题目
给你一棵二叉树的根节点,返回该树的 直径 。
二叉树的 直径 是指树中任意两个节点之间最长路径的 长度 。这条路径可能经过也可能不经过根节点 root 。
两节点之间路径的 长度 由它们之间边数表示。
示例 1:

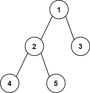
输入:root = [1,2,3,4,5]
输出:3
解释:3 ,取路径 [4,2,1,3] 或 [5,2,1,3] 的长度。
示例 2:
输入:root = [1,2]
输出:1
提示:
- 树中节点数目在范围
[1, 104]内 -100 <= Node.val <= 100
思路
二叉树的直径:某一个节点的左子树的高度 + 其右子树的高度
1.计算每个节点的左子树和右子树的高度
2.记录最大的直径
3.返回这个节点的高度,以便其父节点计算左右子树的高度
代码
python
# Definition for a binary tree node.
# class TreeNode:
# def __init__(self, val=0, left=None, right=None):
# self.val = val
# self.left = left
# self.right = right
class Solution:
def diameterOfBinaryTree(self, root: Optional[TreeNode]) -> int:
ans = 0
def getHeight(node: Optional[TreeNode]) -> int:
if not node:
return 0
l_height = getHeight(node.left) # 计算左子树高度
r_height = getHeight(node.right) # 计算右子树高度
nonlocal ans
ans = max(ans, l_height + r_height) # 不断更新直径
return max(l_height, r_height) + 1 # 返回当前节点的高度
getHeight(root)
return ans