目录
1.前言
图像处理领域中,噪声抑制与边缘保持的矛盾长期存在。传统方法如高斯滤波通过空间邻域加权实现平滑,但会导致边缘模糊;双边滤波引入像素值相似性约束,虽能保边却难以处理复杂纹理。基于小波变换的多尺度自适应双边滤波(MSABF)通过融合多尺度分析、自适应参数调整与非线性扩散技术,实现了噪声与边缘的智能区分。
2.算法运行效果图预览
(完整程序运行后无水印)





3.算法运行软件版本
Matlab2024b(推荐)或者matlab2022a
4.部分核心程序
(完整版代码包含中文注释和操作步骤视频)
for i = 1:12
i
Image_Name_In = ['../D_THZ图像产生程序/THZ_Images/' ,num2str(i),'out.png'];
Image_Name_Out = ['Result/',num2str(i),'out.png'];
I0 = imread(Image_Name_In);
if(size(I0,3)==3)
I0= rgb2gray(I0);
end
I1 = double(I0)/255;
Iret0 = bfilter2(I1);
Iret1 = uint8(255*Iret0);
Iret2 = ImageEnhanceByMUSICAandWAVELET(Iret1,Image_Name_Out);
%计算标准图像和处理后的图像的PSRN值
STAND_IMAGE = ['../D_THZ图像产生程序/image/',num2str(i),'out.png'];
STAND_IMAGE0 = imread(STAND_IMAGE);
STAND_IMAGE0 = 255*im2bw(STAND_IMAGE0,graythresh(STAND_IMAGE0));
if(size(STAND_IMAGE0,3)==3)
STAND_IMAGE0 = rgb2gray(STAND_IMAGE0);
end
PSNR(i) = func_PSNR(uint8(STAND_IMAGE0),uint8(Iret2));
figure(i);
subplot(131);
imshow(uint8(I0));
title('处理前');
subplot(132);
imshow(uint8(Iret1));
title('自适应BF');
subplot(133);
imshow(uint8(Iret2));
title('小波增强');
pause(1);
end
%%%%%%%%%%%%%%%%%%%%%%%%%%%%%%%%%%%%%%%%%%%%%%%%%%%%%%%%%%%%%%%%%%%%%%%%%%%
figure;
plot(PSNR,'b-o');
xlabel('图像编号');
ylabel('PSNR');
axis([0,12,15,40]);
save PSNR.mat PSNR
25_009m
5.算法理论概述
基于小波变换的多尺度自适应双边滤波器"算法,其对应的算法流程如下所示:

第一:多尺度图像的自适应双边滤波
首先通过图像亮度,将图像区分为前景图和背景图。
这里,我们主要通过二值话处理,进行图像的前景和背景的区分,这个部分的理论为:

这里,门限T的计算,我们主要通过matlab自带的一个函数graythresh获得,这个函数会根据每个图像自动计算出门限T。
然后分别对前景和背景进行sigma参数的自适应调整。
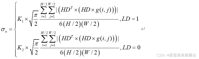
这里,sigma的计算公式为:

这里,我们根据上面的背景前景,做如下的设置。

这里,我们分别对前景和背景下乘以系数K1和K2,其中根据亮度分布(亮的为背景、暗的为物体)来确定BF的各像素的两个sigma值,让亮区域平滑更多(选用大sigma),暗区域平滑偏小(小sigma)。
6.参考文献
1\]靳明,宋建中.一种自适应的图像双边滤波方法\[J\].光电工程, 2004, 31(7):5.DOI:10.3969/j.issn. 1003-501X. 2004.07.019. ## 7.算法完整程序工程 **OOOOO** **OOO** **O** **关注后输入自动回复码** ****:**** **0006**