目录
[1. 二叉树创建字符串](#1. 二叉树创建字符串)
[2. 二叉树的层序遍历](#2. 二叉树的层序遍历)
[3. 二叉树的最近公共祖先](#3. 二叉树的最近公共祖先)
[优化到 O(N)](#优化到 O(N))
[4. 二叉搜索树转化为有序双向链表](#4. 二叉搜索树转化为有序双向链表)
[5. 按前序、中序遍历构造二叉树](#5. 按前序、中序遍历构造二叉树)
[6. 非递归 · 前序](#6. 非递归 · 前序)
[7. 非递归 · 中序](#7. 非递归 · 中序)
[8. 非递归 · 后序](#8. 非递归 · 后序)
1. 二叉树创建字符串
606. 根据二叉树创建字符串 - 力扣(LeetCode)
cpp
class Solution {
public:
string tree2str(TreeNode* root) {
}
};
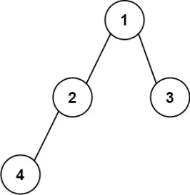
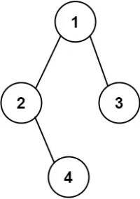
用前序遍例
输出:"1(2(4))(3)" 简化前:"1(2(4)()())(3()())"
输出:"1(2()(4))(3)"
**思路:**前序遍例(根、左、右)
1. 左空,右不空:左括号保留
2. 左不空,右空:右括号删
3. 左空,右空:左右括号都删
cpp
class Solution {
public:
string tree2str(TreeNode* root) {
string str;
if (root == nullptr)
return str;
str += to_string(root->val);
if (root->left || root->right)
{
str += '(';
str += tree2str(root->left);
str += ')';
}
if (root->right)
{
str += '(';
str += tree2str(root->right);
str += ')';
}
return str;
}
};
第10行的写法非常经典:判断是否往左递归,录值或保留左括号
左不空:往左递归,录值
左空,右不空:往左递归,以保留左括号
左空,右空:不需要保留左括号
再到第17行:
右不为空:录值
右为空:不保留右括号
2. 二叉树的层序遍历
cpp
class Solution {
public:
vector<vector<int>> levelOrder(TreeNode* root) {
}
};
广度优先遍历想到 queue
以前的层序遍历光让把数据打印出来,用一个队列:出一个节点并打印、入它的俩娃,直至队列为空
这道题不一样,要求一层一层遍历,并把每一层放到二维数组的每一行

**思路1:**双队列,一个存节点,一个记录行数

**思路2:**用 levelSize 控制层数,一层一层出
以前:
cpp
while (!empty(q))
{
TreeNode* front = q.front();
q.pop();
if (front->left)
q.push(front->left);
if (front->right)
q.push(front->right);
}
队列中最多有两层的数据,以前每出一个,不知道出的在哪一层
现在:
cpp
class Solution {
public:
vector<vector<int>> levelOrder(TreeNode* root) {
vector<vector<int>> vv;
queue<TreeNode*> q;
int levelSize = 0;
if (root)
{
q.push(root);
levelSize = 1;
}
while (!q.empty())
{
vector<int> v;
for (int i = 0; i < levelSize; i++)
{
TreeNode* front = q.front();
v.push_back(front->val);
q.pop();
if (front->left)
q.push(front->left);
if (front->right)
q.push(front->right);
}
vv.push_back(v);
levelSize = q.size();
}
return vv;
}
};
原本 levelSize = 1,把 3 出了,levelSize = 2,就知道再往下的俩数据是一层
**二叉树的层序遍历II:**自底向上层层遍历,放到二维数组
107. 二叉树的层序遍历 II - 力扣(LeetCode)
这样即可:
cpp
reverse(vv.begin(), vv.end());
return vv;
3. 二叉树的最近公共祖先
236. 二叉树的最近公共祖先 - 力扣(LeetCode)
cpp
class Solution {
public:
TreeNode* lowestCommonAncestor(TreeNode* root, TreeNode* p, TreeNode* q) {
}
};
树中所有节点的值都不相同,一个节点的祖先可以是自己
找 p q 俩节点的最近公共祖先 x p != q 且 都在二叉树中
思路:
A 链表相交类似问题
a 三叉链 (存父节点)O(N)
b 用栈找路径 O(N)
B 普通解法:
a 普通二叉树:通过查找函数,确定节点在左(右)树 O(N^2)
1. 若当前根就是 p 或 q 节点,则当前根为最近公共祖先
2. 若 p q 节点,一个在左树、一个在右树,则当前根为最近公共祖先
3. 若 p q 节点,都在左(右)树,则递归去左(右)树找,直至满足 1 2 的条件
b 二叉搜索树 : 通过比较大小 ,确定节点在左(右)树 O(N)

cpp
class Solution {
public:
bool Find(TreeNode* tree, TreeNode* x)
{
if (tree == nullptr)
return false;
return tree == x
|| Find(tree->left, x)
|| Find(tree->right, x);
}
TreeNode* lowestCommonAncestor(TreeNode* root, TreeNode* p, TreeNode* q) {
if (root == nullptr)
return nullptr;
if (root == p || root == q)
return root;
bool pleft, pright, qleft, qright;
pleft = Find(root->left, p);
pright = !pleft;
qleft = Find(root->left, q);
qright = !qleft;
if (pleft && qleft)
return lowestCommonAncestor(root->left, p, q);
else if (pright && qright)
return lowestCommonAncestor(root->right, p, q);
else
return root;
}
};
20 - 25行很巧妙:
如果 p 在左,Find 能找到,pleft 是真,pright 自动为假
如果 p 在右,Find 找不到,pleft 是假,pright 自动为真
这样写,时间复杂度是 O(N^2)
从 root 开始,每层往下走等差数列次 ↓

优化到 O(N)
查找过程 + 栈,就能在普通二叉树里搞定节点的路径,存到栈里
遇到不相等的节点也要入栈,因为不确定这个节点在不在路径上
要用节点比较,不能用值比较,可能有相同的值

递归全程是在一个栈上入、删数据的,所以 path 引用传参
节点先入栈,在该节点构成的子树中找 x**(找的顺序:根、左子树、右子树)**
找到了(10-17 行):该节点在 x 的路径上
没找到(到第 19 行):该节点不在 x 的路径上,出栈
cpp
class Solution {
public:
bool FindPath(TreeNode* root, TreeNode* x, stack<TreeNode*>& path)
{
if (root == nullptr)
return false;
path.push(root);
if (root == x)
return true;
if (FindPath(root->left, x, path))
return true;
if (FindPath(root->right, x, path))
return true;
path.pop();
return false;
}
TreeNode* lowestCommonAncestor(TreeNode* root, TreeNode* p, TreeNode* q) {
stack<TreeNode*> pPath, qPath;
FindPath(root, p, pPath);
FindPath(root, q, qPath);
while (pPath.size() > qPath.size())
{
pPath.pop();
}
while (pPath.size() < qPath.size())
{
qPath.pop();
}
while (pPath.top() != qPath.top())
{
pPath.pop();
qPath.pop();
}
return pPath.top();
}
};
4. 二叉搜索树转化为有序双向链表

cpp
#include <cstddef>
class Solution {
public:
TreeNode* Convert(TreeNode* pRootOfTree) {
}
};
说了二叉搜索树、有序:中序遍历
先写个中序遍历的框架,再不断往里面加东西
要找到当前根的左娃(前一个节点)、右娃(后一个节点),连接起来,所以要传 prev
上面栈帧的 prev 要用下面栈帧的 prev ,来确保连接关系,所以prev 要传引用 , 确保整个代码中只有一个 prev

下面的栈帧里改变了 prev,并且上面的栈帧要利用这次改变,prev 就要传引用或二级指针
站在当前节点,找左娃(前一个节点)很容易实现;找右娃(后一个节点)根本实现不了,怎么能预测明天的事呢
换个思路:当前节点能和左娃(前一个节点)链接,左娃(前一个节点)就能和当前节点链接
cpp
#include <cstddef>
class Solution {
public:
void InOrder(TreeNode* cur, TreeNode*& prev)
{
if (cur == nullptr)
return;
InOrder(cur->left, prev);
// 当前节点的left指向前一个
cur->left = prev;
// 前一个节点的right指向当前节点(链接上了)
if (prev)
prev->right = cur;
prev = cur;
InOrder(cur->right, prev);
}
TreeNode* Convert(TreeNode* pRootOfTree) {
TreeNode* prev = nullptr;
InOrder(pRootOfTree, prev);
TreeNode* head = pRootOfTree;
while (head && head->left)
{
head = head->left;
}
return head;
}
};
5. 按前序、中序遍历构造二叉树
105. 从前序与中序遍历序列构造二叉树 - 力扣(LeetCode)
cpp
class Solution {
public:
TreeNode* buildTree(vector<int>& preorder, vector<int>& inorder) {
}
};
前序: 根 左子树 右子树 确定根
中序: 左子树 根 右子树 确定左右子树,分割左右区间
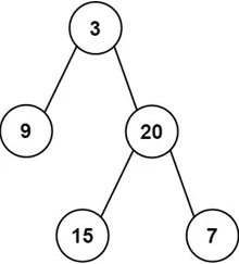
preorder = [3,9,20,15,7]
inorder = [9,3,15,20,7]


cpp
class Solution {
public:
TreeNode* _build(vector<int>& preorder, vector<int>& inorder,
int& prei, int inbegin, int inend)
{
if (inbegin > inend)
return nullptr;
TreeNode* root = new TreeNode(preorder[prei]);
// 找中序的分割区间
int rooti = inbegin;
while (rooti <= inend)
{
if (preorder[prei] == inorder[rooti])
break;
rooti++;
}
// prei创节点、找分割区间的任务完成了
// [inbegin, rooti-1] rooti [rooti+1, inend]
// 开始递归
++prei;
root->left = _build(preorder, inorder, prei, inbegin, rooti - 1);
root->right = _build(preorder, inorder, prei, rooti + 1, inend);
return root;
}
TreeNode* buildTree(vector<int>& preorder, vector<int>& inorder) {
int i = 0;
return _build(preorder, inorder, i, 0, preorder.size() - 1);
}
};
按中序、后序遍历构造二叉树
https://leetcode.cn/problems/construct-binary-tree-from-inorder-and-postorder-traversal/description/106. 从中序与后序遍历序列构造二叉树 - 力扣(LeetCode)https://leetcode.cn/problems/construct-binary-tree-from-inorder-and-postorder-traversal/description/
后序最后一个确定根,倒着来,先构建右子树
如果右树不为空,后序的下一个值就是右子树的根
inorder = [9,3,15,20,7]
postorder = [9,15,7,20,3]

cpp
class Solution {
public:
TreeNode* _build(vector<int>& inorder, vector<int>& postorder,
int& posti, int inbegin, int inend)
{
if (inbegin > inend)
return nullptr;
// 创建根节点
TreeNode* root = new TreeNode(postorder[posti]);
// 分割中序左右区间
int rooti = inend;
while (inbegin <= rooti)
{
if (postorder[posti] == inorder[rooti])
break;
--rooti;
}
// posti使命完成
// [inbegin, rooti-1] rooti [rooti+1, inend]
--posti;
root->right = _build(inorder, postorder, posti, rooti + 1, inend);
root->left = _build(inorder, postorder, posti, inbegin, rooti - 1);
return root;
}
TreeNode* buildTree(vector<int>& inorder, vector<int>& postorder) {
int i = postorder.size() - 1;
return _build(inorder, postorder, i, 0, i);
}
};
按前序、后序不能重建二叉树,分割不出左子树右子树
6. 非递归 · 前序
cpp
class Solution {
public:
vector<int> preorderTraversal(TreeNode* root) {
}
};
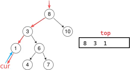
前序遍历刚开始肯定是把左边一路节点遍历,所以可以这么看一颗二叉树:

1. cur 指向一颗节点,意味着要访问它的右子树
2. 栈里的节点,意味着要访问它的右子树

cpp
class Solution {
public:
vector<int> preorderTraversal(TreeNode* root) {
vector<int> v;
stack<TreeNode*> st;
TreeNode* cur = root;
while (cur || !st.empty())
{
// 访问一颗树的开始
// 访问左路节点,左路节点入栈,后续依次访问左路节点的右子树
while (cur)
{
v.push_back(cur->val);
st.push(cur);
cur = cur->left;
}
// 依次访问左路节点的右子树
TreeNode* top = st.top();
st.pop();
// 子问题的方式访问右子树
cur = top->right;
}
return v;
}
};
7. 非递归 · 中序
前序遍历,左路节点入栈时访问;中序遍历只是节点访问时机不同

思路:
1. 左路节点入栈
2. 访问左路节点、左路节点右子树
左路节点入完时, ++此时栈顶 top 指向 1,cur 指向 1 的左,cur == nullptr,不用访问(1 的左已经访问,可以访问 1 这个节点了)++,访问它;再访问 1 的右子树
本质:从栈里取到栈顶节点,则这个节点的左子树已经访问完了,可以访问节点、右子树了
cpp
class Solution {
public:
vector<int> inorderTraversal(TreeNode* root) {
vector<int> v;
stack<TreeNode*> st;
TreeNode* cur = root;
while (cur || !st.empty())
{
// 左路节点入栈,后续依次访问左路节点、右子树
while (cur)
{
st.push(cur);
cur = cur->left;
}
// 访问左路节点
TreeNode* top = st.top();
st.pop();
v.push_back(top->val);
// 访问右子树
cur = top->right;
}
return v;
}
};
8. 非递归 · 后序
右子树访问完,才能访问根


右不为空,怎么识别能不能访问 3 这个节点?
怎么知道是第一次访问 3 的右,还是 3 的右已经访问过了,避免死循环
如果 3 的右子树没有访问过,上一个访问的节点是****左子树的根 1
如果 3 的右子树访问过,上一个访问的节点是****右子树的根 6
一个节点右子树为空,或上一个访问的节点是右子树的根,则说明右子树访问过了,可以访问当前根节点
本质:从栈里取到栈顶节点,则这个节点的左子树已经访问完了
cpp
class Solution {
public:
vector<int> postorderTraversal(TreeNode* root) {
vector<int> v;
stack<TreeNode*> st;
TreeNode* cur = root;
TreeNode* prev = nullptr;
while (cur || !st.empty())
{
// 左路节点入栈
while (cur)
{
st.push(cur);
cur = cur->left;
}
TreeNode* top = st.top();
// 能不能访问这个节点?有2个标志
if (top->right == nullptr || top->right == prev)
{
prev = top;
v.push_back(top->val);
st.pop();
}
else // 不能访问这个节点,要先访问它的右子树
{
cur = top->right;
}
}
return v;
}
};
本篇的分享就到这里了,感谢观看 ,如果对你有帮助,别忘了点赞+收藏+关注 。
小编会以自己学习过程中遇到的问题为素材,持续为您推送文章