一、从PWM变换器到准谐振变换器
1、谐振开关的概念
在基础篇中曾介绍过不少PWM变换器,它们均可分为输入源、开关网络、负端三个部分,如果使用谐振开关网络替换原本的PWM开关网络,那么就可以构造出原始PWM变换器的准谐振版本

2、ZCS与ZVS的概念
(1)如下为ZCS准谐振变换器中开关器件的电流电压波形,这与谐振变换器中的不一致,但本质上也是在零电流时对开关状态进行切换,切换过程中电流乘以电压对时间的积分结果为零,也即不产生损耗,此外,这里的电流与电压波形是不发生重叠的。

(2)如下为ZVS准谐振变换器中开关器件的电流电压波形,这与谐振变换器中的不一致,但本质上也是在零电压时对开关状态进行切换,切换过程中电流乘以电压对时间的积分结果为零,也即不产生损耗,此外,这里的电流与电压波形是不发生重叠的。

二、ZCS准谐振变换器(半波)
1、ZCS半波谐振开关网络
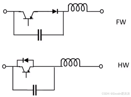
(1)下图所示的是两种半波ZCS谐振开关网络,它们都可以替换PWM变换器中原本的PWM开关网络,构成ZCS半波准谐振变换器。

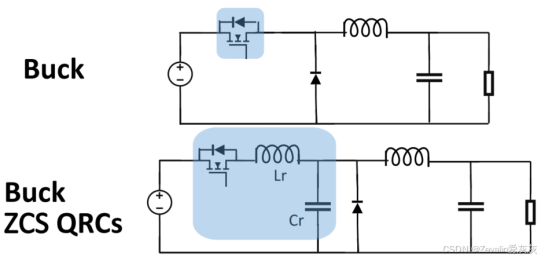
(2)以Buck电路为例,将其开关网络替换为半波ZCS谐振开关网络,即可构成Buck ZCS半波准谐振变换器。

2、模态分析
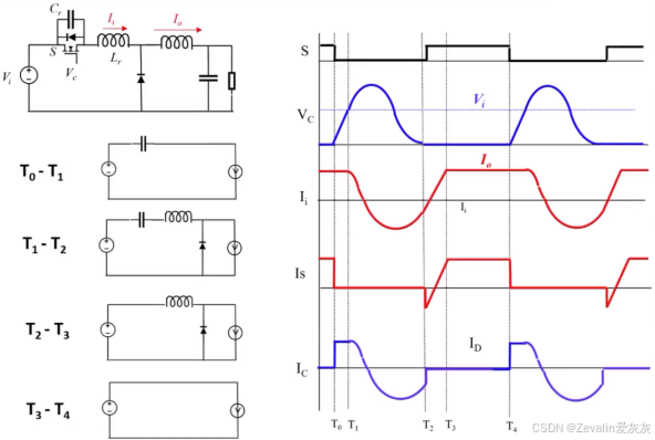
(1)如下为Buck ZCS半波准谐振变换器的等效电路及电路参量波形,其中,负载和输出一阶低通滤波器视为恒定电流源,所有半导体器件和无源器件都是理想的。


(2)Buck ZCS半波准谐振变换器的模态分析:
①模态1:


②模态2:



③模态3:


④模态4:


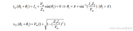
3、最大开关频率的确定
继续以Buck ZCS半波准谐振变换器为例
根据模态分析结果,不难得出开关周期的角度长为

以上4个模态中,第四个模态的长度不能为负,且开关周期必须足够长,以确保电感电流和电压在开关周期结束时归零,则最小开关周期的角度长为

把代入上式,可得

4、增益分析
继续以Buck ZCS半波准谐振变换器为例,每个开关周期内都满足能量守恒定律
输入变换器的能量可用输入电压乘以谐振电感电流对时间的积分求解,有

该式有两点需要说明:
①模态1中输入侧电压源对谐振电感充电,根据等面积法有

②谐振腔具有储能行为,虽然谐振电感电流在模态3中为0,但谐振腔中仍有能量未释放,剩余能量向负端释放恰恰就是发生在模态3中,换句话说,模态2中输入侧向变换器输入的能量,变换器会在模态2和模态3中分别向输出侧释放,根据等面积法有

输出变换器的能量可用输出电压乘以负载电流对时间的积分求解,有



5、补充说明
前面提到了半波谐振开关网络有两种,它们的差异点为谐振电容的位置不同,但实际上它们二者的作用是等效的,仅仅是谐振电容的电压取值区间不同,模态分析基本是高度相似甚至完全一致的

三、ZCS准谐振变换器(全波)
1、ZCS全波谐振开关网络
(1)下图所示的是两种全波ZCS谐振开关网络,它们都可以替换PWM变换器中原本的PWM开关网络,构成ZCS全波准谐振变换器。

(2)以Buck电路为例,将其开关网络替换为半波ZCS谐振开关网络,即可构成Buck ZCS半波准谐振变换器。

2、模态分析
(1)如下为Buck ZCS全波准谐振变换器的等效电路及电路参量波形,其中,负载和输出一阶低通滤波器视为恒定电流源,所有半导体器件和无源器件都是理想的。

(2)对比Buck ZCS半波准谐振变换器的模态分析结果,不难发现Buck ZCS全波准谐振变换器的各个模态与之是高度相似的(不论是电路参量还是等效电路),不同的是模态2中谐振电感电流可以双向流动。

由于谐振开关中没有二极管,当谐振电感电流过零且晶体管关断后,电流可从晶体管的体二极管流过(此时谐振腔中的能量会回馈至输入端,尤其是轻载时,回馈电流的有效值更高),直到电流再次过零,体二极管无法导通与之阳阴极反向电流,整个开关管S才会真正关断,进入模态3

3、增益分析

4、补充说明
(1)构成准谐振变换器的方法,除了有使用谐振开关网络替换PWM变换器中原本的PWM开关网络,还有利用PWM变换器中的寄生参数构成谐振腔(比如实际变压器的励磁电感),这两种方法都是可行的。
(2)对于带有变压器的准谐振变换器,其谐振腔的元件可以分布在变压器两侧,经过等效分析后,其实它们就是等效于位于同一侧的谐振腔。下图所示的是正激ZCS准谐振变换器的网络拓扑演变(二极管D2摆放的位置决定谐振电感是否可以通过双向电流,也就是决定了是全波还是半波变换器)。

四、ZVS准谐振变换器
1、ZVS谐振开关网络
下图所示的是两种半波和全波ZVS谐振开关网络,它们都可以替换PWM变换器中原本的PWM开关网络,构成ZVS准谐振变换器

2、模态分析
(1)如下为Buck ZVS半波准谐振变换器的电路拓扑、等效电路及电路参量波形,负载和输出一阶低通滤波器可等效为恒定电流源,所有半导体器件和无源器件都是理想的。

(2)Buck ZVS半波准谐振变换器的模态分析:
①模态1:


②模态2:


③模态3:


④模态4:


(3)Buck ZVS半波准谐振变换器的模态分析与Buck ZVS全波准谐振变换器的模态分析高度相似,不同的是模态2中谐振电容可以承受双向电压。

由于谐振开关中谐振电容没有直接并联体二极管,当谐振电容电压过零后,谐振电容可以承受反向电压,直到电压再次过零,控制开关管S导通(零电压开通),进入模态3
3、补充说明
ZVS准谐振变换器的介绍没有ZCS准谐振变换器详细,但它们的分析方法都是可以互相借鉴的,此处没有过多赘述,并不意味着ZVS准谐振变换器"没有那么重要"