目录
[Transformer 原理系列(第一章)------ 从序列相关性出发,理解注意力机制的本质](#Transformer 原理系列(第一章)—— 从序列相关性出发,理解注意力机制的本质)
[1. 序列数据的本质:样本按时间排列 & 样本之间存在依赖关系](#1. 序列数据的本质:样本按时间排列 & 样本之间存在依赖关系)
[2. 序列模型三大家族:它们都在做"加权求和"](#2. 序列模型三大家族:它们都在做“加权求和”)
[2.1 ARIMA 家族:线性加权](#2.1 ARIMA 家族:线性加权)
[2.2 RNN / LSTM:隐状态传递,本质仍然是加权](#2.2 RNN / LSTM:隐状态传递,本质仍然是加权)
[2.3 CNN 处理序列:局部加权卷积](#2.3 CNN 处理序列:局部加权卷积)
[3. 序列学习的终极问题:如何建立任意两个样本之间的关系?](#3. 序列学习的终极问题:如何建立任意两个样本之间的关系?)
[4. 注意力机制:为每个样本赋予权重,告诉模型"什么更重要"](#4. 注意力机制:为每个样本赋予权重,告诉模型“什么更重要”)
[5. 样本重要性如何判断?------通过向量相似度](#5. 样本重要性如何判断?——通过向量相似度)
[6. 自注意力(Self-Attention):让序列中每个样本与所有样本相关](#6. 自注意力(Self-Attention):让序列中每个样本与所有样本相关)
[7. 从相关性矩阵到 Transformer 的 Q、K、V](#7. 从相关性矩阵到 Transformer 的 Q、K、V)
[8. 总结:为什么注意力机制是序列模型的终极方案?](#8. 总结:为什么注意力机制是序列模型的终极方案?)
[结语:下一章我们将从"注意力公式"正式进入 Transformer 内核](#结语:下一章我们将从“注意力公式”正式进入 Transformer 内核)
Transformer 原理系列(第一章)------ 从序列相关性出发,理解注意力机制的本质
在正式进入 Transformer 的世界之前,我们必须先回答一个根本问题:
序列模型到底在学什么?它们是如何理解"序列中样本与样本之间的关系"的?
无论是自然语言、语音信号、视频帧序列,还是股票价格、传感器连续数据,它们本质上都是序列数据(Sequence Data) 。
序列模型的使命,就是建立序列中不同位置样本之间的相关性。
换句话说:
所有序列任务的核心问题:如何找出样本(token)和样本之间的关系?
这篇文章将带你从传统序列方法讲到注意力机制,最终导向 Transformer 的核心思想。
做好准备,我们要开启这个系列最关键的第一步。
1. 序列数据的本质:样本按时间排列 & 样本之间存在依赖关系
什么是序列数据?
-
每个样本对应一个时间点(或顺序位置)
-
样本之间存在前后依赖
-
目标是理解序列中的"模式",并据此进行预测、分类、生成等任务
举几个例子:
| 数据类型 | 每个样本代表什么 | 样本之间的联系 |
|---|---|---|
| 文本 | 一个 token(字 / 词) | 句子语义来自 token 之间的关系 |
| 股票价格 | 一个时间点的价格 | 价格受过去行情影响 |
| 语音信号 | 某一帧幅度 | 声音需要前后帧一起理解 |
因此,序列模型面临的最核心工作是:
如何让模型学到序列中任意两个样本之间的重要性?
传统方法和深度学习方法都在解决这个问题。
2. 序列模型三大家族:它们都在做"加权求和"
所有序列任务,说白了都是:
把过去的样本以不同的权重加起来,得到对现在样本的理解。
这种"权重 + 加权求和"的思想贯穿了所有序列模型。
2.1 ARIMA 家族:线性加权
写成公式就是经典 AR:

每个过去样本 ( ) 都乘了一个权重。
2.2 RNN / LSTM:隐状态传递,本质仍然是加权
RNN:

LSTM:

这些模型都把过去样本编码成隐状态 h / C,再加权传递给下一时刻。
只是:
-
RNN/LSTM 权重固定
-
序列越长,传播越困难(梯度消失)
2.3 CNN 处理序列:局部加权卷积
本质也是:
卷积核里的 w,对局部样本进行加权求和
只是局部窗口固定,无法捕捉长距离依赖。
3. 序列学习的终极问题:如何建立任意两个样本之间的关系?
把前面总结一下:
-
ARIMA:只看固定窗口
-
RNN:依赖隐状态,难看长距离
-
CNN:只看局部邻居
但是:
序列模型最终需要一个"可以让任意两个样本直接建立联系"的机制。
这才是后续 Transformer 诞生的背景。
所以,注意力机制出现了。
4. 注意力机制:为每个样本赋予权重,告诉模型"什么更重要"
注意力机制(Attention)核心思想一句话:
对一个样本,判断其他样本对它的重要程度,并据此加权求和。
这是一种动态权重机制。
不同于 CNN/RNN 的固定权重,
Attention 的权重来自:
-
样本之间的语义相关性
-
位置无关,可以看全局
-
每次输入都能变化
因此,它特别适合自然语言理解。
为什么要判断"重要性"?
因为序列中不同样本对预测任务的贡献不同。
例子:
尽管今天下了雨 ,但我因为拿到了梦想以求的工作 offer而感到非常开心。
在这个句子里:
-
"下雨" 对情感分析的贡献 不大
-
"工作 offer" 对情感分析 决定性
注意力机制要做的,就是:
自动找出这些"关键的样本",并赋予它们更高的权重。
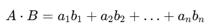
5. 样本重要性如何判断?------通过向量相似度
NLP 模型如何判断两个样本是否相关?
答案是:
计算两个样本(token)的向量之间的相似度。
相似度可以通过点积衡量:
-
方向相近 → 点积大 → 强相关
-
垂直 → 点积 0 → 无相关
-
方向相反 → 负值 → 语义相反
下面用图来理解:

公式上:

在 NLP 中,向量代表词的语义特征,因此:
-
"猫" 和 "猫咪" 点积大
-
"猫" 和 "股票" 点积接近 0
6. 自注意力(Self-Attention):让序列中每个样本与所有样本相关
假设序列里有两个样本 A、B,它们被编码成向量矩阵 X:
我们通过矩阵乘法得到相似度矩阵:

视觉化如下:

含义非常清晰:
-
r_AB:样本 A 与样本 B 的相关性
-
r_BA:样本 B 与样本 A 的相关性
-
r_AA、r_BB:与自身的相关性
当序列有 n 个 token,就能得到 n × n 的相关性矩阵。
它告诉我们:在这个序列里,每个 token 应该关注哪些 token。
这就是自注意力矩阵的雏形。
7. 从相关性矩阵到 Transformer 的 Q、K、V
真正的 Transformer 不直接用 X 和 X^T,而是引入三组可学习矩阵:
-
Query(查询)
-
Key(键)
-
Value(值)
它们都是通过线性层(矩阵乘法)得到的:

这样:
-
Q × K^T 得到 相关性矩阵 Score
-
Score 再经过 Softmax 得到 权重矩阵 Attention
-
Attention × V 得到 加权求和的结果
整个过程就是:
Q 负责问:我想了解什么?
K 负责答:我能提供什么?
V 负责提供内容:我的信息是什么?
Transformer 的核心,就是这个权重矩阵的计算方式。
8. 总结:为什么注意力机制是序列模型的终极方案?
因为它解决了所有旧模型的痛点:
| 模型 | 能否看长距离依赖? | 能否动态调整权重? | 能否并行? |
|---|---|---|---|
| RNN | 困难(梯度消失) | 不行 | 不行 |
| LSTM | 比 RNN 好 | 不行 | 不行 |
| CNN | 局部性强 | 不行 | 可以 |
| Transformer | 可以看全局 | 可以 | 可以 |
Self-Attention 让模型:
-
一步建立所有 token 的关系
-
权重随语境动态变化
-
并行加速,适配大规模训练
-
对长序列理解能力极强
因此注意力机制成为现代 NLP 乃至多模态任务的基础。
结语:下一章我们将从"注意力公式"正式进入 Transformer 内核
本章我们完成了 Transformer 的地基建设:
-
序列数据的本质
-
序列模型都在做加权求和
-
注意力如何从相似度出发
-
自注意力如何构建 token-token 关系
-
Transformer 引入 Q/K/V 的意义
下一章,我们将深入最关键的公式:
Scaled Dot-Product Attention:
如何从 QKᵀ → Softmax → V,构成最强序列建模组件?