目录
1.课题概述
本课题首先分析了风力发电系统的几个参数指标,包括风能利用系数Cp,最大功率点跟踪MPPT,桨距角对功率特性,然后通过SIMULINK建立了一个多风机风力发电系统。
2.系统仿真结果
风能利用系数Cp分析


MPPT

桨距角特性

桨距角(β)是叶片与旋转平面的夹角,其作用为:
低风速时, β接近0°,叶片充分捕获风能, Cp达到最大值;
高风速时,增大β可减小叶片受风面积,降低捕获功率,避免风力机过载。
Simulink多风机建模与仿真



3.核心程序与模型
版本:Matlab2024b
...............................................................................
figure;
plot(cp(1:40,1),'r-o');hold on;
plot(cp(1:40,2),'g-o');hold on;
plot(cp(1:40,3),'y-o');hold on;
plot(cp(1:40,4),'b-o');hold off;
grid on;
title('max Cp');
xlabel('lambda');
ylabel('Cp');
Cpmax= max(max(cp));
% 大风能捕获
for i =1 : length(V)
Pmax(i) = 0.5*row*pi*R*R*Cpmax*V(i)^3;
end
%最大功率门限,可以根据需要设定。
for i=1:length(Pmax)
if Pmax(i)>2.5e6
Pmax(i)=2.5e6;
end;
end;
figure;
plot(Pmax,'r-o','linewidth',2);
grid on;
title('风力机功率特性曲线');
xlabel('风速');
ylabel('功率输出P');
08_099dm
4.系统原理简介
叶尖速比修正公式
叶尖速比(λ)是风力机叶片尖端线速度与风速的比值,程序中通过桨距角(β)修正为:

其中,λ为初始叶尖速比,β为叶片桨距角。该公式用于修正桨距角对叶片气动特性的影响,使叶尖速比更贴合实际工况。
程序通过遍历不同λ值,寻找使Cp 最大的最优叶尖速比,实现最大功率点跟踪(MPPT)。
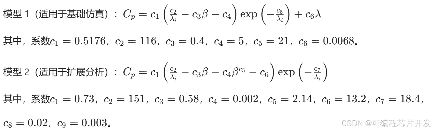
风能利用系数
风能利用系数是衡量风力机捕获风能效率的核心指标,程序采用两种经典模型:

风力机输出功率
风力机的输出功率(P)由风能捕获理论推导,公式为:


叶尖速比与转速关系
叶尖速比(λ)与风力机转速(ω)的关系为:

其中,ω为叶片转动角速度(单位:rad/s),程序中通过转速(turbine_speed)间接计算。
通过数学建模与仿真,系统揭示了风力机的风能利用机制:风能利用系数Cp 受叶尖速比和桨距角共同影响,通过最大功率点跟踪,可实现风能的高效捕获。
5.完整工程文件
v v
关注后,GZH回复关键词:a10