一.任务描述:
给定两个整数数组 inorder 和 postorder ,其中 inorder 是二叉树的中序遍历, postorder 是同一棵树的后序遍历,请你构造并返回这颗 二叉树 。
示例 1:

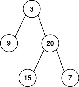
**输入:**inorder = [9,3,15,20,7], postorder = [9,15,7,20,3]
输出:[3,9,20,null,null,15,7]
示例 2:
**输入:**inorder = [-1], postorder = [-1]
输出:[-1]
二.解题思路:
1. 后序遍历的特点: 最后一个元素是根节点
2. 中序遍历的特点: 根节点左侧是左子树,右侧是右子树
3. 递归构建:
从后序确定根节点
在中序中找到根节点位置
划分左右子树区间
递归构建左右子树
三.代码实现:
C
int post_idx;
typedef struct {
int key;
int val;
UT_hash_handle hh;
} hashTable;
hashTable* idx_map;
void insertHashTable(int x, int y) {
hashTable* rec = malloc(sizeof(hashTable));
rec->key = x;
rec->val = y;
HASH_ADD_INT(idx_map, key, rec);
}
int queryHashTable(int x) {
hashTable* rec;
HASH_FIND_INT(idx_map, &x, rec);
return rec->val;
}
struct TreeNode* helper(int in_left, int in_right, int* inorder, int* postorder) {
// 如果这里没有节点构造二叉树了,就结束
if (in_left > in_right) {
return NULL;
}
// 选择 post_idx 位置的元素作为当前子树根节点
int root_val = postorder[post_idx];
struct TreeNode* root = malloc(sizeof(struct TreeNode));
root->val = root_val;
// 根据 root 所在位置分成左右两棵子树
int index = queryHashTable(root_val);
// 下标减一
post_idx--;
// 构造右子树
root->right = helper(index + 1, in_right, inorder, postorder);
// 构造左子树
root->left = helper(in_left, index - 1, inorder, postorder);
return root;
}
struct TreeNode* buildTree(int* inorder, int inorderSize, int* postorder, int postorderSize) {
// 从后序遍历的最后一个元素开始
post_idx = postorderSize - 1;
// 建立(元素,下标)键值对的哈希表
idx_map = NULL;
int idx = 0;
for (int i = 0; i < inorderSize; i++) {
insertHashTable(inorder[i], idx++);
}
return helper(0, inorderSize - 1, inorder, postorder);
}
四.总结:
核心技巧:
(1)后序确定根,中序分左右
(2)使用哈希表加速查找