一、PSO-BP算法原理
1. 核心机制

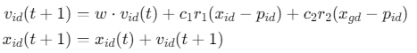
- 参数说明 : www:惯性权重(平衡全局/局部搜索) c1,c2c1,c2c1,c2:加速常数(通常取2.0) r1,r2r1,r2r1,r2:[0,1]随机数
2. 优化流程

二、MATLAB实现代码
1. 数据预处理(以UCI数据集为例)
matlab
% 加载数据(示例使用鸢尾花数据集)
load fisheriris
X = meas(:,1:2); % 选择前两个特征
Y = grp2idx(species); % 类别编码
% 数据归一化
[Xn, Xps] = mapminmax(X', 0, 1);
Xn = Xn';
% 划分训练集/测试集
cv = cvpartition(Y, 'HoldOut', 0.3);
X_train = Xn(cv.training,:);
Y_train = Y(cv.training,:);
X_test = Xn(cv.test,:);
Y_test = Y(cv.test,:);
2. PSO参数设置
matlab
% PSO参数
nPop = 30; % 粒子数量
maxIter = 100;% 最大迭代
w = 0.729; % 惯性权重
c1 = 1.5; % 认知因子
c2 = 1.5; % 社会因子
% 网络结构
inputSize = size(X_train,2);
hiddenSize = 10;
outputSize = numel(unique(Y_train));
3. 粒子群初始化
matlab
% 参数编码维度计算
nVar = (inputSize*hiddenSize) + (hiddenSize+outputSize);
% 初始化粒子位置和速度
particles = rand(nPop, nVar);
velocities = 0.1*rand(nPop, nVar);
% 初始化个体/全局最优
pBest = particles;
pBestCost = inf(nPop,1);
gBest = particles(1,:);
gBestCost = inf;
4. 适应度函数(BP网络训练)
matlab
function cost = fitnessFunction(particle, X, Y, inputSize, hiddenSize, outputSize)
% 解码粒子位置为网络参数
[W1, b1, W2, b2] = decodeWeights(particle, inputSize, hiddenSize, outputSize);
% 构建网络
net = feedforwardnet(hiddenSize);
net.trainParam.epochs = 50; % 内部训练次数
net.trainParam.goal = 1e-5;
% 设置网络参数
net.IW{1} = W1;
net.LW{2,1} = W2;
net.b{1} = b1;
net.b{2} = b2;
% 训练网络
[net, tr] = train(net, X', Y');
% 计算适应度(分类错误率)
Y_pred = net(X');
[~, Y_pred] = max(Y_pred);
cost = 1 - sum(Y_pred' == Y)/numel(Y);
end
function [W1, b1, W2, b2] = decodeWeights(particle, inputSize, hiddenSize, outputSize)
W1 = reshape(particle(1:inputSize*hiddenSize), hiddenSize, inputSize);
b1 = reshape(particle(inputSize*hiddenSize+1:inputSize*hiddenSize+hiddenSize), hiddenSize, 1);
W2 = reshape(particle(inputSize*hiddenSize+hiddenSize+1:inputSize*hiddenSize+hiddenSize+hiddenSize*outputSize), outputSize, hiddenSize);
b2 = reshape(particle(end-outputSize+1:end), outputSize, 1);
end
5. PSO主循环
matlab
for iter = 1:maxIter
for i = 1:nPop
% 计算适应度
currentCost = fitnessFunction(particles(i,:), X_train, Y_train, inputSize, hiddenSize, outputSize);
% 更新个体最优
if currentCost < pBestCost(i)
pBestCost(i) = currentCost;
pBest(i,:) = particles(i,:);
end
% 更新全局最优
if currentCost < gBestCost
gBestCost = currentCost;
gBest = particles(i,:);
end
end
% 更新粒子速度和位置
for i = 1:nPop
velocities(i,:) = w*velocities(i,:) + ...
c1*rand(1,nVar).*(pBest(i,:) - particles(i,:)) + ...
c2*rand(1,nVar).*(gBest - particles(i,:));
particles(i,:) = particles(i,:) + velocities(i,:);
% 边界处理
particles(i,:) = max(min(particles(i,:), 1), -1);
end
% 显示迭代信息
fprintf('Iteration %d | Best Cost: %.4f\n', iter, gBestCost);
end
6. 最优网络测试
matlab
% 解码最优参数
[W1, b1, W2, b2] = decodeWeights(gBest, inputSize, hiddenSize, outputSize);
% 构建最终网络
net = feedforwardnet(hiddenSize);
net.IW{1} = W1;
net.LW{2,1} = W2;
net.b{1} = b1;
net.b{2} = b2;
% 测试集预测
Y_pred = net(X_test');
[~, Y_pred] = max(Y_pred);
accuracy = sum(Y_pred' == Y_test)/numel(Y_test);
fprintf('Test Accuracy: %.2f%%\n', accuracy*100);
参考代码 利用PSO优化Bp算法 www.youwenfan.com/contentcsl/79536.html
三、扩展应用
1. 多模态数据融合
matlab
% 融合传感器数据
X_fused = [X_train, spectral_features];
net = trainNetwork(X_fused', Y_train', layers, options);
2. 实时系统部署
c
% 生成C代码
codegen trainNetwork -config:lib -args {X_train', Y_train'};