; i < n;)
{
if(nums[i] > 0)
break;
int left = i + 1;
int right = n - 1;
int num = abs(nums[i]);
while(left < right)
{
if(nums[left]+nums[right] > num)
{
right--;
}
else if(nums[left]+nums[right] < num)
{
left++;
}
else
{
vv.push_back({nums[i],nums[left],nums[right]});
left++;
right--;
//去重left 和 right
while(left < right&&nums[left] == nums[left -1])
{
left++;
}
while(left < right&&nums[right] == nums[right+1])
{
right--;
}
}
}
//去重i
i++;
while(i < n&&nums[i] == nums[i - 1])
{
i++;
}
}
return vv;
}
8.四数之和
1. 问题定义
给定一个整数数组 nums 和一个目标值 target,找出所有不重复 的四元组 (nums[i], nums[j], nums[k], nums[l]),使得 nums[i] + nums[j] + nums[k] + nums[l] == target。
2. 核心思想:降维(排序 + 双重循环 + 双指针)
这个问题是 "三数之和" 的升级版。我们使用相同的 "降维" 思想:
- 4Sum 降维 3Sum :使用一个
for循环固定第一个数a(nums[i])。问题转化为在剩余数组中寻找b + c + d = target - a。 - 3Sum 降维 2Sum :再使用一个嵌套的
for循环固定第二个数b(nums[j])。问题转化为在剩余数组中寻找c + d = target - a - b。 - 2Sum 求解 :这已经是我们熟悉的 "两数之和" 问题。在
j之后的有序数组中,使用双指针 (left和right)在 O ( n ) O(n) O(n) 时间内寻找c和d。
因此,总的算法结构是 "排序 + 两层for循环 + 一层双指针"。
3. 算法分解
步骤一:排序
cpp
sort(nums.begin(),nums.end());
int n = nums.size();
vector<vector<int>> vv;
排序是使用双指针和进行高效去重的前提。
步骤二:固定 a 和 b
cpp
for(int i = 0; i < n;)//固定a
{
int a = nums[i];
for(int j = i + 1; j < n;)//固定b
{
int b = nums[j];
// ...
}
}
使用两层 for 循环分别固定前两个数 a 和 b。
步骤三:双指针求解 2Sum
cpp
int left = j + 1;
int right = n - 1;
while(left < right)
{
// ...
}
在 j 之后的区间 [j+1, n-1] 内初始化 left 和 right 指针,寻找 c 和 d。
步骤四:目标值计算与溢出处理
cpp
long long tar = (long long)target - a - b;
int sum = nums[left] + nums[right];
- 这是一个非常关键 的细节。
target - a - b的计算结果(以及a+b+c+d的总和)可能会超出int的范围,导致整数溢出。 - 通过将
target强制转换为long long再进行减法,可以保证tar变量能正确存储目标值。 - ( 注:更安全的方式是将
sum也定义为long long sum = (long long)nums[left] + nums[right];来防止c+d本身溢出,但你代码中的写法在大多数情况下已经解决了最大的溢出风险。 )
步骤五:移动指针
cpp
if(sum > tar)
{
right--;
}
else if(sum < tar)
{
left++;
}
else
{
// 找到了,处理并去重
}
这与 "两数之和" 的逻辑完全相同。
步骤六:去重(三层去重)
这是本题的精髓和难点,你的代码正确地处理了所有去重:
-
left和right去重 (找到答案时):cppelse { vv.push_back({a,b,nums[left],nums[right]}); left++; right--; //left和right去重 while(left < right && nums[left] == nums[left - 1]) { left++; } while(left < right && nums[right] == nums[right + 1]) { right--; } }当找到一组解后,
left和right必须跳过所有相同的元素,以避免(a, b, c, c')这样的重复。 -
j去重 (固定b时):cpp//j去重 j++; while(j < n && nums[j] == nums[j - 1]) { j++; }当
j的内层while循环结束后,j必须跳过所有与nums[j-1]相同的元素,以避免(a, b, ...)和(a, b', ...)(其中b == b')导致重复。 -
i去重 (固定a时):cpp//i去重 i++; while(i < n && nums[i] == nums[i - 1]) { i++; }同理,当
i的内层for循环(j循环)结束后,i必须跳过所有与nums[i-1]相同的元素。
4. 复杂度分析
- 时间复杂度 : O ( n 3 ) O(n^3) O(n3)
- 排序: O ( n log n ) O(n \log n) O(nlogn)。
i循环: O ( n ) O(n) O(n)。j循环: O ( n ) O(n) O(n)。while双指针: O ( n ) O(n) O(n)。- 总时间复杂度为 O ( n log n + n 3 ) = O ( n 3 ) O(n \log n + n^3) = O(n^3) O(nlogn+n3)=O(n3)。
- 空间复杂度 : O ( log n ) O(\log n) O(logn) 或 O ( n ) O(n) O(n)
- 主要取决于排序算法(如快速排序)的递归栈空间。如果忽略存储结果的
vv数组。
- 主要取决于排序算法(如快速排序)的递归栈空间。如果忽略存储结果的
cpp
vector<vector<int>> fourSum(vector<int>& nums, int target) {
sort(nums.begin(),nums.end());
int n = nums.size();
vector<vector<int>> vv;
//利用双指针
for(int i = 0; i < n;)//固定a
{
int a = nums[i];
//利用三数之和
for(int j = i + 1; j < n;)//固定b
{
int b = nums[j];
int left = j + 1;
int right = n - 1;
//双指针
while(left < right)
{
long long tar = (long long)target - a - b;
int sum = nums[left] + nums[right];
if(sum > tar)
{
right--;
}
else if(sum < tar)
{
left++;
}
else
{
vv.push_back({a,b,nums[left],nums[right]});
left++;
right--;
//left和right去重
while(left < right && nums[left] == nums[left - 1])
{
left++;
}
while(left < right && nums[right] == nums[right + 1])
{
right--;
}
}
}
//j去重
j++;
while(j < n && nums[j] == nums[j - 1])
{
j++;
}
}
//i去重
i++;
while(i < n && nums[i] == nums[i - 1])
{
i++;
}
}
return vv;
}