二叉树的链式结构
- 1、增删查改有意义吗?
- [2、前 / 中 / 后序遍历](#2、前 / 中 / 后序遍历)
- 3、统计所有节点个数
- 4、统计所有叶子节点的个数
- 5、统计第k层节点个数
- 6、计算二叉树深度
- 7、查找结点
- 8、销毁二叉树
- 9、层序遍历
- 10、判断完全二叉树
1、增删查改有意义吗?
我们之前在二叉树的简单介绍中讲过,对于非完全二叉树,使用链式结构实现。
我们还知道,实现这种二叉树,如果使用二叉链,那么(二叉树节点的)结构体成员包括数据 、左孩子 、右孩子。
c
typedef char BTDatatype;
typedef struct BinaryTreeNode
{
BTDatatype val;
struct BinaryTreeNode* left;
struct BinaryTreeNode* right;
}BTNode;
经过之前的学习,我们很自然会类比迁移的觉得,我们在链式结构中,将实现增删查改 。但问题是,在一个非完全二叉树中,增删查改有意义吗?

我们来看这棵二叉树。
如果我们要插入一个节点,我们插在哪儿? A 的左孩子上? B 的左孩子上? B 的右孩子上?
所以,在用链式结构实现的非完全二叉树上讨论节点的增删查改,没有意义。
而有意义的,是讨论一些遍历的方法。
2、前 / 中 / 后序遍历
2.1、概念简单介绍
- 前序遍历 :先遍历根节点,然后遍历左孩子结点,再遍历右孩子结点。又被称为先根遍历。
- 中序遍历 :先遍历左孩子结点,然后遍历根节点,再遍历右孩子结点。又被称为中根遍历。
- 后序遍历 :先遍历左孩子结点,然后遍历右孩子结点,再遍历根节点。又被称为后根遍历。
三个遍历方法,可以巧记为:
根左右 根左右 根左右 左根右 左根右 左根右 左右根 左右根 左右根
2.2、前序遍历
口诀为:根左右
如图:

根据前序遍历的规则,我们从根节点开始,得到这样一个遍历顺序:
A − > B − > D − > N U L L − > N U L L − > N U L L − > C − > E − > N U L L − > N U L L − > F − > N U L L − > N U L L A->B->D->NULL->NULL->NULL->C->E->NULL->NULL->F->NULL->NULL A−>B−>D−>NULL−>NULL−>NULL−>C−>E−>NULL−>NULL−>F−>NULL−>NULL
是不是呢?代码实现一下:
c
void PreOrder(BTNode* root)
{
if (root == NULL)
{
printf("NULL ");
return;
}
printf(root->val);
PreOrder(root->left);
PreOrder(root->right);
}

会发现,完全符合。
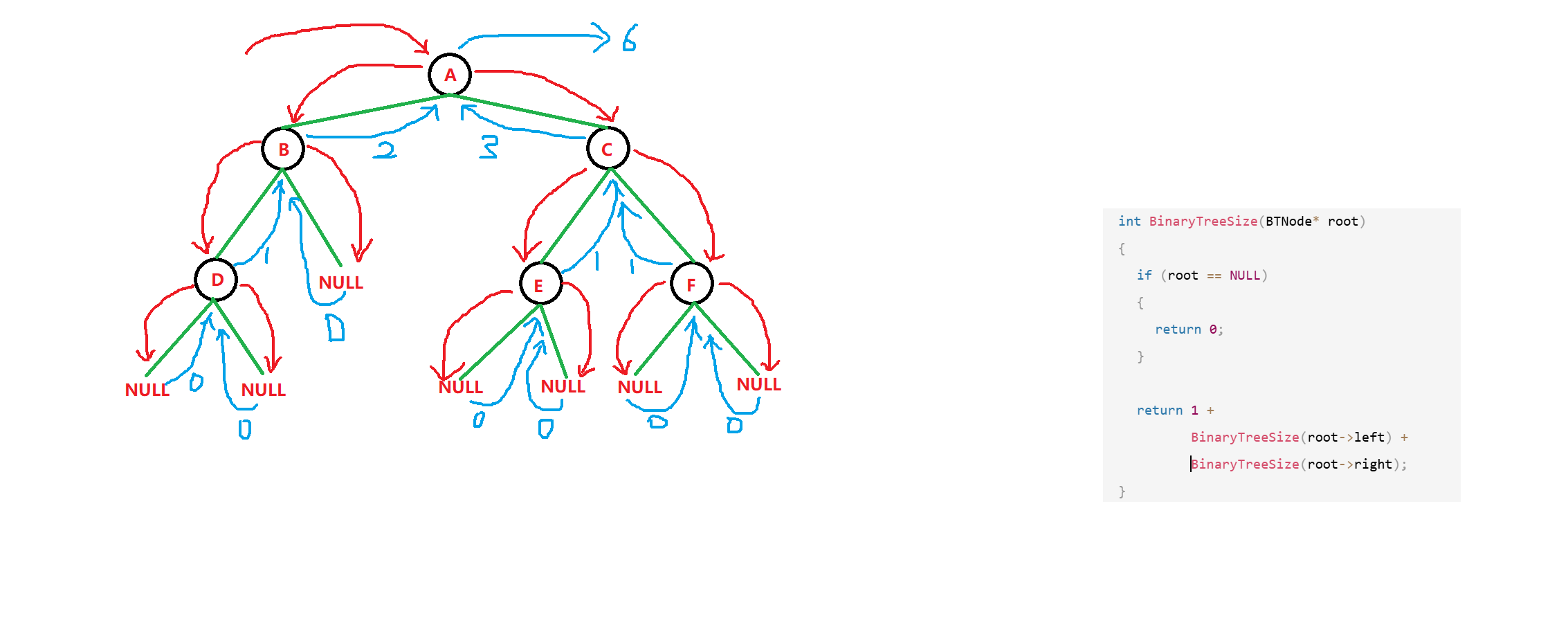
代码中,我们用到了函数递归 。我们知道,每次调用一次函数,就会开辟一个函数栈帧;而函数调用结束后,函数栈帧就被销毁。
我们用红线代表函数开辟空间,用绿线代表函数结束归还空间,以图示来解释前序遍历的全过程:

2.3、中序遍历
口诀为:前根后

c
void InOrder(BTNode* root)
{
if (root == NULL)
{
printf("NULL ");
return;
}
InOrder(root->left);
printf(root->val);
InOrder(root->right);
}
遍历顺序:
N U L L − > D − > N U L L − > B − > N U L L − > A − > N U L L − > E − > N U L L − > C − > N U L L − > F − > N U L L NULL-> D-> NULL-> B-> NULL-> A ->NULL-> E-> NULL-> C-> NULL-> F-> NULL NULL−>D−>NULL−>B−>NULL−>A−>NULL−>E−>NULL−>C−>NULL−>F−>NULL
根据上图和上面的代码,我们可以做出以下图示:

2.4、后序遍历
口诀为:前后根

c
void PostOrder(BTNode* root)
{
if (root == NULL)
{
printf("NULL ");
return;
}
PostOrder(root->left);
PostOrder(root->right);
printf(root->val);
}
遍历顺序:
N U L L − > N U L L − > D − > N U L L − > B − > N U L L − > N U L L − > E − > N U L L − > N U L L − > F − > C − > A NULL-> NULL-> D-> NULL-> B-> NULL-> NULL-> E-> NULL-> NULL-> F-> C-> A NULL−>NULL−>D−>NULL−>B−>NULL−>NULL−>E−>NULL−>NULL−>F−>C−>A
根据上图和上面的代码,我们可以做出以下图示:

3、统计所有节点个数
如标题。
假如我们在函数里面直接创建一个计数器,用来统计节点的个数。
c
//统计所有结点个数
int BinaryTreeSize(BTNode* root)
{
if (root == NULL)
{
return 0;
}
int size = 0;
size++;
BinaryTreeSize(root->left);
BinaryTreeSize(root->right);
return size;
}
我们不难知道,程序每次进入函数中时,size都会被修改成0,这样的处得到的答案一定是错的。
那么,将size定义为全局变量呢?(static和将size定义为全局变量的效果相同)
c
int size = 0;
//统计所有结点个数
int BinaryTreeSize(BTNode* root)
{
if (root == NULL)
{
return 0;
}
/*static int size = 0;*/
size++;
BinaryTreeSize(root->left);
BinaryTreeSize(root->right);
return size;
}

我们看到,此时产生了累加效果,意味着统计节点个数函数不能多次使用,也不行。
那我们往函数里添加一个参数,会怎样呢?
c
//统计所有结点个数
void BinaryTreeSize(BTNode* root, int* psize)
{
if (root == NULL)
{
return;
}
(*psize)++;
BinaryTreeSize(root->left, psize);
BinaryTreeSize(root->right, psize);
}
c
void test()
{
BTNode* root = CreatTree();
// PreOrder(root);
// printf("\n");
// InOrder(root);
// printf("\n");
// PostOrder(root);
int size = 0;
BinaryTreeSize(root, &size);
printf("%d\n", size);
size = 0;
BinaryTreeSize(root, &size);
printf("%d\n", size);
}

这看似是解决了问题,但是比较麻烦,不仅要添加一个参数,还需要在测试文件中不断初始化size。
有没有更优的方法?递归。
我们可以认为,节点个数可以分为左子树节点个数、右子树节点个数和父节点(1个):
节点个数 = 左子树节点个数 + 右子树节点个数 + 父节点( 1 ) 节点个数=左子树节点个数+右子树节点个数+父节点(1) 节点个数=左子树节点个数+右子树节点个数+父节点(1)
c
//统计所有结点个数
int BinaryTreeSize(BTNode* root)
{
if (root == NULL)
{
return 0;
}
return 1 +
BinaryTreeSize(root->left) +
BinaryTreeSize(root->right);
}

图示:

4、统计所有叶子节点的个数
什么是叶子节点?没有左、右孩子的节点(度为0)。
类比所有节点个数的求法,我们也可以认为:
叶子节点个数 = 左子树叶子节点个数 + 右子树叶子节点个数 叶子节点个数=左子树叶子节点个数+右子树叶子节点个数 叶子节点个数=左子树叶子节点个数+右子树叶子节点个数
同时,每一个节点的情况,无非三种:
- 节点为空 。返回0
- 节点没有孩子节点 。返回1
- 节点有孩子节点 。继续递归到其左右孩子
c
//统计所有叶子节点个数
int BinaryTreeLeafSize(BTNode* root)
{
//无非三种情况:当前节点为空,当前节点是叶子节点,当前节点不是叶子节点(有左/右孩子)
if (root == NULL)
{
return 0;
}
if (root->left == NULL && root->right == NULL)
{
return 1;
}
//前两种情况,每一种情况都要判断,所以不能用else if
return BinaryTreeLeafSize(root->left) +
BinaryTreeLeafSize(root->right);
}
5、统计第k层节点个数
第 k 层节点个数 = 左子树第 k 层节点个数 + 右子树第 k 层节点个数 第k层节点个数=左子树第k层节点个数+右子树第k层节点个数 第k层节点个数=左子树第k层节点个数+右子树第k层节点个数
我们不妨在参数中加入一个参数k,k代表要统计的层数为第k 层。每次向下一层,使k-1。当k==1,就来到了最底层。
所以还是存在三种情况。
c
//统计第k层所有节点个数
int BinaryTreeKFloorSize(BTNode* root, int k)
{
//首先判断空节点
if (root == NULL)
{
return 0;
}
//当k减到1,就来到了第k层,每一个函数栈帧对应一个节点,所以返回1
if (k == 1)
{
return 1;
}
//到这里,就还没到第k层
return BinaryTreeKFloorSize(root->left, k-1) +
BinaryTreeKFloorSize(root->right, k-1);
}
6、计算二叉树深度
递推公式:
二叉树深度 = = 1 (父节点占一层) + m a x ( 左子树深度 , 右子树深度 ) 二叉树深度==1(父节点占一层)+max(左子树深度, 右子树深度) 二叉树深度==1(父节点占一层)+max(左子树深度,右子树深度)
c
//二叉树的深度/高度
int TreeDepth(BTNode* root)
{
//递推公式:深度 = 1 + max(左子树深度, 右子树深度)
if (root == NULL)
{
return 0;
}
//保存子树的深度
int LeftDep = TreeDepth(root->left);
int RightDep = TreeDepth(root->right);
return 1 + (LeftDep > RightDep ? LeftDep : RightDep);
}
7、查找结点
可以通过递归进行" 遍历 "。
遇到的节点,无非三种情况:
- 为空。返回
NULL - 为要查找的节点,返回该节点
- 既不为空,又不是要查找的节点
对于第3点,可以先找其左子树,存下返回值,判断是否为空;如果都为空,再找右子树,重复操作;如果都没有,返回NULL。
c
//查找节点
BTNode* FindNode(BTNode* root, char str)
{
//节点为空
if (root == NULL)
{
return NULL;
}
//刚好为要找节点
if (root->val == str)
{
return root;
}
//既不是要找节点,又不为空
//找左子树
BTNode* LeftFind = FindNode(root->left, str);
//判断
if (LeftFind)
{
return LeftFind;
}
//走到这,左子树找完了,找右子树
BTNode* RightFind = FindNode(root->right, str);
//判断
if (RightFind)
{
return RightFind;
}
//找到这,没有
return NULL;
}
8、销毁二叉树
销毁二叉树的顺序,应该是:左、右、根。
如果不按照这个顺序来,那么将会找不到根节点的子树。
当然,节点为空,不能释放。
c
//销毁二叉树
void TreeDestroy(BTNode** proot)
{
//会改变二叉树,需要二级指针
//为空,不需要销毁
if (*proot == NULL)
{
return;
}
//不为空,销毁顺序:左右根
TreeDestroy(&((*proot)->left));
TreeDestroy(&((*proot)->right));
free(*proot);
*proot = NULL;
}
9、层序遍历
我们前面学习的前、中、后序遍历,属于深度优先遍历。
而现在要学习的层序遍历,则属于广度优先遍历。
比如还是拿这个二叉树举例:

这个二叉树,层序遍历的结果,当然是:
A − > B − > C − > D − > E − > F A->B->C->D->E->F A−>B−>C−>D−>E−>F
要实现层序遍历,我们需要借助之前学习过的数据结构------队列。
思路:
- 创建队列,入二叉树根节点,使队列不为空
- 以队列不为空的条件建立
while循环,执行下面操作:- 取(当前)队头,打印,出队头
- (当队列不为空时)按顺序插入对头的左、右孩子(左、右孩子不能为空)
注意到,队头取出时一般会存下,所以入左右孩子操作与打印出队头操作没有先后顺序之分。但我们最好使用上面的顺序,便于理解。
我们需要在层序遍历的函数中,创建队列,那么,我们不仅需要将队列的实现(头文件、原文件)拷贝到当前项目下,还要在BinaryTree.c的顶上,加上头文件"Queue.h"。
那么这时,我们在队列中存放的每一个数据,就不是字符了,而是二叉树的节点:
c
typedef struct BinaryTreeNode* QueueDataType;
其中,我们没有在Queue.h文件中,加入头文件"BinaryTree.h"头文件,就定义了结构体指针类型struct BinaryTreeNode*。这样做是可以的,因为这样就等于声明了有这么样一个结构体,同时用另一个名称重命名这个结构体。
代码演示(队列的实现就不重复说明了):
c
//层序遍历
void LevelOder(BTNode* root)
{
//创建队列
Queue q;
//初始化
QueueInit(&q);
//入根节点
QueuePush(&q, root);
//循环
while (!QueueEmpty(&q))
{
// //取队顶
// BTNode* front = QueueHead(&q);
// //打印
// printf("%c ", front->val);
// //出队列
// QueuePop(&q);
// //入左右孩子
// if (front->left)
// {
// QueuePush(&q, front->left);
// }
// if (front->right)
// {
// QueuePush(&q, front->right);
// }
//取队顶
BTNode* front = QueueHead(&q);
//入左右孩子
if (front->left)
{
QueuePush(&q, front->left);
}
if (front->right)
{
QueuePush(&q, front->right);
}
//打印
printf("%c ", front->val);
//出队列
QueuePop(&q);
}
}
10、判断完全二叉树
完全二叉树有两个性质:
- 除最底层外所有层,节点个数达到最大(符合满二叉树特点)
- 最底层不一定达到最大,但是从左到右排列
判断是否完全二叉树,方法与层序遍历类似:
- 创建队列,首先入根节点。
- 当队列不为空,进入循环,取队头,存下队头,出队头
- 如果存下的队头为空,结束循环;否则,入左、右孩子
- 结束循环后,继续循环,取队头,判断是否存的是非空节点。如果有非空节点,那就不是完全二叉树;如果全是空节点,那么是完全二叉树
如图:
非完全二叉树:

完全二叉树:

代码演示:
c
//判断完全二叉树
bool IsComplete(BTNode* root)
{
//创建队列
Queue q;
//初始化
QueueInit(&q);
//入根节点
QueuePush(&q, root);
//循环
while (!QueueEmpty(&q))
{
//取队顶,接受
BTNode* front = QueueHead(&q);
//出队顶
QueuePop(&q);
//判断
if (front == NULL)
{
break;
}
//直接入左右孩子
QueuePush(&q, front->left);//不只是根节点
QueuePush(&q, front->right);
}
//再循环
while (!QueueEmpty(&q))
{
//取队顶,接受
BTNode* front = QueueHead(&q);
//出队顶
QueuePop(&q);//最好取完就出
//判断
if (front)
{
//销毁队列
QueueDestroy(&q);//也要销毁
return false;
}
}
return true;
//销毁队列
QueueDestroy(&q);
}
最后附上完整代码:链式结构