前言
学习机器学习的过程中,我逐渐意识到:
如果只有代码,而没有理论,就很难真正理解模型在做什么
如果只有概念,而缺少一个系统框架,又难以把知识串成体系
《统计学习方法》正好提供了这样一个结构清晰的入口------它把机器学习的核心思想和经典算法用统计学的语言表达出来,帮助我们理解算法背后的原理。

因此,我决定开启这个专栏,用自己的方式整理学习笔记。主要目标是:
- 用更直白的语言梳理书中的概念
- 把知识点整理成便于查阅和复习的形式
- 记录自己的理解和思考过程
这些笔记主要是我个人的学习记录,如果恰好对你也有帮助,那就更好了。希望通过这个过程,能让自己对机器学习的理论基础有更扎实的理解。
第4章------朴素贝叶斯法
本章叙述朴素贝叶斯法,包括朴素贝叶斯法的学习与分类、朴素贝叶斯法的参数估计算法。

4.1 朴素贝叶斯法的学习与分类
4.1.1 基本方法
问题设定
- 输入空间 : X⊆Rn\mathcal{X} \subseteq \mathbb{R}^nX⊆Rn 是 nnn 维向量的集合
- 输出空间 : Y={c1,c2,⋯ ,cK}\mathcal{Y} = \{c_1, c_2, \cdots, c_K\}Y={c1,c2,⋯,cK} 是类标记集合
- 训练数据集 : T={(x1,y1),(x2,y2),⋯ ,(xN,yN)}T = \{(x_1, y_1), (x_2, y_2), \cdots, (x_N, y_N)\}T={(x1,y1),(x2,y2),⋯,(xN,yN)},由联合概率分布 P(X,Y)P(X,Y)P(X,Y) 独立同分布产生
朴素贝叶斯法通过训练数据学习联合概率分布 P(X,Y)P(X,Y)P(X,Y),具体分为两步:
- 学习先验概率分布
P(Y=ck),k=1,2,⋯ ,KP(Y = c_k), \quad k = 1, 2, \cdots, K P(Y=ck),k=1,2,⋯,K - 学习条件概率分布
P(X=x∣Y=ck)=P(X(1)=x(1),⋯ ,X(n)=x(n)∣Y=ck),k=1,2,⋯ ,KP(X = x | Y = c_k) = P(X^{(1)} = x^{(1)}, \cdots, X^{(n)} = x^{(n)} | Y = c_k), \quad k = 1, 2, \cdots, K P(X=x∣Y=ck)=P(X(1)=x(1),⋯,X(n)=x(n)∣Y=ck),k=1,2,⋯,K
朴素贝叶斯假设(条件独立性假设)
❓为什么需要条件独立性假设呢?
如果不使用条件独立性假设,我们需要估计完整的条件概率分布:
P(X(1)=x(1),X(2)=x(2),⋯ ,X(n)=x(n)∣Y=ck)P(X^{(1)} = x^{(1)}, X^{(2)} = x^{(2)}, \cdots, X^{(n)} = x^{(n)} | Y = c_k)P(X(1)=x(1),X(2)=x(2),⋯,X(n)=x(n)∣Y=ck)
这意味着需要估计 nnn 个特征的所有可能组合的概率。
假设我们要做垃圾邮件分类:
- 特征数 n=10n = 10n=10(简化的例子,实际可能有几千个特征)
- 每个特征的取值数 Sj=2S_j = 2Sj=2(例如:单词是否出现)
- 类别数 K=2K = 2K=2(垃圾邮件 vs 正常邮件)
不使用条件独立性假设
需要估计的参数数量: K×∏j=1nSj=2×210=2×1024=2048 个参数K \times \prod_{j=1}^{n} S_j = 2 \times 2^{10} = 2 \times 1024 = 2048 \text{ 个参数}K×j=1∏nSj=2×210=2×1024=2048 个参数
如果特征数增加到 n=100n = 100n=100: 2×2100=2×1.27×1030≈2.5×1030 个参数2 \times 2^{100} = 2 \times 1.27 \times 10^{30} \approx 2.5 \times 10^{30} \text{ 个参数}2×2100=2×1.27×1030≈2.5×1030 个参数
这是天文数字! 即使整个互联网的数据也不够估计这么多参数。
使用条件独立性假设
需要估计的参数数量: K×∑j=1nSj=2×(2×10)=40 个参数K \times \sum_{j=1}^{n} S_j = 2 \times (2 \times 10) = 40 \text{ 个参数}K×j=1∑nSj=2×(2×10)=40 个参数
如果特征数增加到 n=100n = 100n=100: 2×(2×100)=400 个参数2 \times (2 \times 100) = 400 \text{ 个参数}2×(2×100)=400 个参数
线性增长,完全可行!
这就是为什么叫"朴素"(Naive)贝叶斯------它做了一个简单但不太现实的假设,却换来了巨大的计算优势!
朴素贝叶斯法的核心假设:给定类别 Y=ckY = c_kY=ck 的条件下,各个特征相互独立。
P(X=x∣Y=ck)=∏j=1nP(X(j)=x(j)∣Y=ck)P(X = x | Y = c_k) = \prod_{j=1}^{n} P(X^{(j)} = x^{(j)} | Y = c_k) P(X=x∣Y=ck)=j=1∏nP(X(j)=x(j)∣Y=ck)
说明: 这个假设大大简化了计算,虽然在实际中往往不成立,但朴素贝叶斯法在很多情况下仍然有效。
对于给定的输入 xxx,通过贝叶斯定理计算后验概率:
P(Y=ck∣X=x)=P(X=x∣Y=ck)P(Y=ck)∑kP(X=x∣Y=ck)P(Y=ck)P(Y = c_k | X = x) = \frac{P(X = x | Y = c_k) P(Y = c_k)}{\sum_k P(X = x | Y = c_k) P(Y = c_k)} P(Y=ck∣X=x)=∑kP(X=x∣Y=ck)P(Y=ck)P(X=x∣Y=ck)P(Y=ck)
代入条件独立性假设,得到朴素贝叶斯分类的基本公式:
P(Y=ck∣X=x)=P(Y=ck)∏jP(X(j)=x(j)∣Y=ck)∑kP(Y=ck)∏jP(X(j)=x(j)∣Y=ck),k=1,2,⋯ ,KP(Y = c_k | X = x) = \frac{P(Y = c_k) \prod_j P(X^{(j)} = x^{(j)} | Y = c_k)}{\sum_k P(Y = c_k) \prod_j P(X^{(j)} = x^{(j)} | Y = c_k)}, \quad k = 1, 2, \cdots, K P(Y=ck∣X=x)=∑kP(Y=ck)∏jP(X(j)=x(j)∣Y=ck)P(Y=ck)∏jP(X(j)=x(j)∣Y=ck),k=1,2,⋯,K
选择后验概率最大的类作为预测结果(贝叶斯分类器):
y=f(x)=argmaxckP(Y=ck)∏jP(X(j)=x(j)∣Y=ck)∑kP(Y=ck)∏jP(X(j)=x(j)∣Y=ck)y = f(x) = \arg\max_{c_k} \frac{P(Y = c_k) \prod_j P(X^{(j)} = x^{(j)} | Y = c_k)}{\sum_k P(Y = c_k) \prod_j P(X^{(j)} = x^{(j)} | Y = c_k)} y=f(x)=argckmax∑kP(Y=ck)∏jP(X(j)=x(j)∣Y=ck)P(Y=ck)∏jP(X(j)=x(j)∣Y=ck)
由于分母对所有 ckc_kck 都相同,可以简化为:
y=argmaxckP(Y=ck)∏jP(X(j)=x(j)∣Y=ck)y = \arg\max_{c_k} P(Y = c_k) \prod_j P(X^{(j)} = x^{(j)} | Y = c_k) y=argckmaxP(Y=ck)j∏P(X(j)=x(j)∣Y=ck)
4.1.2 后验概率最大化的意义
核心思想
朴素贝叶斯法为什么要选择后验概率最大 的类别?其实这背后有一个很自然的逻辑:最小化分类错误的风险。
我们定义一个简单的 0-1 损失函数:
L(Y,f(X))={1,Y≠f(X) (分类错误),0,Y=f(X) (分类正确). L(Y, f(X)) = \begin{cases} 1, & Y \neq f(X)\ \text{(分类错误)},\\[6pt] 0, & Y = f(X)\ \text{(分类正确)}. \end{cases} L(Y,f(X))=⎩ ⎨ ⎧1,0,Y=f(X) (分类错误),Y=f(X) (分类正确).
这个函数的意思很直白:分错了就损失 1,分对了损失为 0。
对于每个可能的输入 XXX,我们把所有类别的损失加权求和,权重就是该类别的后验概率:
Rexp(f)=EX∑k=1K[L(ck,f(X))]P(ck∣X)R_{\exp}(f) = E_X \sum_{k=1}^{K} [L(c_k, f(X))] P(c_k | X)Rexp(f)=EXk=1∑K[L(ck,f(X))]P(ck∣X)
最小化风险
要让期望风险最小,我们只需要对每个具体的 X=xX = xX=x 单独最小化:
f(x)=argminy∈Y∑k=1KL(ck,y)P(ck∣X=x)f(x) = \arg\min_{y \in \mathcal{Y}} \sum_{k=1}^{K} L(c_k, y) P(c_k | X = x)f(x)=argy∈Ymink=1∑KL(ck,y)P(ck∣X=x)
代入 0-1 损失函数:
- 当 y=cky = c_ky=ck 时,L(ck,y)=0L(c_k, y) = 0L(ck,y)=0
- 当 y≠cky \neq c_ky=ck 时,L(ck,y)=1L(c_k, y) = 1L(ck,y)=1
所以求和项变成:
f(x)=argminy∈Y∑k=1KP(y≠ck∣X=x)f(x) = \arg\min_{y \in \mathcal{Y}} \sum_{k=1}^{K} P(y \neq c_k | X = x)f(x)=argy∈Ymink=1∑KP(y=ck∣X=x)
=argminy∈Y(1−P(y=ck∣X=x))= \arg\min_{y \in \mathcal{Y}} (1 - P(y = c_k | X = x))=argy∈Ymin(1−P(y=ck∣X=x))
=argmaxy∈YP(y=ck∣X=x)= \arg\max_{y \in \mathcal{Y}} P(y = c_k | X = x)=argy∈YmaxP(y=ck∣X=x)
结论
最小化期望风险 ⟺ 最大化后验概率
f(x)=argmaxckP(ck∣X=x)f(x) = \arg\max_{c_k} P(c_k | X = x)f(x)=argckmaxP(ck∣X=x)
这就是朴素贝叶斯法的理论依据。
对于分类任务,在已知后验概率的情况下选择概率最大 的类别,其实就是在最小化 0-1 损失 的期望错误率。因为在每一次预测中,选择后验概率最高的那一类,等价于让"预测错误的概率"尽可能小;从整体来看,这种策略能保证在所有可能的分类规则中达到最低的平均错误率。
因此,即使它不能保证每次都正确,但从长期统计意义上,它是犯错最少、最合理、也是最优的选择,这就是贝叶斯最优分类器的核心思想。
4.2 朴素贝叶斯法的参数估计
4.2.1 极大似然估计
在朴素贝叶斯方法里,我们要估计两类概率:
- 先验概率 P(Y=ck)P(Y=c_k)P(Y=ck)
- 条件概率 P(X(j)=ajl∣Y=ck)P(X^{(j)} = a_{jl} \mid Y=c_k)P(X(j)=ajl∣Y=ck)
朴素贝叶斯直接用训练数据的频率来估计这两个概率,也就是用 极大似然估计(MLE)。
1. 先验概率的 MLE
含义: 某一类 ckc_kck 在训练集中出现的比例。
公式:
P(Y=ck)=1N∑i=1NI(yi=ck)P(Y=c_k)=\frac{1}{N}\sum_{i=1}^N I(y_i=c_k)P(Y=ck)=N1i=1∑NI(yi=ck)
- 分子:类别 ckc_kck 出现的次数
- 分母:总样本数 (N)
2. 条件概率的 MLE
含义: 在类别为 ckc_kck 的数据中,第 jjj 个特征取某个值 ajla_{jl}ajl 的比例。
公式:
P(X(j)=ajl∣Y=ck)∑i=1NI(xi(j)=ajl, yi=ck)∑i=1NI(yi=ck)P(X^{(j)} = a_{jl}\mid Y=c_k) \frac{\sum_{i=1}^N I(x_i^{(j)}=a_{jl},\ y_i=c_k)} {\sum_{i=1}^N I(y_i=c_k)}P(X(j)=ajl∣Y=ck)∑i=1NI(yi=ck)∑i=1NI(xi(j)=ajl, yi=ck)
- 分子:同时满足 「样本属于 ckc_kck」且「特征取值为 ajla_{jl}ajl」的次数
- 分母:类别 ckc_kck 出现的总次数
4.2.2 学习与分类算法

算法目标
如果有「一个实例点 x」,想通过朴素贝叶斯的分类法找到它「对应的类别 y」。
算法过程
- 先求出先验概率和条件概率(学习系统得到一个模型的过程)
P(Y=ck)=1N∑i=1NI(yi=ck)P(Y=c_k)=\frac{1}{N}\sum_{i=1}^N I(y_i=c_k)P(Y=ck)=N1i=1∑NI(yi=ck) - 求出一系列的条件概率(学习系统得到一个模型的过程)
P(X(j)=ajl∣Y=ck)∑i=1NI(xi(j)=ajl, yi=ck)∑i=1NI(yi=ck)P(X^{(j)} = a_{jl}\mid Y=c_k) \frac{\sum_{i=1}^N I(x_i^{(j)}=a_{jl},\ y_i=c_k)} {\sum_{i=1}^N I(y_i=c_k)}P(X(j)=ajl∣Y=ck)∑i=1NI(yi=ck)∑i=1NI(xi(j)=ajl, yi=ck) - 把各类的先验概率和条件概率连乘,得出计算结果最大值,就是对应的类
y=argmaxckP(Y=ck)∏jP(X(j)=x(j)∣Y=ck)y = \arg\max_{c_k} P(Y = c_k) \prod_j P(X^{(j)} = x^{(j)} | Y = c_k) y=argckmaxP(Y=ck)j∏P(X(j)=x(j)∣Y=ck)
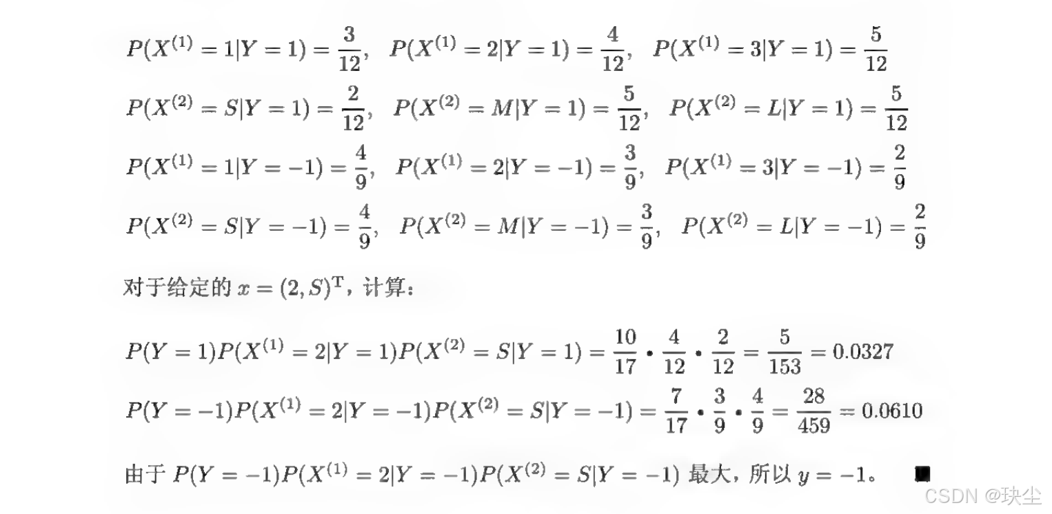
例题解析


4.2.3 贝叶斯估计
在用极大似然估计概率时,我们完全依赖训练数据本身。如果数据分布不均衡,就会得到非常离谱的估计。比如我们想估计"女性在总体人口中的比例",但训练数据来自"女儿国",那极大似然就会给出 100% 都是女性 。显然,这不能代表真实情况。因此,我们需要一种方式来避免极端数据导致的极端结论,这就是贝叶斯估计存在的意义。
贝叶斯估计会在极大似然的公式里额外加上一些"先验信息"。
做法是:在计算先验概率和条件概率时,分子和分母都加上一个常数 λ\lambdaλ。当 λ=0\lambda = 0λ=0 时,它就退化成普通的极大似然估计。当 λ>0\lambda > 0λ>0 时,哪怕某些情况在训练集中从来没出现过,也不会被估计成 零概率。
「先验概率的贝叶斯估计」:

「条件概率的贝叶斯估计」:

实际中常用的是 λ=1\lambda = 1λ=1,也就是所谓的 拉普拉斯平滑。
⭐️为什么加了 𝜆 之后叫做"平滑"?
加入平滑系数 λ\lambdaλ 后,先验概率变为:
Pλ(Y=ck)=∑i=1NI(yi=ck)+λN+KλP_{\lambda}(Y = c_k) = \frac{\sum_{i=1}^{N} I(y_i = c_k) + \lambda}{N + K\lambda}Pλ(Y=ck)=N+Kλ∑i=1NI(yi=ck)+λ
为了推导更直观,我们把记号简化:
Pλ(Y=ck)=θk,∑i=1NI(yi=ck)=NkP_{\lambda}(Y = c_k)=\theta_k,\qquad \sum_{i=1}^{N} I(y_i = c_k) = N_kPλ(Y=ck)=θk,∑i=1NI(yi=ck)=Nk
代入后得:
θk(N+Kλ)=Nk+λ\theta_k(N + K\lambda) = N_k + \lambdaθk(N+Kλ)=Nk+λ
将等式重新整理:
(θkN−Nk)+λ(Kθk−1)=0(\theta_k N - N_k) + \lambda(K\theta_k - 1) = 0(θkN−Nk)+λ(Kθk−1)=0
前面这个式子为0,就是极大似然法,后面这个式子为0时,就是先验概率。这两个式子组成了凸组合。
例题讲解


本章概要
1. 朴素贝叶斯法是典型的生成学习方法。 生成方法由训练数据学习联合概率分布 P(X,Y)P(X, Y)P(X,Y),然后求得后验概率分布 P(Y∣X)P(Y|X)P(Y∣X)。具体来说,利用训练数据学习 P(X∣Y)P(X|Y)P(X∣Y) 和 P(Y)P(Y)P(Y) 的估计,得到联合概率分布:
P(X,Y)=P(Y)P(X∣Y)P(X, Y) = P(Y)P(X|Y)P(X,Y)=P(Y)P(X∣Y)
概率估计方法可以是极大似然估计或贝叶斯估计。
2. 朴素贝叶斯法的基本假设是条件独立性,
P(X=x∣Y=ck)=P(X(1)=x(1),⋯ ,X(n)=x(n)∣Y=ck)P(X = x|Y = c_k) = P(X^{(1)} = x^{(1)}, \cdots, X^{(n)} = x^{(n)}|Y = c_k)P(X=x∣Y=ck)=P(X(1)=x(1),⋯,X(n)=x(n)∣Y=ck)
=∏j=1nP(X(j)=x(j)∣Y=ck)= \prod_{j=1}^{n} P(X^{(j)} = x^{(j)}|Y = c_k)=j=1∏nP(X(j)=x(j)∣Y=ck)
这是一个较强的假设。由于这一假设,模型包含的条件概率的数量大为减少,朴素贝叶斯法的学习与预测大为简化。因而朴素贝叶斯法高效,且易于实现。其缺点是分类的性能不一定很高。
3. 朴素贝叶斯法利用贝叶斯定理与学到的联合概率模型进行分类预测。
P(Y∣X)=P(X,Y)P(X)=P(Y)P(X∣Y)∑YP(Y)P(X∣Y)P(Y|X) = \frac{P(X, Y)}{P(X)} = \frac{P(Y)P(X|Y)}{\sum_Y P(Y)P(X|Y)}P(Y∣X)=P(X)P(X,Y)=∑YP(Y)P(X∣Y)P(Y)P(X∣Y)
将输入 xxx 分到后验概率最大的类 yyy。
y=argmaxckP(Y=ck)∏j=1nP(Xj=x(j)∣Y=ck)y = \arg\max_{c_k} P(Y = c_k)\prod_{j=1}^{n} P(X_j = x^{(j)} \mid Y = c_k)y=argckmaxP(Y=ck)j=1∏nP(Xj=x(j)∣Y=ck)
后验概率最大等价于 0-1 损失函数时的期望风险最小化。